71069-1 (733717), страница 2
Текст из файла (страница 2)
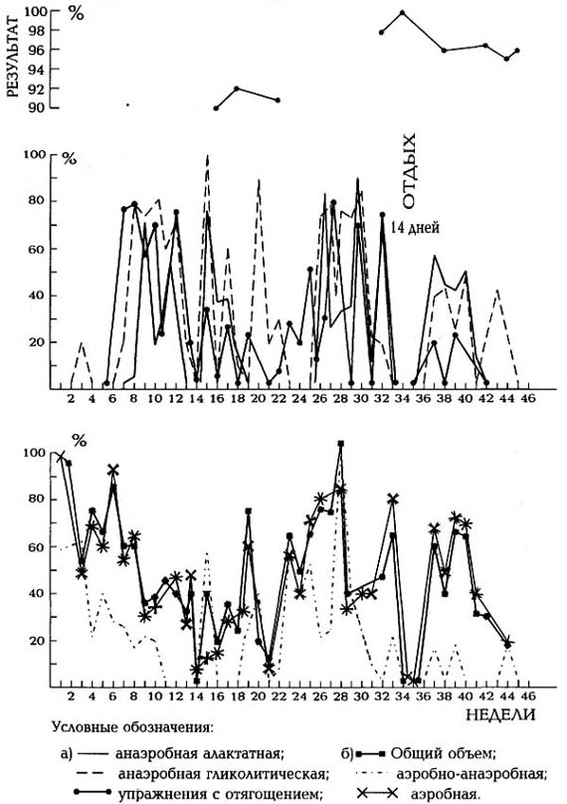
Рис. 8. Динамика тренировочных нагрузок и спортивного результата в годичном цикле подготовки у спортсменки Б. (мс, л/атл., бег 400 м)
Учитывая, что восстановление работоспособности организма после больших тренировочных нагрузок является одной из сторон процесса адаптации его к этим условиям, можно утверждать, что интервал восстановительного отдыха, позволяющего обеспечить столь необходимую преемственность эффектов занятий, в конечном итоге зависит от степени как утомления, так и напряжения адаптационных механизмов, вызванного серией занятий. В этой связи соотношение нагрузки и отдыха в рамках микро-, мезо- и макроциклов должно быть различным. Дальнейшее изучение закономерностей взаимодействия ближайших и следовых эффектов занятий в различных структурных звеньях тренировочного процесса позволит составить более глубокое и целостное представление о закономерностях построения спортивной тренировки, в том числе о реализации принципа ее непрерывности.
Список литературы
1. Зимкин Н.В., Трифонов Ю.Н. Влияние характера мышечной тренировки и эмоциональных воздействий на состояние неспецифической устойчивости организма к неблагоприятным факторам //Материалы конференции по проблеме адаптации, тренировки и другим способам повышения устойчивости организма. Донецк, 1960, с. 37-38.
2. Иоффе Л.А. Докт. дис. М., 1971.
3. Матвеев Л.П. Основы спортивной тренировки: Учебн. пос. для ИФКов. - М.: ФиС, 1977.
4. Матвеев Л.П. Принципы, регламентирующие деятельность по физическому воспитанию //Теория и методика физической культуры: Учебник для ИФКов. - М.: ФиС, 1991, с. 85-113.
5. Матвеев Л.П., Меерсон Ф.З. Принципы теории тренировки и современные положения теории адаптации к физическим нагрузкам //Очерки по теории физической культуры. - М.:ФиС, 1984, с. 224-240.
6. Меерсон Ф.З., Пшенникова М.Г. Адаптация к стрессорным ситуациям и физическим нагрузкам. - М.: Медицина, 1988.
7. Пшенникова М.Г. Адаптация к физическим нагрузкам //Физиология адаптационных процессов: Руководство по физиологии. - М.: Наука, 1986, с. 124-209.
8. Спортивная физиология: Учебник для ИФКов. /Под ред. Я.М. Коца. - М.: ФиС, 1986.
1 К Данной категории были отнесены случаи некоторого ухудшения результатов, но не более чем на 1% от результата, показанного непосредственно перед перерывом. Такое снижение результатов может быть вызвано влиянием привходящих, внетренировочных факторов. За 100% условно был принят спортивный результат, показанный непосредственно перед перерывом.
Для подготовки данной работы были использованы материалы с сайта http://lib.sportedu.ru/















