160311 (737936), страница 2
Текст из файла (страница 2)
где PV 0 — значение индекса в начале исследуемого периода; С I — значение индекса в конце рассматриваемого периода. Доходность r i ведет себя как случайная величина с определенным средним r 1 и дисперсией ? r 2. Базовая доходность r 1 каким-то образом связана с доходностью финансовых активов r j, что измеряется ковариациями ? ij. В рамках модели с одним индексом предполагается, что доходности рассматриваемых активов представляются в виде
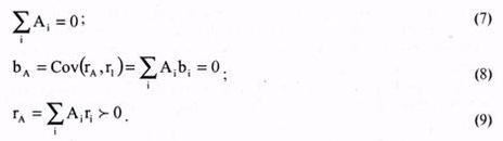
Следует подчеркнуть, что условия (4) и (5) — следствие выбора коэффициентов (1) и (2), а условие (6) — априорное допущение, которое нуждается в проверке в каждой конкретной рыночной ситуации. Алгоритмы Элтона-Грубера-Падберга и Марковица реализуют общий подход — при заданном у ровне ожидаемой доходности минимизировать риск. Стефан Росс в 1976 г. разработал другой подход к управлению портфелем. Его теория, известная как теория арбитражного ценообразования (APT, Arbitrage Pricing Theory), в некотором смысле менее сложна, чем рыночная теория Шарпа. В ее основе лежит предположение о том, что каждый инвестор стремится увеличить доходность своего портфеля, не увеличивая при этом возможный риск. Для достижения этой цели инвестор составляет арбитражный портфель. При формировании арбитражного портфеля используется модель с одним индексом. Арбитражным портфелем называют любой портфель А = (А 1, А 2,..., А n) с условиями:
Условие (7) означает, что для составления портфеля А не требуется дополнительных ресурсов. Условие (8) означает, что арбитражный портфель не чувствителен к базовому фактору. Условие (9) означает, что ожидается положительная доходность портфеля А. Арбитражный портфель формируется таким образом, чтобы его риск был существенно меньше риска текущего портфеля. Еще предпочтительнее, чтобы риск арбитражного портфеля был близок к нулю:
Допустим, что у нас есть старый (текущий) портфель и мы сформировали некоторый арбитражный портфель А с условиями (7-10). Тогда мы строим новый текущий портфель:
с компонентами
Ожидаемая доходность этого портфеля равна:
В силу свойства (9) она выше ожидаемой доходности старого портфеля р.
Риск нового портфеля остался на прежнем уровне:
Последнее значение следует из известного неравенства
Такова суть подхода к управлению портфелем на основе арбитражной теории ценообразования. Надо сказать, что получение безрисковой прибыли путем использования разных цен на ценные бумаги, что собственно и называется арбитражем, является широко распространенной инвестиционной тактикой. Инвесторы стремятся получить доходы при каждой возможности: продавая ценные бумаги по высокой цене и одновременно приобретая такие же ценные бумаги по относительно низкой цене. Для реализации арбитражного подхода как правило используется факторный анализ курса ценных бумаг. При этом делается предположение о том, что можно увеличить доходность своего портфеля без увеличения риска. Однако существует ряд систематических факторов, влияющих на риск и доходность ценной бумаги, что серьезным образом препятствует широкому применению модели APT на практике
Дерево распределения цены акций
Сущность процедуры последовательного дисконтирования с целью определения стоимости опциона в каждой точке пересечения ветвей дерева.
Анализируя динамику курса акций без дивидендов на каждом временном периоде, можно построить дерево распределения цены акции для всего периода действия опционного контракта (рис. 2). Если известна начальная цена акции, равная Р а, то за первый период t l ее курс может составить Р и или P d. За второй период t 2 соответственно или Р и 2 или Р d 2 и т. д.
Рисунок 2. Дерево распределения цены акции для четырёх временных периодов.
Поскольку период действия опционного контракта рассчитан, как правило, на большое число интервалов времени, то делается допущение, что прирост курсовой стоимости и равен 1, деленной на процент падения курсовой стоимости, т.е. и = 1 / d. К моменту истечения срока действия контракта цена опциона может принимать два значения, а именно, О или Р-Е для опциона «колл» и О или E - P для опциона «пут», где Е — цена исполнения опциона; Р — курс акции. Для того чтобы рассчитать стоимость опциона в начале периода Т, необходимо определить стоимость опциона для начала каждого периода t, т.е. в каждой точке пересечения ветвей дерева. Эту задачу решают последовательным дисконтированием. Если известна стоимость опциона в конце периода Т, то для получения его стоимости в начальном периоде выполняется дисконтирование. В условиях отсутствия риска ожидаемый доход от акции на период t должен составить Се rt, где r — непрерывно начисляемая с помощью сложных процентов ставка без риска. С учетом значения математического ожидания ожидаемый доход будет равен:
Cеn = pCu+(1-p)Cd
или
Еn=рu+(1-р)d
из этой формулы найдем:
р=Еn-d/u-d
Определение процента прироста или падения курсовой стоимости акций, определение вероятности повышения или понижения курса акций. Прирост или падение курсовой стоимости акции, зависит от фактора времени, в течение которого могут наблюдаться изменения курса ценной бумаги и ее стандартного отклонения. Отсюда вытекают следующие зависимости:
где и и d — соответственно «верхнее» и нижнее положение курсовой стоимости акции.
Таким образом, формулы позволяет оценить вероятность повышения или понижения курса акций.
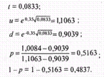
Пример. Пусть курс акций в начале периода равен 40 дол., стандартное отклонение цены акции — 35%, непрерывно начисляемая ставка без риска 10%. Определить вероятность повышения и понижения курса акций через месяц.
