150700 (732803), страница 4
Текст из файла (страница 4)
Б. у. имеет большое значение в гидравлике и технической гидродинамике: оно используется при расчётах трубопроводов, насосов, при решении вопросов, связанных с фильтрацией, и т.д. Бернулли уравнение для среды с переменной плотностью р вместе с уравнением неизменяемости массы и уравнением состояния является основой газовой динамики.
Движение жидкости по трубам. Зависимость давления жидкости от скорости ее течения
Стационарное течение жидкости. Уравнение неразрывности
Рассмотрим случай, когда невязкая жидкость течет по горизонтальной цилиндрической трубе с изменяющимся поперечным сечением.
Течение жидкости называют стационарным, если в каждой точке пространства, занимаемого жидкостью, ее скорость с течением времени не изменяется. При стационарном течении через любое поперечное сечение трубы за равные промежутки времени переносятся одинаковые объемы жидкости.
Жидкости практически несжимаемы, т. е. можно считать, что данная масса жидкости всегда имеет неизменный объем. Поэтому одинаковость объемов жидкости, проходящих через разные сечения трубы, означает, что скорость течения жидкости зависит от сечения трубы.
Пусть скорости стационарного течения жидкости через сечения трубы S1 и S2 равны соответственно v1 и v2. Объем жидкости, протекающей за промежуток времени t через сечение S1, равен V1=S1v1t, а объем жидкости, протекающей за то же время через сечение S2, равен V2=S2v2t. Из равенства V1=V2 следует, что
S1V1=S2V2. (5.10)
Соотношение (5.10) называют уравнением неразрывности. Из него следует, что
v1/v2=S2/S1.
Следовательно, при стационарном течении жидкости скорости движения ее частиц через разные поперечные сечения трубы обратно пропорциональны площадям этих сечений.
Давление в движущейся жидкости. Закон Бернулли
Увеличение скорости течения жидкости при переходе из участка трубы с большей площадью поперечного сечения в участок трубы с меньшей площадью поперечного сечения означает, что жидкость движется с ускорением.
Согласно второму закону Ньютона, причиной ускорения является сила. Этой силой в данном случае является разность сил давления, действующих на текущую жидкость в широкой и узкой частях трубы. Следовательно, б широкой части трубы давление жидкости должно быть больше, чем в узкой. Это можно непосредственно наблюдать на опыте. На рис. показано, что на участках разного поперечного сечения S1 и S2 в трубу, по которой течет жидкость, вставлены манометрические трубки.
Как показывают наблюдения, уровень жидкости в манометрической трубке у сечения S1 трубы выше, чем у сечения S2. Следовательно, давление в жидкости, протекающей через сечение с большей площадью S1, выше, чем давление в жидкости, протекающей через сечение с меньшей площадью S2. Следовательно, при стационарном течении жидкости в тех местах, где скорость течения меньше, давление в жидкости больше и, наоборот, там, где скорость течения больше, давление в жидкости меньше. К этому выводу впервые пришел Бернулли, поэтому данный закон называется законом Бернулли.
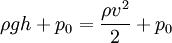
Закон Бернулли является следствием закона сохранения энергии для стационарного потока идеальной (то есть без внутреннего трения) несжимаемой жидкости:
Здесь
ρ — плотность жидкости,
v — скорость потока,
h — высота, на которой находится рассматриваемый элемент жидкости,
p — давление.
Константа в правой части обычно называется напором, или полным давлением. Размерность всех слагаемых - единица энергии, приходящейся на единицу объёма жидкости.
Это соотношение называют уравнением Бернулли. Величина в левой части имеет отношение к интегралу Бернулли.
Для горизонтальной трубы h = const и уравнение Бернулли принимает вид
.
Согласно закону Бернулли полное давление в установившемся потоке жидкости остается постоянным вдоль этого потока. Полное давление состоит из весового, статического и динамического давления. Из закона Бернулли следует, что при уменьшении сечения потока, из-за возрастания скорости, то есть динамического давления, статическое давление падает. Закон Бернулли справедлив и для ламинарных потоков газа. Явление понижения давления при увеличении скорости потока лежит в основе работы различного рода расходомеров, водо- и пароструйных насосов.
Закон Бернулли справедлив в чистом виде только для жидкостей, вязкость которых равна нулю, то есть таких жидкостей, которые не прилипают к поверхности трубы. На самом деле экспериментально установлено, что скорость жидкости на поверхности твердого тела всегда в точности равна нулю.
Закон Бернулли можно применить к истечению идеальной несжимаемой жидкости через малое отверстие в боковой стенке или дне широкого сосуда.
Согласно закону Бернулли приравняем полные давления на верхней поверхности жидкости и на выходе из отверстия:
,
где
p0 — атмосферное давление,
h — высота столба жидкости в сосуде,
v — скорость истечения жидкости.
Отсюда:
. Это — формула Торричелли. Она показывает, что при истечении идеальной несжимаемой жидкости из отверстия в широком сосуде жидкость приобретает скорость, какую получило бы тело, свободно падающее с высоты h.
Глайдирующий летательный аппарат
Мы уже указали, какие четыре силы действуют на моторный самолет в процессе устойчивого горизонтального полета: его вес тянет вниз, равная противоположная подъемная сила крыльев поддерживает его, вперед толкает мотор, назад тянет равное сопротивление воздуха.
