165579 (739845), страница 2
Текст из файла (страница 2)
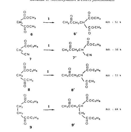
Tableau 3. Orientation de lhchtonylation du butyrate de mPthyle (4) en fonction de la concentration de 1 duns 4
1/4 en moles initial 1.5 1:20 1.50 1:lOO
4'a/4'b 64:36 15:25 80:20 9218
Ces resultats mettent en evidence l’accroissement siinultane de la selectivitk de l'ace-tonylation en a du carbonyle et de la dilution des solutions de percarbonate. De la mEme maniere que prectdemment, nous pensons que l'explication de ce phenomene se trouve dam l'existence, pour chaque type de radical, d'une competition entre addition et transfert. lnitialement, l'arrachement d'hydrogene par les radicdux t-butoxyle se produit peut-ttre un peu mieux en /l du carbonyle (l'attaque ne doit cependant pas ttre tres selective et, en outre, les radicaux methyle presents dans le milieu arrachent l'hydrogene plut6t en a du carbonyle). Les radicaux en /l, comparables a des radicdux carbon&, ont un certain caractire nucleophile les rendant a la fois peu aptes a s'additionner sur la double liaison du percarbonate et tres capables d'attaquer les sites en a, deficitaires en electrons, des molecules de substrat; ils ont donc tendance a creer, par transfert, des radicaux en a et ceci d'autant mieux que la concentration en substrat est plus elevee. En ce qui concerne les radicaux en a, nous avons deja dit que leur caractere electrophile pouvait expliquer leur «preference» pour l'addition.
Lors de l'itude de l'acetonylation des cyclanones [3], nous avons observe que la substitution est selective, en a du carbonyle, pour un rapport molaire percarbonate/ substrat &gal a 1:20. Comme nous n'avons pas atteint 100% de selectivite mtme avec un rapport de 1:100, nous pensons que l'influence du groupe carboxyle des esters sur la competition ((addition-arrachement)) se fait moins sentir que celle du groupe carbonyle des cyclanones.
Cas d'esters .fonctionnels. Dans l'etude generale de l'acetonylation [11, nous avons dejja fait etat des resultats obtenus avec le malonate de dimethyle (6) et le succinate de diethyle (9). Nous rappelons ces resultats dans le SchCma 6 en leur ajoutant ceux rela-tifs au cyanacetate d'kthyle (7) et A I'acetylacetate d'ethyle (8).
Les rendements eleves en derives acetonyles (evalues, par rapport i la quantite de 1 mise en jeu, pour des fractions acetonylees purifiees par distillation) sont en accord avec la grande reactivitt des esters fonctionnels en chimie radicalaire [lo].
Tous nos essais ont kte realists avec des rapports molaires initiaux de percarbonate/ substrat de 1:50, c'est-A-dire dans des conditions justifiant que l’on observe selective-ment l'acetonylation en a du (ou d'un) carboxyle. Pour des teneurs en percarbonate suptrieures, nous avons observe la formation de faibles quantites de derives acetonyles correspondant aux parties alcoxyle des molecules ce qui est en accord avec nos observations prkctdentes sur le r6le des transferts d'hydrogene.
En rCssum6, L'etude de l'acetonylation des esters nous a permis de montrer que l'attaque initiale par des radicaux t-butoxyle (et probablement aussi mtthyle) est susceptible de donner des radicaux correspondant aussi bien a la partie alcoxyle qu'a la partie acyloxyle des molecules. Par contre, l'addition sur la double liaison, processus fortement influence par la polarit6 des radicaux [l 11, peut ttre favorisee dans le cas des radicaux en a du carbonyle, forternent electrophiles, et genee dans le cas des radicaux en a de l’oxygene. Ces derniers ont alors la possibilite d'arracher des atomes d'hydrogene en a du carbonyle d'autres molecules pour donner les radicaux correspon-dants. Comme lcs transferts d'hydrogene sont favorises quand on opere avec de grands exces de substrat et que, d'autre part, le meme phtnomene intervient entre les divers sites du cat6 acyloxyle, on conclut qu'aux tres fortes dilutions l'acetonylation tend a se produire selectivement en a du carbonyle. Quand le site en a est un carbone secondaire, on atteint des rendements interessants par rapport au percarbonate 1 mis en jeu.
