165957 (740027), страница 2
Текст из файла (страница 2)
Из уравнения следует, что растекание жидкости по поверхности твердого тела можно усилить двумя способами. Введение поверхностно-активных веществ может приводить к уменьшению как поверхностного натяжения ylg> так и межфазного натяжения между твердым телом и каплей Ysl, что проиллюстрировано на рис. 5.
Рис. 5. Введение ПАВ в каплю воды на гидрофобной поверхности твердого тела приводит к уменьшению как Ylg, так и Ysl-
Альтернативный способ улучшения смачивания показан на рис. 6. При гидрофилизации поверхности Ysl уменьшается, a Ysg увеличивается. Оба изменения способствуют улучшению смачивания ).
Если, напротив, требуется сделать гидрофильный материал водоотталкивающим, необходимо минимизировать смачивание. Обычно это достигается гидрофобизацией поверхности. В результате гидрофобизации межфазное натяжение Ysl увеличивается, а поверхностное натяжение Ysg уменьшается, причем оба эффекта приводят к уменьшению коэффициента растекания S.
Смачивающие агенты
Смачивание зависит от эффективности снижения поверхностного натяжения в динамических условиях, т. е. по мере растекания смачивающей жидкости по поверхности субстрата поверхностно-активные молекулы должны быстро диффундировать к движущейся границе между жидкостью и субстратом. Следовательно, хорошие смачиватели должны иметь следующие свойства: 1) обладать значительной движущей силой для перехода на межфазную границу твердое тело-жидкость; 2) эффективно снижать поверхностное натяжение; 3) иметь достаточную концентрацию свободных молекул ПАВ, не связанных в мицеллы; 4) быстро двигаться к вновь возникающей поверхности.
Схематически показана гидрофилизация поверхности вследствие адсорбции обычного ПАВ. На практике для модифицирования поверхности чаще используют поверхностно-активные полимеры этим требованиям, хороший смачиватель должен быть поверхностно-активным веществом со сравнительно небольшими и достаточно гидрофобными молекулами. Гидрофобность смачивателя должна быть такой, чтобы это вещество очень слабо растворялось в воде, и в то же время его KKM не должна быть очень низкой. Обычно смачиватели — это ПАВ с разветвленными неполярными радикалами, поскольку такие вещества не так легко образуют мицеллы, как вещества с линейными гидрофобными группами. В промышленных композициях смачивателей используются анионные и неионные ПАВ. Структуры двух распространенных смачивателей приведены на рис. 8.
Рис. 7. Гидрофобизация поверхности приводит к увеличению Ysl и снижению Ysg
Недавно была введена концепция «сверхрастекания». «Сверхрастекатель» — это такое поверхностно-активное вещество, которое, будучи добавленным в водные растворы в малых количествах, способно вызывать самопроизвольное и быстрое растекание жидкости по очень гидрофобным поверхностям, например по поверхности твердого парафина. Было показано, например, что скорость растекания по этой поверхности капли 0.1%-ного водного раствора этоксилированного силоксанового ПАВ равна ~ 10 см2/мин при массе капли 0.008 г. Такое быстрое растекание довольно необычно, и механизм действия «сверхрастекателей» полностью еще не выяснен. Обнаружено, что на начальной стадии растекания площадь покрытой поверхности монотонно увеличивается с увеличением весовой концентрации ПАВ и времени. Общая площадь растекания после его завершения пропорциональна концентрации ПАВ в дисперсии. «Сверхрастекатели» обычно очень мало растворимы в воде и особенно эффективно проявляют свои свойства при использовании в составе водных дисперсий. Капля дисперсии, полученной ультразвуковым диспергированием, растекается быстрее, чем капля из дисперсии, полученной простым встряхиванием. В то же время конечная покрытая площадь в обоих случаях практически одинакова. Это свидетельствует о том, что растекание останавливается, когда все ПАВ адсорбируется на поверхности в виде бислоя.
Рис. 8. Два поверхностно-активных вещества, широко используемые в качестве смачивающих агентов: биссульфосукцинат натрия и ацетиленгликоль
Рис. 9. Структура сверхрастекателя на основе силикона
По таким признакам, как быстрое движение к вновь возникающей поверхности и высокие концентрации немицеллярного ПАВ, смачиватели аналогичны пенообразователям.
Гидрофобизирующие агенты
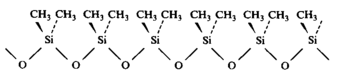
В качестве примеров гидрофобизирующих агентов в порядке возрастающей эффективности можно привести парафины, силиконы, силаны и фторированные углеводороды. В качестве гидрофобизирующих агентов часто используют также катионные ПАВ. На рис. 10 приведена структура наиболее распространенного силиконового масла — полидиметилсилоксана. Конформация силикона на поверхности такова, что силоксановая основная цель взаимодействует с поверхностью, а метальные группы ориентированы наружу. Как уже упоминалось, обработка поверхности силиконом приводит к эффективному метилированию поверхности. Из таблицы 2 следует, что метальные группы обеспечивают поверхности чрезвычайно высокую гидрофобность.
