161993 (738265), страница 2
Текст из файла (страница 2)
надходжень податку із вироблених в Україні товарів (робіт, послуг)(ПДВ В), виходячи із результатів розрахунків, передбачених першим та другим етапами цього розділу за формулою
ПДВ (В) = (ПДВ(п)+ ПДВ(вд)) / 2
Четвертий етап. Визначення прогнозу надходжень податку із
ввезених на територію України товарів (ПДВ І) на основі динаміки імпорту товарів.
П'ятий етап. Визначення прогнозу бюджетного відшкодування
податку грошовими коштами (БВ) на основі динаміки експорту товарів
та послуг та динаміки промислового виробництва.
Шостий етап. Визначення сальдо надходжень податку до
бюджету за формулою
ПДВ = ПДВ (B) + ПДВ (I) – БВ
При моделюванні надходжень податку застосовуються єдині підходи, що ґрунтуються на визначенні розрахункової бази оподаткування податком на додану вартість та реальної ставки.
Загальна формула визначення обсягів надходжень податку така [14]:
,
де: ПДВt – прогнозні обсяги надходжень податку до бюджету у t-періоді;
БОt – розрахункова база оподаткування податком у t-періоді;
РСt – співвідношення надходжень податку та бази оподаткування (реальна ставка податку) у t-періоді;
Розрахункова база оподаткування (БОt) визначається на основі тих макроекономічних показників, що є індикаторами бази оподаткування ПДВ, що визначена законодавством. Підходи до її визначення залежать від етапу та варіанту прогнозування податку.
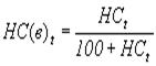
Реальна ставка податку відображає фактичний рівень оподаткування, що склався відносно відповідної бази оподаткування. Розрахунок реальної ставки оподаткування у звітному періоді здійснюється за формулою:
,
Розрахунок реальної ставки податку (РСt) в прогнозному періоді здійснюється за такою формулою:
,
де: НСt – номінальна ставка податку у t-періоді;
Kk,t – коефіцієнт корекції номінальної ставки у t-періоді.
Величина номінальної ставки оподаткування розраховується на основі нормативної ставки, визначеної законодавством, і вводиться в розрахунок в залежності від характеру бази оподаткування. Якщо база оподаткування не включає нарахованого податку, то застосовується нормативна ставка. У разі, коли до бази оподаткування включено суму нарахованого податку, ставка податку розраховується за формулою:
,
де: НС(в)t – номінальна ставка ПДВ, за якою вираховується податок з бази оподаткування.
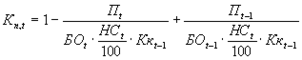
Коефіцієнт корекції номінальної ставки (Kк,t) є співвідношенням величин реальної і номінальної ставок оподаткування та відображає вплив чинників, умовно визначених як пільги з оподаткування, що діють відносно відповідної бази оподаткування у t-періоді. Розрахунок зазначеного коефіцієнта корекції в звітному періоді здійснюється за такою формулою:
.
У прогнозному періоді коефіцієнт корекції визначається за формулою:
де: Кп,t – коефіцієнт зміни пільг.
Коефіцієнт зміни пільг (Кп,t) відображає зміни в чинному законодавстві щодо регулювання та адміністрування податку, що матимуть місце в t-му періоді. Коефіцієнт повинен бути більшим одиниці, якщо очікується ефект збільшення надходжень податку, та меншим одиниці, якщо очікується розширення обсягу пільг.
При наявності даних щодо оцінки обсягів пільг у прогнозному періоді розрахунок коефіцієнта зміни пільг здійснюється за формулою:
де Пt, Пt-1 – оцінка обсягів пільг у прогнозному та базовому роках.