AcCtonylation des acides. - Les exemples d'additions radicalaires des acides aux alcZnes montrent que le produit majoritaire correspond toujours a l'addition du radical en a du groupe fonctionnel [12]; les principaux produits secondaires proviennent de processus de type ionique [13]. Avec les acides acktique (lo), propionique (ll), butyri-que (12), isobutyrique (13) et dimethyl-3,3 butyrique (14) nous avons aussi observe, par action du percarbonate 1, l'acetonylation sur l'atome de carbone en a du car-boxyle. Les rendements en acides alkyl-2 0x0-Cpentanolques lo', ll', 12', 13' et 14' domes dans le Schha 7 sont ceux de reactions effectutes (a 130°C pendant 2,s h) avec des rapports molaires percarbonate/acide egaux a 1:50 (analyse des fractions acetony-lees aprb esterification par le diazomethane).
Dans ces conditions, l'acktonylation s'est effectuee selectivement en a du groupe-ment fonctionnel (pour un rapport molaire l/acide butyrique 1:5, les rendements res-pectifs en derivks a et p acCtonylCs sont dans un rapport de 85 A 15). Avec l'acide butyrique, on met encore en evidence l'existence de reactions de transfert entre substrat et radicaux Crees initialement. L'arrachement d'hydrogine par les radicaux t-butoxyle, klectroaccepteurs, porte plut6t sur les sites en fi ou eventuellement y que sur les sites en a dtficitaires en Clectrons. I1 faut donc, qu'au lieu de s'additionner sur la double liaison du percarbonate, les radicaux en f! donnent, par transfert, des radicaux isomires en a pour que les acetonylations apparaissent comme stlectives dans le cas des solutions dilutes de percarbonate.
Dans le cas du butyrate de methyle (4), nous observions encore 8 % d'acetonylation en fi en mettant en jeu un rapport molaire de percarbonate/substrat 1:100. Le fait que, pour I'acide butyrique, la stlectivite soit totale pour un rapport molaire 1:50 montre que I'influence de la fonction carboxyle est plus grande que celle de la fonction carbo-xylate. Ceci est en accord avec les observations [8] [14] sur la ((super r6activitt)) des sites en a d'un carboxyle. D'autre part, d'aprks les rendements d'acetonylation des acides isobutyrique (13) et dimethyl-3,3-butyrique (14) l'encombrement sterique ne di-minue pas de maniere critique la reactivite apparente (avec I'isobutyrate de mkthyle, le rendement en derive acttonyle atteignait a peine 15 YO). I1 faut supposer que la presence du groupe carboxyle en a donne un caractere klectrophile tris prononce aux radicaux correspondants dont la constante de vitesse d'addition sur la double liaison du percarbonate est tr& ClevCe.
Acktonylation des nitriles. - Dans les memes conditions que pour les esters et les acides (13O”C, 2,s h et rapport molaire l/substrat 1:50), nous avons effectue l’acetonylati on de l'acetonitrile (15), du propionitrile (16), du butyronitrile (17) et de I’isobutyronitrile (18) (Schima 8). Ainsi qu'avec les acides, les seuls derives acetonyles obtenus correspondent a l'addition du radical forme en a du groupe fonctionnel sur la double liaison du percarbonate. Comme on peut penser que les radicaux t-butoxyle arrachent initialement plut6t des atomes d'hydrogine en fi, la sklectivite observee ne peut une fois encore s'expliquer qu'en faisant intervenir des transferts d'hydrogine.
