72335-1 (733745), страница 2
Текст из файла (страница 2)
15. Человек Вашей профессии, достигший успеха и увлекающийся физической культурой или спортом (4). Ваш хороший знакомый по институту, совершенно отвергающий занятия физической культурой или спортом (10). Ваш однокурсник, на которого Вы не хотели бы быть похожим (12).
16. Человек, повлиявший на выбор вашей будущей профессии (2). Один из Ваших знакомых-студентов, сильнее всех ориентированный на моду во всех ее проявлениях (одежда, поведение, манеры, музыка и т.п.) (7). Человек, который хочет заниматься физической культурой или спортом (14).
17. Я сам (1). Человек Вашей профессии, достигший успеха и увлекающийся физической культурой или спортом (4). Человек, который хочет заниматься физической культурой или спортом (14).
18. Ваш однокурсник, на которого Вы не хотели бы быть похожим (12). Человек, чье мнение для Вас важно (16). Человек с высоким культурным уровнем (20).
19. Специалист, каким я хочу стать (17). Один из Ваших знакомых-студентов, сильнее всех ориентированный на моду во всех ее проявлениях (одежда, поведение, манеры, музыка и т.п.) (7). Ваш хороший знакомый по институту, совершенно отвергающий занятия физической культурой или спортом (10).
20. Один из Ваших знакомых-студентов, сильнее всех ориентированный на моду во всех ее проявлениях (одежда, поведение, манеры, музыка и т.п.) (7). Человек, чье мнение для Вас важно (16). Человек знакомый Вам лично, с самым высоким культурным уровнем (20).
На третьей стадии выявления мотивов с помощью репертуарной решетки проводится специальная математике-статистическая обработка с помощью компьютерной программы, реализующей процедуру вычисления коэффициента сопряженности Чупрова [8] для каждого столбца и для каждой строки репертуарной решетки. При этом для каждой репертуарной решетки создается файл данных в виде матрицы 20х20, состоящей из нулей и единиц. Ноль (0) соответствует незаполненной клетке репертуарной решетки, единица (1) - отметке "V". Программа предусматривает полный цикл расчета взаимосвязей как конструктов, так и ролей-объектов (элементов).
Коэффициент сопряженности Чулрова для четырехпольной таблицы (8) попарно характеризует силу связи двух признаков (либо двух конструктов, либо двух элементов), каждый из которых может иметь 20 случаев варьирования "О" или "Г. Таким образом, при рассмотрении каждой пары клеток решетки возможны 4 варианта:
а - количество пар, где имеются оба признака (оба имеют "галочки");
b - количество пар, где в одной клетке (для конструктов
- в верхней, для ролей-объектов - в левой) "галочка", а в другой - "пропуск";
с - количество пар, где в одной клетке (для конструктов
- в нижней, для ролей-объектов - в правой) признака нет ("пропуск"), а в другой есть ("галочка");
d - количество пар, где в обеих сопоставляемых клетках признаки отсутствуют ("пропуск"-"пропуск").
В результате этого при последовательном сопоставлении каждой пары признаков в столбцах (или строках) репертуарной решетки происходит накопление фактических частот а, Ь, с, d.
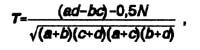
Общее количество накопленных частот в каждой паре объектов-ролей или конструктов равно 20. Вычисления производятся по формуле:
где Т - тетрахорический коэффициент сопряженности Чупрова;
N - число возможных варьируемых признаков (в нашем случае равно 20);
а, Ь, с, d - фактические частоты.
Тетрахорические коэффициенты выдаются в виде матрицы с 20 строками и 20 столбцами. Знаком (-) обозначаются коэффициенты, получившиеся в результате равенства нулю одной или нескольких скобок в расчетной формуле:
(а+Ь)=0; (c+d)=0; (a+c)=0; (b+d)=0. В данном случае деление на 0 означает бесконечно большую связь конструкта (или элемента) с остальными.
Значимость тетрахорического коэффициента сопряженности оценивается на доверительном уровне Р=0,95 по методу X2 (хи-квадрат).
X2=NT2;
где Т - тетрахорический коэффициент сопряженности;
N - объем выборки (количество конструктов или элементов), N=20:
X2 - критерий оценки сопряженности наблюдаемых факторов. Для нашего случая он равен 3,841 [8].
При изучении психологического смысла взаимосвязи конструктов (или элементов) факт характера связи (отрицательной или положительной) между ними имеет важное значение. Поэтому с помощью расчета ожидаемых частот вычислялось направление связи ((+) или (-)).