При прогнозуванні податку на додану вартість із вироблених в Україні товарів(робіт, послуг) враховується вплив динаміки кінцевих споживчих витрат домашніх господарств, роздрібного товарообороту, обсягу реалізації послуг населенню, змін кон’юнктури доданої вартості за видами економічної діяльності. Прогноз ПДВ із ввезених в Україну товарів(робіт, послуг) здійснюється на основі динаміки імпорту товарів із врахуванням зміни обсягів пільг , сплати податків у вексельній формі та прогнозного середньорічного обмінного курсу гривні до долара США.
Джерелом інформаційного забезпечення макроекономічної імітаційної моделі податку на додану вартість є дані:
-
Державного комітету статистики (статистика макроекономічних показників, статистика торгівлі та інша статистична інформація);
-
Державного казначейства України (звіти про виконання Зведеного бюджету України);
-
Державної податкової адміністрації (дані щодо надходжень податку в розрізі видів економічної діяльності, бюджетного відшкодування податку, дані податкових декларації тощо);
-
Міністерства економіки та з питань європейської інтеграції (прогнози економічного та соціального розвитку);
-
Державної митної служби України (дані щодо імпорту товарів, що підлягають оподаткуванню, надходження податку в розрізі окремих товарних груп);
-
Національного банку України (Платіжний баланс України, дані щодо офіційного обмінного курсу).
При розрахунку суми податку на додану вартість використовують прогнозні макроекономічні показники Міністерства економіки, управлінь економіки облдержадміністрацій, окремих платників податків та розрахунки по інших платежах до бюджету.
2. Позитивні та негативні аспекти оподаткування ПДВ, місце ПДВ у структурі податкових надходжень
Податок на додану вартість традиційно є основним бюджетоутворюючим податком, який забезпечує понад половину податкових надходжень.
Як видно з рисунку 2.1., в Україні у 1998 – 2009 рр. надходження ПДВ значно збільшилось, особливо у 2007 – 2009 роках. Ця тенденція була зумовлена зростанням ВВП, обсягів імпорту,встановлених обмежень на використання векселів при імпорті товарів, посиленням контролю за сплатою податків при перетині митного кордону України [8, 17]
Рис. 2.1. Надходження ПДВ до Державного бюджету України в 1998 – 2009 рр.
*Побудовано автором на основі [12]
У 2006 році фактичні касові надходження ПДВ до загального фонду склали 47,5 млрд. грн. (8,8% ВВП), що понад 5,7 млрд. грн.. вище за плановий показник. Таке зростання пояснювалось декількома чинниками: по-перше, це стрімке збільшення споживання, по-друге, зростання імпорту в номінальному виразі, пов’язане зі значним підвищенням цін на енергоресурси, а також імпортом інвестиційних товарів і товарів довгострокового використання. Також було запроваджено ставку ПДВ на рівні 20% на імпортний газ замість попередньої нульової ставки. Водночас прострочена заборгованість із відшкодування ПДВ знизилась з 0,6 млрд. грн. на початку 2006 року до 0,4 млрд. грн. в січні 2007 [11].
З таблиці 2.1., Надходження від нього у 2007 – 2009 рр. становили відповідно 50,9 % ,54,85 %, 56,81%.
Табл.2.1.Структура доходів Державного бюджету за 2007 – 2009 рр., млн. грн. [12]
| Показники | 2007 | 2008 | 2009 | |||||
| млн. грн. | % | млн. грн. | % | млн. грн. | % | |||
| Податкові надходження в т.ч. | 116670,8 | 100 | 167883,3 | 100 | 148 915,6 | 100 | ||
| Податок на прибуток підприємств | 33964,8 | 29,11 | 47456,3 | 28,27 | 32 569,8 | 21,87 | ||
| Податок на додану вартість | 59382,8 | 50,90 | 92082,6 | 54,85 | 84 596,7 | 56,81 | ||
| Акцизний збір із вироблених в Україні товарів | 8990,4 | 7,71 | 10125 | 6,03 | 17 584,5 | 11,81 | ||
| Акцизний збір із ввезених на територію України товарів | 1495,5 | 1,28 | 2553 | 1,52 | 3 690,0 | 2,48 | ||
| Ввізне мито | 9588,9 | 8,22 | 11932,8 | 7,11 | 6 328,8 | 4,25 | ||
| Інші податки та збори | 3248,4 | 2,78 | 3733,6 | 2,22 | 4145,8 | 2,78 | ||
Незважаючи на зростання фіскальної ефективності податку на додану вартість протягом 2004 - 2008 років з 4,9 до 9,7 відсотка валового внутрішнього продукту, співвідношення сум такого податку з вироблених в Україні ("внутрішній" податок на додану вартість) та ввезених у країну товарів ("зовнішній" податок на додану вартість) погіршилося, зокрема в 2004 році "зовнішній" податок на додану вартість перевищував "внутрішній" у 2,5, а в 2008 році - у 7,6 раза, тобто 88 відсотків надходжень податку отримано за рахунок імпорту. Така ситуація склалася внаслідок погіршення стану торгового балансу, недоліків у адмініструванні податку на додану вартість та збільшення кількості ухилень від сплати податку і пред'явлення незаконних вимог щодо його відшкодування.
За результатами 2008 року виконання планових завдань по збору основних податків становили (88% всіх надходжень ПДВ забезпечено ДМСУ):
| Показник | млрд.грн. | % до плану |
| ПДВ із ввезених товарів | 79.4 | 99% |
| ПДВ із вітчизняних товарів (сальдо) | 10.6 | 74% |
Джерело: http://minfin.kmu.gov.ua/
У січні 2010 року органами державної податкової служби зібрано 3,8 млрд. гривень податку на додану вартість (без урахування здійсненого бюджетного відшкодування податку), тоді як у січні минулого року – 4,1 млрд. гривень [1].
Обсяги відшкодування з бюджету податку на додану вартість зменшились на 1,6 млрд. гривень. Якщо у січні 2009 року з бюджету було відшкодовано 2,3 млрд. грн., то у січні цього року лише 698,4 млн. грн.
При цьому, за оперативними даними платіжного балансу за жовтень 2009 року (період, за підсумками якого відшкодування ПДВ вже могло бути здійснено у січні 2010 року) спостерігалося зростання вартісних обсягів експорту товарів, які склали 4,2 млрд. доларів США, збільшившись порівняно з попереднім місяцем на 11,9%. Таке збільшення відбулося переважно за рахунок зростання обсягів експорту металургійної (на 18,3%) та машинобудівної (на 8,8%) продукції [2].
Серед усіх податків ПДВ є лідером за кількістю змін, що вносяться до законодавчих актів, які визначають порядок його застосування. Хоча це і викликає багато нарікань у зв'язку з тим, що ускладнюється робота податкових органів і планування підприємцями своєї діяльності, уникнути цього неможливо, оскільки податкова система України перебуває на стадії розбудови. Найбільш важливим кроком по наближенню вітчизняного ПДВ до норм прийнятих в розвинених країнах, було прийняття в 1997 р Закону України "Про податок на додану вартість". Однак, прийняття цього Закону не досягло іншої важливої мети - створення сприятливого податкового режиму для розвитку промисловості, наслідки дії деяких положень Закону призвели в ряді випадків до посилення податкового тиску на виробництво [3, 111].
Аналіз свідчить, що в Україні більше уваги приділяється фіскальній дії ПДВ та недостатня увага відводиться його регулюючій функції, хоча кожний елемент механізму ПДВ може бути використаний з метою забезпечення позитивного регулюючого впливу податку на економічні процеси. Проте в Україні маніпулювання елементами механізму ПДВ є безсистемним, і не завжди науково обґрунтованим, а неконтрольований вплив ПДВ на економічні процеси має суттєві негативні наслідки як для споживачів, так і для виробничої сфери. Це стримує економічне зростання і тим самим негативно позначається на фіскальній дії податку.