L'impossibilite dans laquelle nous nous sommes trouvts de rkaliser l'acetonylation de l'isobutyronitrile 18 est un peu surprenante, encore que des observations analogues aient deji ete rapportees [lob]. Avec l'acide isobutyrique, en effet, nous avions atteint des rendements en derive acetonyle de I'ordre de 40%. Peut-ttre faut-il penser que le radical tertiaire en a du groupe nitrile est tris fortement stabilisk et ne s'additionne pas sur la double liaison du percarbonate; cette hypothese est d'ailleurs ttayte par le fait que le produit majoritaire avec I'isobutyronitrile est le dehydrodimere correspondant au couplage de deux radicaux tertiaires. Les faibles rendements observes, meme dans le cas du propionitrile et du butyronitrile, sont aussi en accord avec une stabilisation des radicaux en a, stabilisation expliquke par les possibilitirs de dklocalisation offertes par le groupe nitrile superieures a celles qui existent dans le cas des esters ou des acides [15].
Conclusions. ~ L'etude de l'acetonylation d'esters, acides et nitriles confirme que, dans les reactions de type addition radicalaire, les produits formes sont rarement reprt-sentatifs des radicaux libres issus de l'arrachement d'hydrogdne par des radicaux z-bu-toxyle. Cet arrachement ((initial)) peut porter sur des carbones en p (voire y) du groupe fonctionnel ou sur la partie alcoxyle des molecules d'ester mais des transferts d'hydrogene entre les carbones en a du carbonyle et les radicaux ainsi obtenus crtent des radicaux en a qui, s'additionnant sur la double liaison du percarbonate, accroissent les proportions de derives ac6tonylCs en a.
Les transferts d'hydrogene sont favorists si I’on opere avec des solutions tres di-Ides de percarbonate de 0, O-t-butyle et 0-isopropenyle, si bien qu'avec des rapports molaires rkactif/substrat de l'ordre de 1:50 a 1:100, on realise sklectivement I'acetonylation des acides, esters, nitriles (et aussi, rappelons-le, citones) en a du groupe fonctionnel. Comme les rendements sont souvent elevts (plus de 50% en derive acetonyle isole, par rapport au percarbonate mis en jeu), que les produits secondaires (t-butanol, acktone, acttonylacktone et, quelquefois, dthydrodimere du substrat) sont faciles a eliminer par simple distillation et que le substrat en exces peut &tre aisement rkcupertt et rkutilistt, l'acetonylation radicalaire constitue une bonne mithode de syn-thkse de y-ceto-acides, esters ou meme nitriles.
Partie experimentale
Percurbonate de 0,O-t-butyle et 0-isopropPnyle (I). II est prepare suivant une methode classique [I61 d'ob-tention des peresters par rtaction du chloroformiate d'isoproptnylel) avec l'hydroperoxyde de t-butyle en presence de pyridine et en solution dans le pentane. Le percarbonate liquide, utilisable sans purification, presente, comme le montre l'etude cinetique de sa decomposition [17], une excellente stabilite thermique; sa manipulation ne pose aucun problhe particulier.
Dkcomposition du percurbonate 1 en solution. Une solution de percarbonate (0,02 mol, 3,5 g) dans 1 mol de substrat est introduite dans un autoclave et chauffee A 130” pendant 2,5 h dans une Ctuve thermoregulee. Le fractionnement des melanges riactionnels est realise par distillation; apres elimination des produits secondaires legers (t -butanol, acetone, acetonylacetone) et recuperation du substrat en ex&, les fractions acbtonylbes, sepa-rees du residu (dehydrodimere du substrat) sont analysts par chromatographie en phase vapeur (quelquefois aprk esttrification au diazomethane).
Principales caracteristiques des derives achtonyles obtenus. - Les temperatures d'tbullition (Eb) sont donnees en “C/Torr, celles de fusion (F), non corrigees, en “C. Les spectres de 'H-RMN om ete enregistres pour des solutions a 10% dans CC4, le tetramethylsilane &ant pris comme reference interne pour la mesure des deplacements chimiques (6 ppm).
0x0-4-pentanoute de mtthyle (2'a) (Ikvulinate de methyle), Eb: 99-100/24; ng: 1,4235 ([18] Eb: 196/760; ng: 1,4233). 'H-RMN: 2,l (s, 3H, CH,CO); 2,3-2,9 (m. 4H, CH,CH2); 3,6 (s, 3H, CH30).
Actroxy-4-hutanone-2 (2'b), Eb: 78-81/15. Ce produit a tte identifie par comparaison de ses caracteristiques avec celles d'uu khantillon prepare en refbrence par ahtylation (anhydride acetique) [191 de l'hydroxy-4 buta-none-2.
Mkth~l-2-oxo-4-pmtunoate de mPthyle (3'), Eb: 101-103/25; ng: 1,4285 ([20] Eb: 85-87/15; ng: 1,4270). 'H-RMN: 1,l (d, J = 6,6, 3H, CH,-CH); 2,l (s, 3H, CH,O); 2,l-3,2 (m, 3H, CH,CH); 3,7 (s, 3H, CH30).
Les chloroformiates vinyliques sont commercialis& par la SuciitP Nationale des Poudres et E.xplosi/i; 12, quai Henri IV; F-75181 Paris-cedex 04.
Etliyl-2-ono-4-pentunoute de mtthyle (4'a), Eb: 81-83/0,8; ng: 1,4294 ([21] Eb: 73/0,2). 'H-RMN: 0,9 (t, J = 7,0, 3H, CH3CH2); l,l-1,7 (m, 2H, CHZCH,); 2,O (s, 3H, CH,CO); 2,l-3,0 (m, 3H, CHZCH); 3,6 (3, 3H, CH,O).
MPth~l-3-oxo-5-hexanoute de mtthyle (4'b). I1 a ett identihe, dans les melanges rkactionnels, par SMjCG. SM: 158 (M + ); 127 ((M - CH3CO)'); 101 ((M - CH,COCH?)+); 85 ((M - CH>CO&HJ+); 43 ((CH3CO)').
DimPthyl-2,2-ox-o-4-pentanoate de mtthyk (5'), Eb: 5&52/0,6; ng: 1,4331 ([22] Eb: 91,5-92,5/20). 'H-RMN: 1,15 (s. 6H (CH&); 2,O (s, 3H, CH,CO); 2,6 (s, 2H, CH2CO); 3,s (s, 3H, CH,O).
Acitonyl malonate de dimith,yle (6'), Eb: 93-95/0,4; ng: 1,4357 ([23] Eb: 135-136/12; ng: 1,4379). 'H-RMN: 2,1 (s, 3H, CH3CO): 3,O (d, J = 6,0, 2H, CH,CH); 3,3 (d, J = 6,O 1H, CH,CH); 3,6 (s, 6H, 2CH30).
C~~uno-2-oxo-4-pentunoate d'tthyle (7'), Eb: 88-91/0,3; ng: 1,4432 ([24] Eb: 69-71/0,1). 'H-RMN: 1,3 (t. J = 6,Y, 3H, CH,CH,); 2,l (s, 3H, CH3CO); 3,O (d, J = 5,9, 2H, CHZCO); 3,8 (I, J = 5,9, lH, CHCOO); 4,2 (q, J = 6.9, 2H, CH,O).
AcPtyl-2-oxo-4-pentroute d'gthyle (W), Eb: 80-8l/0,2; nf: 1.4398 ([25] Eb: 126-128/14; ng: 1,4385). 'H-RMN: 1,2 (1, J = 6,6, 3H, CH,CH,); 2,l et 2.2 (2 s, 6H, 2 CH,CO); 2,9 (d, J = 6,2, 2H, CH,CH); 3,8 (t, J = 6,2, lH, CHCOO); 4,l (9, J = 6,6, 2H, CH,CH,).
AcPtonyl succirzute de ditthvie (Y), Eb: 80-82/0,2; nf: 1,4418 (1261 Eb: 135/1,3; ng: 1,4400). 'H-RMN (CD,COCD,): 1,2 (1. J = 7.3, 6H, 2CH,CHZ); 2,l (s, 3H, CH,CO); 2,3-2,9 (m, 5H, CH,CHCH,); 4,O (q, J = 7,3, 4H, 2 CH,O).
Acide 0x0-4-pentunoique (wide Iiuuliqzre) (lo'), Eb: 80-82/0,3; ng: 1,4501 ([27] Eb: 115-118j5; ng: 1,4460). 'H-RMN: 2,O (s, 3H, CH3CO); 2,5-2,s (m. 4H, CH2CH2); 10,6 (s, IH, OH).















