163021 (738421), страница 3
Текст из файла (страница 3)
Проблема “гроші-час” не нова , тому відпрацьовано зручні моделі та алгоритми, які дозволяють орієнтуватися в справжній вартості майбутніх дивідендів з позицій поточного періоду.
Різноманітність задач щодо визначення зміни вартості грошей в часі можна звести у такі групи:
І. Компаундирування - визначення майбутньої вартості грошей. (FV, future value - майбутня вартість, англ.):
1.1. вкладених водночас на певний термін під певний % (просте компаундирування);
1.2. вкладених рівними частками через рівні проміжки часу під певний % - це визначення FV анюїтетів або ренти:
1.2.1. компаундирування звичайної (відстроченної) ренти - це визначення FV ренти, вклади по якій проводяться в кінці кожного періоду;
1.2.2. компаундирування вексельної ренти - визначення FV ренти, вклади по якій проводяться на початку кожного періоду.
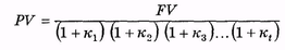
ІІ. Дисконтування - визначення поточної (теперішньої) вартості грошей (PV, present value - теперішня вартість, англ.):
2.1. отримуємих в майбутньому водночас (просте дисконтування);
2.2. отримуємих в майбутньому через рівні проміжки часу:
2.2.1. в кінці кожного періоду – це визначення теперішньої вартості звичайних анюїтетів, або PV звичайної (відстроченної) ренти;
2.2.2. на початку кожного періоду - це визначення PV вексельної ренти.
2.1 Поняття дисконтування.
Дисконтування – процес визначення теперішньої вартості грошового потоку шляхом коригування майбутніх грошових надходжень за допомогою коефіцієнта дисконтування.
Врахування усіх аспектів зміни вартості грошей у часі, яке дає змогу аналізувати динаміку капіталів і грошових потоків, досягається за допомогою прийому дисконтування. Його можна визначити як засіб приведення майбутніх доходів (видатків) і розмірів капіталу для зіставлення з сумою вкладеного капіталу в оцінці на момент вкладення.
У фінансовому аналізі прийнято користуватися такими поняттями, пов'язаними із застосуванням прийому дисконтування:
PV — теперішня вартість капіталу або доходу (Present Value);
FV — майбутня вартість капіталу або доходу (Future Value);
dm — дисконтуючий множник.
Величина PV завжди менша від величини FV через дію факторів часової зміни вартості грошей, причому PV = dm • FV. Сама ж величина dm обернено пропорційна нормі доходності грошей (її називають ще коефіцієнтом дисконтування і позначають літерою тс). Якщо, наприклад, володар 5000 доларів вклав їх у банківський депозит під 10% річних, то через рік його капітал становитиме 5000*(1+0,1) = 5500 доларів, тобто, аби протягом року стати володарем 5500 доларів, треба (за норми доходності у 10% річних) вкласти 5000 доларів. Іншими словами, 5500 доларів сьогодні — це 5000 доларів рік тому (правильне також твердження: 5000 доларів сьогодні — це 5500 доларів через рік). У цьому прикладі PV= 5000, FV = 5500, к = 0,1, a dm = 1 : (1 + k), тобто dm = 1 : (1 + 0,1) = 0,909, звідки PF = 0,909*5500=5000, a FV = PV : dm = 5000 : 0,909 = = 5500.
У наведеному прикладі враховано один період обертання капіталу (один рік), хоч, звичайно, в процесі аналізу доводиться мати справу з вивченням динаміки капіталів, доходів за кілька періодів (обертів): наприклад, гроші вкладені у банк на три роки, або, скажімо, на б місяців, інвестиційний проект розрахований на 4 роки функціонування.
Причому величина k у ці періоди може бути або сталою,
або змінною. З урахуванням цього формули дисконтування мають вигляд:
або
де k — незмінна норма доходності грошей за період, що розглядається; t — кількість років (місяців) або кількість обертів грошей за період, що розглядається, при незмінному к.
або
де к1, ..., кt — норми доходності відповідно у 1-й, 2-й і т. д. роки (місяці), на які розбитий період, що розглядається; t — кількість років (місяців) або кількість обертів грошей за період, що розглядається.
За допомогою наведених формул можна визначити співвідношення між величинами PV і FV як на кінець періоду, що аналізується, так і за будь-який проміжний період інвестування грошей.
З дисконтуванням пов'язане поняття про прості та складні відсотки. Вважається, що інвестиція зроблена на умовах простих відсотків, якщо інвестований капітал збільшується за кожний часовий інтервал (рік, місяць, день) на прийняту норму доходності. Наприклад, якщо гроші вкладені в облігацію номінальною вартістю 10 000 грн. на умовах 45% річних, то на кінець першого року інвестування капітал досягає 10 000 + 0,45 • 10 000 = 14 500 грн., на кінець другого року — 10 000 + 0,45 • 10 000 + 0,45 X X 10 000 = 19 000 грн. і т.д. Тобто за кожний інтервал доход обчислюється з початкової суми вкладення. Формула розміру капіталу, вкладеного на умовах простих відсотків, через t періодів (Kt) має вигляд:
Kt = K + K • r + K • r+ ... =K(1 + t - r), (2.1.5)
де К — початкова сума капіталу; г — норма відсотка за обумовлений період; t — порядковий номер періоду.
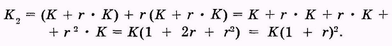
Якщо за умовами інвестування доход на вкладені гроші нараховується на всю суму, включаючи початковий внесок і нараховані раніше проценти, вважається, що інвестиція зроблена на умовах складних відсотків.