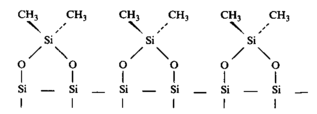
На рис. 11 приведена структура стекла, поверхность которого гидрофобизирована дихлордиметилсиланом. Дихлордиметилсилан, как и другие силаны, является эффективным гидрофобизатором для поверхностей минералов, содержащих силанольные группы. Как и в случае силиконов, обработка поверхности силанами приводит к ее эффективному метилированию.
Рис. 10. Полидиметилсилоксан — типичный гидрофобизирующий агент
Рис. 11. Поверхность стекла или кремнезема, обработанная дихлордиметилсиланом
Поскольку волокна бумаги и текстиля заряжены отрицательно, для придания им водоотталкивающих свойств обычно используют катионные ПАВ. При этом ПАВ обеспечивают также эффект ослабления связей, заключающийся в значительном понижении притяжения между волокнами. Четвертичные аммониевые соединения с двумя углеводородными цепями С16-С18 и двумя метальными заместителями у атома азота наиболее часто применяются для мягчения текстиля. Однако в целях защиты окружающей среды ПАВ должны обладать высокими скоростями биоразложения, поэтому традиционные устойчивые к гидролизу диалкильные четвертичные аммониевые соединения в значительной степени заменены на сложноэфирные производные аналогичной структуры. Структуры ПАВ обоих типов были приведены на рис. 1.10.
Можно ожидать, что для гидрофобизации поверхности требуется создать на ней плотноупакованный слой гидрофобизирующего агента, обеспечивающий полное покрытие поверхности. Однако недавно проведенные исследования механизма гидрофобизации показали, что достаточно частичного покрытия поверхности гидрофобизирующим агентом для обеспечения несмачивания ее водой. Вода не будет растекаться по поверхности, частично покрытой гидрофобными доменами. Во многих случаях оказывается, что для обеспечения этого эффекта достаточно модифицировать 10-15% поверхности. В этом, по-видимому, заключается причина того, что гидрофобизирующие агенты оказываются эффективными уже в минимальных количествах.
Измерение краевых углов
Краевой угол капли жидкости на плоской поверхности твердого тела обычно измеряют гониометрически либо на капле, находящейся на горизонтальной плоскости, либо на газовом пузырьке, подведенном к межфазной границе твердое тело-жидкость.
Краевой угол контакта отсчитывается с помощью объектива микроскопа при прямом наблюдении угла. В результате действия гравитационных сил форма сравнительно крупных капель отличается от строго сферической, что используется в одном из методов измерения поверхностного натяжения.
Измерения краевых углов методом сидящей капли или адгезированного пузырька в настоящее время автоматизированы и компьютеризированы, что позволяет определять значения краевых углов с высокой воспроизводимостью. Современные быстродействующие компьютеризированные приборы позволяют определять краевые углы на проницаемых подложках. Использование приборов, регистрирующих данные со скоростью нескольких сотен в секунду, позволяет измерять эффективный краевой угол капли на бумаге с большой абсорбционной способностью как функцию времени. При экстраполяции кинетических зависимостей к нулевому времени можно определить краевой угол бумаги до начала всасывания капли. В этом состоит полезный способ определения влияния на свободную поверхностную энергию различных добавок, используемых в производстве бумаги. Пример подобного эксперимента приведен на рис. 13.
Рис. 12. Измерение краевого угла с использованием сидящей капли или адгезированного пузырька
Очень простой метод измерения контактных углов, пригодный для скрининга, состоит в измерении диаметра капли стандартного объема, нанесенной на поверхность. Краевой угол рассчитывается из следующего уравнения:
где V— известный объем капли, а — измеряемый радиус капли. Таблица корреляций значений со значениями 2а дана в литературе для капель объемом 10 мкл 171-179). При определении краевых углов важно проводить измерения сразу после нанесения капли на поверхность. Испарение воды приводит к сжатию капли и изменению краевого угла.
Косвенный метод определения краевого угла состоит в измерении капиллярного поднятия жидкости у вертикально расположенной пластинки. Твердую пластинку располагают вертикально и приводят в контакт с жидкостью, затем измеряют высоту мениска h. Краевой угол рассчитывают по уравнению
где P — разность плотностей водной и газовой фаз, h — высота поднятия мениска. Метод оказался особенно эффективным для измерений краевых углов в зависимости от скорости продвижения и отступления мениска, а также для изучения влияния температуры на краевые углы.
Рис. 13. Зависимость краевого угла от времени для четырех различных материалов с примерно одинаковой свободной поверхностной энергией, но различающихся по транспортным свойствам
Рис. 14. Метод капиллярного поднятия используется для измерения краевого угла
Измерение краевых углов — это не очень простая процедура, как это может показаться на первый взгляд. Независимо от метода измерения могут возникать следующие осложнения.
1. Только немногие поверхности твердых тел можно считать достаточно плоскими. Углы, которые образует межфазная поверхность флюид-флюид с твердой поверхностью в отдельных точках твердой поверхности, напрямую зависят от ее макроскопической геометрии. Шероховатости поверхности, размер которых влияет на измерения краевых углов, можно наблюдать с помощью сканирующей электронной микроскопии.
2. Включение низкоэнергетических доменов в высокоэнергетические поверхности сильно влияет на краевой угол. Таким примером могут служить жировые загрязнения на поверхности стекла.