Используя указанные формулы расчета, получим:
Следовательно, вероятность повышения курса акции через один месяц составляет 0,5163, а вероятность его понижения — 0,4837. Зная значения и и d, можно рассчитать курсовую стоимость акции для любого периода времени, т.е. для каждой точки пересечения ветвей дерева, к примеру указанного на рис.2. Если же рассматривается биноминальная модель для акций, по которым выплачиваются дивиденды, что в основном сказывается на размере премии, то курс акций на дату учета снижается на величину выплачиваемого дивиденда. Соответственно, дерево распределения цены акции принимает с учетом допущения вид, аналогичный указанному выше. Последовательным дисконтированием цен опциона (с учетом вероятности повышения и понижения стоимости актива на каждом интервале времени) получают значение его цены в момент заключения контракта. При этом чистая цена акции уменьшается на величину приведенной (дисконтированной) стоимости дивиденда, имеющего место в течение срока исполнения опциона.
Дерево распределения премии европейского опциона
На рисунке 3 показаны узлы А и В, отвечающие моменту времени Т, и узлы С и D отвечающие моменту времени Т − ∆ t, узел Е отвечающий моменту времени Т − 2∆ t. Пусть S – цена акции для узла С, S' – цена акции для узла В, и S" – цена акции для узла А. V' – цена опциона для узла В, и V" – цена опциона для узла А. Цены опциона для всех узлов, отвечающих моменту времени Т, определяются однозначно. Например если мы рассматриваем опцион «колл», то его цена для узлов В и А определяется по следующим формулам:
Если мы рассматриваем опцион «пут», то:
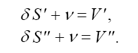
От конкретного способа определения цен опциона для узлов, отвечающих моменту времени Т, последующие этапы алгоритма не зависят. Важно, что для момента времени Т для всех узлов цена опциона известна. Ближайшей задачей является определение цены опциона V для узла С. В момент времени Т − ∆ t, находясь в узле С, мы хотим составить портфель из акций и безрисковых облигаций (с погашением в момент времени Т) так, чтобы при любом возможном для узла С исходе (т.е. при переходе либо в узел А либо в узел В), цена этого портфеля в момент времени Т совпала бы с ценой опциона. Т.е. цена этого портфеля должна быть равна V' в узле В и V" в узле А. Портфель с таким свойством, если он существует, называется синтетическим опционом. Если удастся построить такой портфель, то его цена в момент времени Т − ∆ t и должна быть принята за цену опциона для узла С. Противное означало бы наличие арбитража.
Построим для момента времени Т − ∆ t и цены акции S (т.е. для узла С) синтетический опцион из δ акций и ν безрисковых облигаций (с погашением в момент времени Т). Должны выполняться условия:
Эта система алгебраических уравнений имеет единственное решение:
Таким образом:
Формулы (2) и (3) определяют цену опциона для узла С. Аналогично может быть определена цена опциона для узла D а также для всех остальных узлов отвечающих моменту времени Т − ∆ t.
Обозначим цену опциона через V' для узла D, и через V" – цену опциона для узла. С, тогда цена опциона для узла Е может быть рассчитана по формулам (2) и (3) только вместо
в формуле (3) должно стоять:
Тем же способом можно определить цену опциона и для всех остальных узлов биноминального дерева, в том числе и для узла отвечающего моменту времени 0. Это и есть искомая цена опциона.
Дерево распределения премии американского опциона
Биноминальная модель может быть использована и для расчетов цен американского опциона. Рассмотрим, например, американский пут. Обратимся к следующей формуле:
К – цена исполнения опциона, S – цена акции для узла С, V' и V" – цены опциона для узлов В и А, цена американского опциона пут, рассчитывается по формуле:
Причем пут, должен быть исполнен в узле С если:
и не должен быть исполнен в противном случае. Естественно, что при расчете цены для узла Е в качестве цены опциона в узле С должна быть принята именно так найденная цена V. Поэтому цена опциона в узле Е включает в себя возможность раннего исполнения не только в этом узле, но и возможность раннего исполнения в узлах С и D. Цены американского опциона колл совпадают с ценой европейского опциона колл, если по акции не выплачиваются дивиденды. Для опционов пут положение совсем другое. Например, при значении волатильности σ = 0,04 цена американского пута почти втрое выше, чем европейского. Обратим также внимание на высокую зависимость цены от волатильности. Например, для европейского опциона пут увеличение пута в 5 раз приводит к увеличению цены опциона более чем в 25 раз. Это обстоятельство является очень важным, поскольку волатильность цены акции – это тот параметр, при выборе которого имеется произвол. При более аккуратных расчетах волатильность считают не числом, а случайным процессом.
Специфика и общие черты определения премий европейского и американского опциионных контрактов
Суть опциона состоит в том, что по нему одна из сторон (покупатель опциона) может по своему усмотрению либо исполнить контракт, либо отказаться от его исполнения. За полученное право выбора покупатель опциона выплачивает продавцу определенное вознаграждение, называемое премией. Продавец опциона должен исполнить свои контрактные обязательства, если покупатель (держатель) опциона решает исполнить опционный контракт. Покупатель может продать/купить базисный актив опционного контракта только по той цене, которая в контракте зафиксирована и называется ценой исполнения. Опционы различаются по стилю: Европейский опцион, или опцион Европейского стиля (European option, European style) и Американский опцион, или опцион Американского стиля (American option, American style).
Основное различие между ними в том, что они имеют разные условия исполнения по срокам. Далее можно будет увидеть, что в силу влияния такого фактора, как срок жизни опционного контракта, стоимости (премии) европейского и американского опционов различны.