Наприклад, якщо гроші в сумі 10 000 грн. вкладені у банківський депозит на умовах сплати 2% щомісячно у порядку складних відсотків, то:
— на кінець першого місяця вклад становить 10 000 + + 0,02 • 10 000 = 10 200 грн.;
— на кінець другого місяця він дорівнюватиме 10 000 + + 0,02 • 10 000 + 0,02(10 000 + 0,02 • 10 000) = 10 200 + + 0,02 • 10 200 = 10 404 грн.
У загальному вигляді, якщо позначити величину вкладу після другого місяця через К2, маємо:
Очевидно, що при використанні складних відсотків сума грошей через і-й період визначається за формулою
Використання в аналізі динаміки капіталів і доходів саме логіки цієї формули відповідає призначенню грошей — безперервно генерувати нові гроші. Тому формули дисконтування саме й побудовані на основі цього принципу. Дисконтування доходу застосовується для оцінки майбутніх грошових надходжень із позиції поточного моменту. Інвестор, зробивши вкладення капіталу, керується наступними положеннями:
а) відбувається постійне знецінювання грошей;
б) бажано періодично одержувати доход на капітал не нижче певного мінімуму.
3. Лізинг.
Лізинг (англ. lease – оренда) – це довгострокова оренда машин і обладнання,
видача обладнання напрокат. Лізинг дозволяє промисловим, торговим, транспортним та іншим підприємствам (орендаторам) отримувати в комерційних банках і лізингових компаніях (орендодавців) за певну орендну плату в довгострокове користування широкий перелік основних засобів.
Оренда – це майновий найм. Оренда – це засноване на угоді термінове володiння, що має бути повернене, та користування майновим комплексом (будівля, приміщення, обладнання, підприємство, земля, природні ресурси, інше майно). У даному випадку майновий комплекс є товаром.
Оренда підприємства – це взяття підприємства у володіння та користування за договором на визначений термін i за певну плату, тобто підприємство виступає як товар. Оренда майнового комплексу – це поточна оренда, яка здійснюється на таких умовах:
1) мета оренди – задовольнити тимчасові потреби орендаря;
2) термін оренди визначається угодою. Після закінчення терміну оренди майно повертається орендодавцю;
3) майно є власністю орендодавця;
4) ризик втрати та псування орендного майна визначається умовами угоди.
Лізинг – порівняно нова специфічна форма організації кредитно-фінансових
відносин, що поєднує в собі елементи кредитування в натуральній і грошовій
формі. Сучасний лізинг у багатьох країнах охоплює широкий перелік об’єктів – від дрібного канцелярського обладнання до складних ЕОМ, від токарних станків до бурового обладнання, від автотранспортних засобів до реактивних лайнерів і океанських танкерів, а також сільськогосподарське, будівельне, гірничодобувне та інше обладнання.
У промислово розвинених країнах лізингові операції отримали широкий розвиток в останні десятиріччя. На умовах лізингу в США купується близько 45 % обладнання, що реалізується на внутрішньому ринку, в Японії – 33 %, в Німеччині – 18 %, в Австралії – 25 %, Англії, Швеції, Франції – 13 – 17 %.
У сучасних умовах широкого розповсюдження набула форма участі банків у
лізингових операціях під назвою «вендор лізинг», тобто «лізинг продавця». Ця форма лізингу розповсюджується лише на великі промислові компанії, що
виготовляють складне, велике і дороге обладнання, яким банки пропонують послуги при реалізації цього обладнання.
Широкого розвитку набула форма банківської участі в лізингових операціях, при якій лізингові компанії залучають великі банки до ведення переговорів про лізинг, оформлення необхідної документації тощо. Банк затверджує оренду і виділяє грошові кошти, тоді як лізингова компанія продовжує залишатись власником обладнання і виступає в ролі орендодавця. Банку лише передається право на отримання платежів і застави за обладнання.
Лізинг – форма дострокової оренди, пов’язана з передачею в користування
обладнання, транспортних засобів та іншого рухомого та нерухомого майна.
Стосовно майна, що орендується, лізинг ділиться на чистий – додаткові витрати
бере на себе орендатор, повний – техобслуговування майна та інші витрати бере на себе лізингодавець.
Лізинг має дві основні форми – прямий та такий, що повертається. Прямому
фінансовому лiзингу надається перевага, коли підприємству потрібне переоснащення технічного потенціалу. Лізингова фірма при такій угоді забезпечує 100 %-не фінансування, придбання обладнання. Фактично лiзинг – це форма матеріально-технічного забезпечення з одночасним кредитуванням та орендою. При лiзингу орендар виплачує у лізинговій формі не орендну плату, а повну вартiсть майна у кредит. У випадку виявлення дефектів лізингових основних фондів, лізингова фірма повністю звільняється від претензії. Претензії за трьохсторонньою угодою стосуються постачальника.
Угода лізингу укладається на наступних умовах:
1) термін лізингу дорівнює терміну служби основних засобів;
2) сума платежу об’єднує в собі вартість основних фондiв, проценти за кредит, комісійні платежi;
3) ризик, пов’язаний із псуванням та загибеллю, приймає на себе
лiзингоотримувач;
4) основні фонди є власністю лізингової фірми (орендодавця).
У плані рахунків бухгалтерського обліку лізинг фігурує під поняттям фінансової оренди. Розрізняють два види лізингу:















