spchem (739636), страница 2
Текст из файла (страница 2)
Вещества, которые в настоящее время рассматривают как соединения включения, первыми, по-видимому, наблюдали А. Кронстедт, открывший в 1756 г. цеолит стильбит, и Дж. Пристли, в 1778 г. обнаруживший «аномальный лед», оказавшийся гидратом SO2.10H2O. В 1785 – 1786 гг. Б. Пелетье и В. Карстен, а в 1811 г. Г. Дэви наблюдали образование кристаллов при охлаждении газообразного хлора, впоследствии (в 1823 г.) М. Фарадей установил, что это Cl2.10H2O, однако структура данного гидрата была установлена лишь в 1952 г. М. Штакельбергом и Г. Мюллером [18,19].
С
Рис 5. Структура клатратного комплекса тиомочевины с адамантаном 3:1
амо понятие и термин «клатрат» в его современном толковании были введены в 1947 г. Г. Пауэллом [20]. На рис. 5 в качестве примера приведена структура клатратного комплекса тиомочевины с адамантаном 3:1 [21]. К клатратным комплексам относятся также соединения включения циклодекстринов.Ц
Рис 6. Строение циклодекстринов: а – химическая структура, б – форма
иклодекстрины – это циклические олигосахариды, молекулы которых построены из шести, семи или восьми (n=6, 7, 8) d-глюкопиранозных звеньев, связанных между собой -1,4- гликозидной связью [22] (рис. 6). Молекулы циклодекстринов имеют форму усеченного конуса (ведрышка), полого внутри, в котором по окружности нижнего основания расположены 6–8 первичных OH-групп, а по окружности верхнего основания 12–16 вторичных ОН-групп [23]. Циклодекстрины были открыты в 1891 г. А.Вилиерсом [24], а первое подробное описание их выделения опубликовано в 1903 г. Ф.Шардингером [25]. В 1938 г. К. Фройденберг [18] определил строение циклодекстринов. С тех пор эти существующие в природе (естественные) рецепторы использовались в различных целях. Так, Ф. Крамер в 1954 г. впервые показал [26], что циклодекстрины могут образовывать комплексы включения с широким набором субстратов. Их роль как катализаторов была изучена И. Табуши и Бреслоу в 1982 г. [27].Природа взаимодействий между циклодекстрином и «гостем» однозначно не установлена и широко обсуждается [22]. Наиболее вероятными представляются относи-тельно слабые взаимодействия (ван-дер-ваальсовы, гидро-фобные и др.) [22], что и позволяет отнести эти комплексы к объектам супрамолекулярной химии. Химическое превращение таких комплексов приводит к образованию сложных молекулярных конструкций, таких как катенаны, ротаксаны, полиротаксаны и трубки, которые нелегко получить другими способами [23]. Способность циклодекстринов образовывать прочные комплексы в водных растворах с большим количеством «гостей» различных типов привела к их использованию в качестве строительных блоков для наноструктур, образующихся путем их самоорганизации и входящих в наноустройства [23].
Cовременное состояние и тенденции развития супрамолекулярной химии
Последние достижения в супрамолекулярной химии и наиболее перспективные области ее использования связаны с процессами молекулярного распоз
Рис 7. Самосборка с участием межмолекулярных водородных связей
навания и образования новых структур за счет так называемых «самопроцессов» [6, 7, 28-30]. Понятия самосборки (self-assembling) и самоорганизации (self-organization) были введены в супрамолекулярную химию Ж.-М. Леном в ходе изучения спонтанного образования неорганических комплексов (двойных геликатов), протекающего как процесс самосборки [28]. По сути, эти понятия пришли в супрамолекулярную химию из биохимии, где они еще раньше заняли важное место, поскольку только за счет «самопроцессов» может осуществляться биосинтез. Наиболее яркое проявление самосборки в живой природе – самосборка молекул нуклеиновых кислот, матричный синтез белков; на определяющую роль самосборки указывает строго определенная пространственная структура ферментов и рецепторов [29].В супрамолекулярной химии самоорганизация означает спонтанную генерацию при заданных условиях хорошо определенной супрамолекулярной структуры из отдельных составных компонентов [6]. Согласно Лену [6], самосборка и самоорганизация описывают два различных, но частично перекрывающихся класса явлений, причем самосборка – это более широкий термин, чем самоорганизация. Супрамолекулярная самосборка заключается в спонтанной ассоциации как минимум двух или более компонентов, приводящей к образованию или дискретных супермолекул, или протяженных полимолекулярных ансамблей (молекулярные слои, пленки и т.д.). При этом процесс ассоциации происходит за счет нековалентных взаимодействий [3, 6].
С
Рис 8. Молекулярный челнок, переключаемый путем изменения рН среды
амоорганизацию Лен определяет как упорядоченную самоассоциацию, которая:1) включает системы, в которых возможно спонтанное возникновение порядка в пространстве и/или во времени, 2) охватывает пространственный (структурный) и временной (динамический) порядок, 3) затрагивает только супрамолекулярный (нековалентный) уровень, 4) является многокомпонентной. Таким образом, самоорганизация включает взаимодействие и интеграцию, обусловливающие коллективное поведение [6, 30].
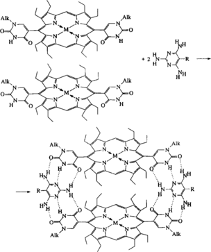
Самоорганизация может происходить в растворе, в жидкокристаллической фазе или твердом состоянии, причем в качестве основных взаимодействий между компонентами используются водородные связи, электростатические и донорно-акцепторные взаимодействия, а также эффекты среды (сольвофобные взаимодействия) [7]. На рис. 7 показана самосборка с участием водородных связей, в которой участвуют две порфириновые молекулы при «посредничестве» 2,4,6-триамино-5-алкилпиримидинов. Образующаяся структура имеет форму клетки [29].
Ж.-М. Лен отмечает, что «вклад супрамолекулярной химии в химический синтез можно рассматривать в двух основных аспектах: получение самих нековалентных супрамолекулярных частиц, что прямо выражается в процессах самосборки, и использование супрамолекулярных особенностей для содействия синтезу ковалентных молекулярных структур» [6]. Собственно супрамолекулярный синтез заключается в образовании супрамолекулярных структур посредством направленных межмолекулярных сил. При этом необходимо также, чтобы в процессе синтеза происходила генерация супрамолекулярных частиц в ходе самого синтеза. Можно сказать, что супрамолекулярный синтез возможен при наличии своеобразного планирования и контроля на межмолекулярном уровне. При синтезе сложных ковалентных частиц супрамолекулярная химия может быть использована для нужного размещения компонентов, например путем самосборки. Это открывает новые возможности в области синтеза сложных систем, причем в последние годы это направление стало одним из ведущих [22, 23].
Еще одной перспективной областью развития супрамолекулярной химии является создание молекулярных и супрамолекулярных устройств. Молекулярными устройствами называют структурно организованные и функционально интегрированные химические системы. Они основаны на определенной пространственной организации специфических компонентов и могут быть встроены в супрамолекулярные структуры [6, 7]. Можно выделить фотонные, электронные или ионные устройства, в зависимости от того, являются ли компоненты фотоактивными, электроактивными или ионоактивными соответственно, т.е. участвуют в поглощении или испускании фотонов, являются донорами или акцепторами электронов или участвуют в ионном обмене.
Можно выделить два основных типа компонентов, входящих в такие устройства: активные компоненты, которые осуществляют заданную операцию (принимают, отдают или передают фотоны, электроны, ионы и т.д.), и структурные компоненты, которые участвуют в создании супрамолекулярной архитектуры, задавая необходимое пространственное расположение активных компонентов, в частности, за счет процессов распознавания. Кроме того, в состав устройства могут быть введены вспомогательные компоненты, назначение которых состоит в модифицировании свойств активных и структурных компонентов [6]. Главным является то, что в отличие от обычных материалов компоненты и состоящие из них устройства должны выполнять свои функции на молекулярном и супрамолекулярном уровнях. Включение молекулярных устройств в супрамолекулярные системы позволяет получать функциональные супермолекулы или ансамбли (слои, пленки, мембраны и т.д.).
Молекулярные и супрамолекулярные устройства, по определению, образуются из компонентов, связанных соответственно ковалентными и нековалентными связями. К супрамолекулярным можно также отнести устройства, компоненты которых связаны ковалентными связями, однако хотя бы частично сохраняют свою индивидуальность [6].
В последнее время удалось создать переключающиеся молекулярные ансамбли, изменяющие свою пространственную структуру в зависимости от действия таких внешних факторов, как рН среды или ее электрохимический потенциал. Примером может служить ротаксан, показанный на рис. 8. Он состоит из длинной полиэфирной цепочки, которая «продета» через цикл, построенный из двух остатков дипиридила, соединенных циклофановыми мостиками [29]. Чтобы цикл не соскочил с цепочки, на концах ее имеются объемные группы – триизопропилсилильные заместители. Включенные в полиэфирную цепочку остатки 4,4'-диаминодифенила и 4,4'-дигидроксидифенила обладают выраженными электронодонорными свойствами; поэтому электроноакцепторный тетракатионный цикл электростатически закрепляется именно на них. При этом реализуются две конформации, находящиеся в состоянии подвижного равновесия. Так как ароматические амины – более сильные электронодоноры, чем фенолы, преобладает форма, где цикл взаимодействует с аминным фрагментом. Однако положение равновесия можно изменять, варьируя кислотность среды. В сильнокислой среде аминные атомы азота протонируются, т.е. сами становятся электроноакцепторами, и бис-дипиридиниевый цикл полностью перескакивает на фенольный фрагмент. То же самое происходит при изменении внешнего электрохимического потенциала. По-видимому, на основе этого устройства может быть создан молекулярный переключатель. Полагают, что подобные молекулярные устройства обеспечат будущее развитие нанотехнологии, которая во многом заменит доминирующую сейчас полупроводниковую технологию [29].
Говоря об особенностях супрамолекулярной химии, следует обратить внимание на то, что в этой науке особую, исключительно важную роль играют детальные и полные структурные данные. Продвижение в этой области было бы невозможно без конкретного анализа пространственной конфигурации и относительного пространственного расположения компонентов супрамолекулярных систем. Сказанное дает основание рассматривать супрамолекулярную химию как естественную часть структурной химии.
Как уже было сказано, многие идеи и разделы супрамолекулярной химии возникли фактически задолго до ее формального рождения. К этому можно добавить, что природа межмолекулярных взаимодействий (включая водородные связи и другие специфические взаимодействия), их энергия и роль в самых различных процессах давно и тщательно изучались, в том числе и в структурном аспекте, характерном для супрамолекулярной химии. Так, в России работали целые школы, всесторонне изучавшие межмолекулярные взаимодействия.
Строение молекулярных кристаллов, в частности «смешанных», таких как клатраты, изучал А. И. Китайгородский с сотр. [31, 32], межмолекулярные взаимодействия в адсорбции и хроматографии стали предметом исследований А. В. Киселева и сотр. [33], влияние невалентных взаимодействий на конформации молекул стало предметом трудов В. Г. Дашевского [34, 35]. И все же творцами супрамолекулярной химии по справедливости считаются именно Ж.-М. Лен, Ч. Дж. Педерсен и Д. Дж. Крам.