где N - объем выборки (количество конструктов или элементов), N=20;
а' - ожидаемая частота в клетке а.
Если а > а', то связь положительная (+), если а < а', то связь отрицательная (-).
Значимые коэффициенты сопряженности в матрице отмечаются знаком (*).
Ф. Франселла и Б. Баннистер [19] предлагают для анализа решетки пользоваться показателем, называемым "баллом взаимосвязи*. Поскольку тетрахорические коэффициенты взаимосвязи нелинейны, балл взаимосвязи логично представить положительным числом.
T1 = 100T2, где
T1 - балл взаимосвязи.
Т - тетрахорический коэффициент.
Возведение в квадрат делает все тетрахорические коэффициенты взаимосвязи положительными. Умножение на 100 дает возможность избавиться от дробей. Для получения балла взаимосвязи любого конструкта суммируются все его тетрахорические коэффициенты взаимосвязи со всеми остальными конструктами (без учета знака). В результате получаем числовое выражение общей дисперсии, объясняемой данным конструктом. Самым значимым является такой конструкт, который наиболее тесно связан со всеми конструктами решетки (имеет наибольший балл взаимосвязи).
Для наглядного отображения взаимосвязи конструктов (элементов) может быть использован метод наибольшего корреляционного пути по Выханду [5]. Для каждого конструкта (элемента) выбирается конструкт (элемент), имеющий наибольшее значение тетрахорического коэффициента взаимосвязи (без учета знака). Если несколько конструктов имеют одинаково наибольшую взаимосвязь, то учитываются все эти коэффициенты.
Для практического определения уровня мотивации к занятиям физическими упражнениями мы рекомендуем применять разработанную репертуарную решетку. В качестве критерия уровня мотивации предлагается использовать количество и содержание конструктов, относящихся к области физической культуры и спорта, содержащихся в репертуарных решетках.
Организация исследования. Экспериментальное исследование (в период с октября 1992 по июнь 1996 г.) проведено на базе Брянской государственной инженерно-технологической академии (БГИТА) в несколько этапов. Внедрение коррекции мотивационной сферы студентов осуществлялось на двух факультетах БГИТА и в Брянском государственном техническом университете. В формирующем эксперименте участвовали 107 студентов БГИТА.
Основные результаты исследования и выводы. 1. Эмпирическое изучение мотивов студентов в отношении физкультурно-слортивной деятельности выявило наличие незначительного их количества и слабой связи с учебно-профессиональными мотивами. Для того чтобы физическая культура стала полноценным фактором становления специалиста, она должна быть личностно значимой для студента. Необходимо, чтобы студент: а) понимал роль физической культуры в своей жизни; б) положительно относился к физической культуре; в) включился в занятия физической культурой, определив для себя приемлемую форму и условия занятий; г) имел личностно значимые мотивы занятий, сформированные на базе интереса к физической культуре и спорту, основанного на его собственных потребностях.
2. В ходе исследования установлено, что наиболее часто из блока физкультурно-спортивных мотивов среди студентов технического вуза встречается мотив любви к спорту (68,2% студентов), стремление заниматься определенным видом спорта (41,1%), обладать хорошим физическим развитием (29,9%), развивать или иметь физические качества (22,4%). Стремление к здоровому образу жизни выражается в основном мотивами отрицательного отношения к алкоголю и курению (42%). 14,9% студентов имеют мотивы неприязни к физической культуре.
3. Выявлено, что доминирующими мотивами в учебно-профессиональной деятельности являются: интерес к получению знаний (42,9% студентов), стремление иметь работу (профессию) (35,5%), стремление к студенческой жизни (33,6%), желание добиться успеха (33,6%). Быть хорошим специалистом хотят 20,6% студентов. Стремление быть культурным человеком мы отметили у 19,6% студентов, а интеллигентными хотят быть только 12,1% студентов. Для 61,2% студентов технического вуза значимо желание быть умным или обладать интеллектом.
4. Определено 5 подгрупп студентов, существенно различающихся уровнем мотивации в области физической культуры и спорта. Выявлено, что между параметрами физической подготовленности студентов, уровнем мотивации, субъективными оценками роли и места физической культуры в жизни общества, в учебно-профессиональной деятельности и желании заниматься ею существует достоверная корреляционная связь. При этом у студентов, не имеющих мотивов физкультурно-спортивной деятельности, самые низкие показатели физической подготовленности, субъективной положительной оценки роли и места физической культуры в культурной жизни общества, в учебно-профессиональной деятельности, в желании заниматься ею.
