240-2306 (733596), страница 3
Текст из файла (страница 3)
В тер. = Л * Н , где
Ф
В – необходимое количество врачебных должностей
Л – норма полик.помещений на одного жителя в год
Р – численность населения планируемой территории
В тер. = 2,2 * 125.000 = 44,3
(3 * 5 + 3,5 * 2) * 282
-
Расчет потребности во врачах хирургах
В хир. = Л * Н
Б * С * Г
В хир. = 1,4 * 125.000 = 12,5
5,5 * 9 * 282
ВЫВОД:
По данным расчетов необходимого количества врачебных должностей, получили, что ЦРБ необходимы еще 36,3 должностей терапевта и 10,5 должностей хирурга.
Таблица 7.
Число посещений, сделанных жителями центрального райцентра в поликлинику ЦРБ
| Специальности | Число посещений | ||
| Предыдущий год | Очередной год | ||
Терапия | 45.000 | 57.750 | |
| Хирургия | 27.100 | 36.750 | |
Число посещений = (число поликлинических посещений на 1 жителя в год) * (численность взрослого населения райцентра)
Число посещений к терапевту = 2,2 * 26.250 = 57.750
Число посещений к хирургу = 1,4 * 26.250 = 36.750
Врачебные кадры.
В Павловском районе в прошлом году работало 120 врачей. Штатным расписанием центральной районной больницы предусмотрено 60 врачебных должностей; фактически занято – 57, число физических лиц – 52.
Таблица 9.
Распределение участковых врачей-терапевтов поликлиники ЦРБ по занимаемой должности и стажу работы.
| Наименование должностей | Число должностей | В том числе заняты врачами со стажем работы ( в годах) | |||||
| штатных | занятых | До 5 | 5 - 10 | 10 - 15 | 15 - 30 | 30 и более | |
| Участковые врачи-терапевты | 8 | 8 | 1 | 2 | 2 | 2 | 1 |
-
Укомплектованность штата врачей = кол-во занятых должностей
количество штатных должностей * 100%
Укомплектованность штата врачей = 57 * 100 = 95 %
60
-
Число должностей, приходящихся на 1 врача ЦРБ = кол-во занятых должностей
число физических лиц
Число должностей, приходящихся на 1 врача ЦРБ = 57 = 1,096 ≈ 1,1
52
Таким образом, в ЦРБ на 1 врача приходится 1,1 врачебной должности. Значит, в ЦРБ имеет место совмещение врачебных должностей.
Расчет расходов по основным статьям сметы ЦРБ
1 ст. – заработная плата (только для участковых терапевтов)
12 * (2474, 4 : 4 + 2474,4 ) = 37.116 руб.
2 ст. – начисления на заработную плату (38, 5%)
37.116 * 38,5 = 14.289,6 руб.
100
9 ст. – расходы на питание (терапевтическое отделение)
Число коек в отделении * планируемая среднегодовая занятость койки * расходы на одного больного в день
84 * 343 * 10 = 288 * 120
10 ст. – приобретение медикаментов и перевязочного материала
Число коек в отделении * планируемая среднегодовая занятость койки * расходы на медикаменты по стационару
83 * 343 * 20 = 576.240 руб.
В результате выборочного изучения материалов о временной нетрудоспособности больных, с острыми вирусными респираторными заболеваниями, своевременно обратившихся к врачу ( в 1 день) заболевания, были получены следующие данные.
Распределение больных ОРВИ по длительности заболевания
| Число дней временной нетрудоспособности | Число больных |
| 6 | 10 |
| 8 | 55 |
| 11 | 20 |
| 14 | 5 |
В группе больных этими же заболеваниями, несвоевременно обратившихся, средняя длительность временной нетрудоспособности составила 15,8 дней + / - 0,5 дня.
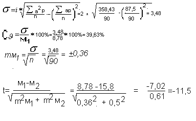
| V | P | pV | a | aP | a 2 P |
| 6 | 10 | 60 | - 3,75 | - 37,5 | 140, 62 |
| 8 | 55 | 440 | - 1,75 | - 96,25 | 96,25 |
| 11 | 20 | 220 | 1,25 | 25 | 31,25 |
| 14 | 5 | 70 | 4,25 | 21,25 | 90,31 |
| ∑ = 39 | ∑ = 90 | ∑ = 720 | ∑ = 0 | ∑ = - 87,5 | ∑ = 358, 43 |
М = (6 + 8 + 11 + 14) : 4 = 9,75 а = V – М
М1 = М + ∑ а Р = 9,75 – 87,5 = 9,75 – 0,97 = 8,78 i = 14 - 6 = 2
n 90 4
ВЫВОД:
Доверительный критерий (t) < 2, значит модно с вероятностью безошибочного прогноза (выше 95 %) утверждать, что низкая средняя длительность одного случая нетрудоспособности (8,78) в связи с ОРВИ обусловлено тем, что основное содержание санитарно-просветительной работы направлено на профилактику возникновения заболеваний и формирование правильного поведения населения – своевременно при заболевании обращаться к врачу.
Из общего числа населения Павловского района 125.00 чел., взрослое население 81.000 человек.
На предприятиях, в организациях и других небюджетных учреждениях работает 46.000 человек, остальные 35.000 составляют пенсионеры, инвалиды, работники бюджетных организаций непроизводственной сферы.
Фонд оплаты труда предприятий и учреждений района за базовый период 2.627.800 тыс. рублей.
Рентабельность медицинских учреждений Н-ской области принята в размере 20 %.
Удельный вес средств обязательного страхования на содержание страховых компаний составляет в среднем 4 %.
| Работающие небюджетных учреждениий 46.000 чел. | Неработающие и работники бюджетных учреждений 35.000 чел. | |
| Стоимость территориальной программы | 427.667.260, 8 | |
| Сумма средств на содержание страх. организаций | 237.480.172, 8 | 190.187.088 |
| Рентабельность | 228.346.320 | 182.872.200 |
| Себестоимость мед. помощи | 190.288.600 | 152.393. 500 |
Себестоимость медицинской помощи = себестоимость мед.помощи на 1 человека * численность населения
Себестоимость медицинской помощи работающим небюджетных учреждений =
= 4354, 10 * 46.000 = 190.288.600
Себестоимость мед.помощи неработающим и работающим бюджетных учреждений = = 4354, 10 * 35.000 = 152.393.500
Рентабельность небюджетных учреждений = 190.288.600 * 1,2 – 228.346.320
Рентабельность бюджетных работающих = 152.393.500 * 1,2 = 182.872.200
Сумма средств на содержание страховых компаний бюджетных работающих =
= 182.872.200 * 1,04 = 190.187.088
Сумма средств на содержание страховых компаний небюджетных работающих =
= 228.346.320 * 1,04 = 237.480.172,8
Стоимость территориальной программы = 190.187.088 + 237.480.172,8 = 427.667.260,8
17