5. Установлено, что для студентов, имеющих 1-2 мотива физкультурно-спортивной деятельности, характерно стремление обладать оптимальным телосложением. Студенты, имеющие 3-4 мотива в репертуарной решетке, в 75% случаев отдают предпочтение мотиву 'любить спорт", причем у студентов с 5-6 и более мотивами физкультурно-спортивной деятельности названный мотив встречается уже в 92% случаев. Для них же наиболее значимы мотивы занятия конкретным видом спорта. Сопоставление содержания решеток с реальной вовлеченностью студентов в занятия физической культурой и спортом позволяет утверждать, что генерализованные мотивы появляются у студентов с меньшей вовлеченностью в физическую культуру и спорт, а дифференциация мотивов и их многогранность свойственны студентам, в большей мере приобщенным к физической культуре и спорту. 6. В ходе экспериментального исследования установлено, что актуализация мотивов физкультурно-спортивной деятельности в период вузовской подготовки студента не возникает без дополнительных педагогических усилий. Уже ко 2-му курсу происходит значительное снижение числа мотивов (на 20-30%) физкультурно-спортивной деятельности. К тому же эти мотивы не находят отражения в профессиональных мотивах.
7. Экспериментальная работа показала, что в результате коррекции мотивационной сферы у всех студентов экспериментальной группы появились мотивы физкультурно-спортивной деятельности. Их количество в среднем на одного студента увеличилось более чем в 2,5 раза для 1-й и 2-й подгрупп и в 1,2 раза для 3-й подгруппы. В аналогичных подгруппах контрольной группы произошло снижение количества мотивов соответственно в 1,1 и 1,4 раза. В 4-й и 5-й подгруппах экспериментальной группы количество мотивов на одного студента осталось на прежнем уровне, в то время как в контрольной группе в аналогичных подгруппах число мотивов сократилось в 1,3 раза. У 81% студентов экспериментальной группы к концу эксперимента наблюдалась взаимосвязь физкультурно-спортивных и учебно-профессиональных мотивов, в контрольной группе такая взаимосвязь наблюдалась у 44,7 % студентов.
8. В процессе проведения эксперимента установлено, что рост результатов контрольных нормативов не является необходимым и достаточным условием принятия на личностном уровне ценностей физической культуры и спорта, а также не влечет за собой возрастания желания заниматься физкультурой и положительного отношения к ней. В целом выявлена закономерная тенденция динамики результатов выполнения контрольных нормативов по физической подготовленности, подверженная сезонным колебаниям.
Значительное улучшение результатов у студентов со слабым и средним уровнем подготовленности возможно только с помощью целенаправленных или дополнительных занятий.
9. Экспериментальная работа показала, что полное отсутствие мотивов занятий физической культурой и спортом в мотивационной сфере студентов, возникшее как результат недостаточного внимания к этой области в процессе довузов-ского воспитания, приводит к затруднению актуализации физкультурно-спортивных мотивов и требует значительных усилий педагога и существенных затрат дополнительного времени. Различная степень мотивированности студентов в области физической культуры и спорта вызывает необходимость в дифференцированных подходах к их физическому воспитанию с учетом особенностей мотивации.
Значимость данного исследования заключается в возможности выявления мотивации студентов, использования вузовского физического воспитания для приобщения к ценностям физической культуры и понимания ее личностной значимости, а также в возможности трансформации прикладной физической культуры в физическую культуру специалиста с высшим образованием, способного оптимизировать свое физическое состояние.
Список литературы
1. Асмолов А.Г. Психология личности: принципы общепсихологического анализа. - М.: МГУ, 1990, 367с.
2. Булавкина Т.А. Коррекция профессиональных мотивов у студентов технических вузов средствами физического воспитания: Автореф. дисс. - Малаховка: МГАФК, 1997, 142 с.
3. Виленский М.Я., Ильинич В.И. Физическая культура работников умственного труда. - М.: Знание, 1987, 93с.
4. Виленский М.Я., Карповский Г.К. Мотивационно-ценностное отношение студентов к физическому воспитанию и пути его направленного формирования //Теор. и практ. физ. культ. 1984, № 10, с.39-42.
5. Выханду Л.К. В сб.: Применение математических методов в биологии. - Л.: изд. ЛГУ, 1964.
6. Ганчар И.Л. Экспериментальное обоснование прикладной направленности физического воспитания и интегральной оценки его результатов в условиях вуза (на примере студентов-гидрометеорологов): Автореф. дисс. - Л.: ГДОИФК, 1980, 21с.