Но что же есть такое на земле, а вернее в воздухе, что толкает вперед глайдер? Это часть или компонента веса летательного аппарата, т. е. та же сила, которая заставляет шарик скатываться по наклонной поверхности. Еще одно отступление: Расчет сил:
Нам уже известно, что две одинаковых силы, действующие в противоположном направлении (подъемная сила и вес, тяга двигателя и сопротивление воздуха в случае с самолетом), уравновешивают друг друга, оставляя тело в состоянии покоя или равномерного движения с постоянной скоростью в заданном направлении.
Е
сли две или б
олее сил действуют в одном направлении, мы просто складываем их. Если лошадь может тащить экипаж с силой, скажем, 50 кг, то две лошади приложат усилие в 100 кг, а три лошади (Русская "тройка") в 150 кг. На нашем рисунке мы просто рисуем силы на шкале одну за другой, потом стираем стрелки, кроме последней. Результат (который называется результирующей силой) — это просто более длинная одиночная стрелка:
Когда мы имеем дело с неравными силами, действующими в противоположном направлении, все по-прежнему просто: мы вычитаем из более длинной стрелки длину короткой и остаемся с результирующей силой, которая по величине меньше:
<
Но что если две неравных силы действуют под углом? Есть совершенно простой путь нахождения результирующей, который выглядит следующим образом:
Сначала мы рисуем две наших силы, обозначенные через F1 и F2, из точки 0. Затем из конца F1 рисуем вспомогательную линию, параллельную F2 , а из конца F2 — другую, параллельную F1. Теперь из точки 0 проводим линию в точку пересечения двух вспомогательных прямых. Вот это и есть наша результирующая сила:
М
ы можем использовать данный метод не только для сложения двух сил в результирующую, но и для разложения одной силы на две, действующие в любых направлениях, которые мы выбираем. Попробуем применить это на примере шарика, катящегося по наклонной плоскости.
Шарик имеет определенный вес, который тянет его вниз. Если бы он был на плоском столе, он оставался бы на месте, оказывая давление на точку прямо под собственным центром тяжести, и никуда бы не катился. На н
аклонной плоскости, однако, его вес по-прежнему направлен прямо вниз в то время, как точка поддержки, т.е. точка соприкосновения с плоскостью смещена назад. Здесь имеет место отсутствие равновесия, и мы можем разложить вес W на две силы: одна проходит через точку контакта с плоскостью, а вторая тянет шарик вдоль направления наклона.
Будем считать вес (стрелка W) результирующей силой. Тогда рисуем эту силу из центра шарика вертикально вниз в масштабе, отражающем истинный вес. Нам уже известны направления двух сил, которые мы ищем: первое, отвечающее за давление на наклонную плоскость, проходит через точку контакта с ней, а второе — скатывающее шарик — параллельно наклону плоскости. Теперь из конца силы веса проводим две прямых параллельно двум силам, направления которых мы только что отметили, и эти прямые отсекут по длине от указанных направлений две величины, определяющие силу скатывания к давления на плоскость.
Проделаем теперь то же самое с планером, который, хотя и "скользит вниз" по тонкому воздуху вместо жесткой поверхности, однако, подчиняется тем же правилам. Вес планера действует в направлении прямо вниз. Разлагая его на две компоненты, одна из которых противоположна подъемной силе крыла, а вторая тянет вперед в направлении планирования, мы приходим к балансу всех сил.
(В случае, если вас интересует, откуда взялась энергия, заменяющая работу двигателя самолета, ответ прост: вы сами запасли ее, взбираясь или в
ъезжая на холм, а теперь используете ее, возвращаясь по воздуху к подножию холма).
(В хорошую погоду есть возможности и средства подняться гораздо выше, чем точка взлета, и оставаться там часами — одно их самых больших удовольствий этого спорта, но там вы используете силу входящих потоков воздуха. Это больше подходит под определение "парения", а не "глайдирования", и мы рассмотрим эти возможности позже в этой книжке).
Угол атаки
Мы видели, что, когда наше крыло или надутый купол параглайдера планирует вперед, поток воздуха создает разницу давлений под крылом и над ним, в результате чего появляется подъемная сила, поддерживающая нас, кроме того, создается меньшая сила сопротивления, которую необходимо преодолеть "тянущей" компонентой нашего веса.
В предыдущих иллюстрациях мы рисовали поток воздуха под крылом параллельно его плоскому днищу, как на рисунке выше.
Угол между этой плоской нижней поверхностью крыла и потоком воздуха, с которым оно встречается, называется УГЛОМ АТАКИ. (Это не совсем верно для всех профилей, но мы примем, что это так для того, чтобы упростить наши иллюстрации). Когда нижняя поверхность крыла параллельна потоку воздуха, угла атаки нет, т. е. он равен нулю. (Пожалуйста, отметьте, что крыло при этом уже создает подъемную силу за счет кривизны своей поверхности).
Теперь посмотрим, что произойдет, если мы постепенно будем увеличивать угол атаки, наклоняя крыло вверх и заставляя поток воздуха ударяться не только в переднюю кромку, но и отчасти снизу.
Р
азумеется, при той же скорости воздуха подъемная сила (а также сопротивление воздуха) возрастут. Это происходит из-за того, что воздух, идущий поверх крыла, теперь должен пройти больший путь до воссоединения с потоком под крылом, и падение давления (всасывание вверх) на вершине крыла больше. Что еще важнее, поток воздуха снизу крыла оказывает давление на его нижнюю наклонную поверхность, увеличивая общее давление и выталкивая крыло вверх еще больше.
Это чудесно. Используя наши возможности управления, мы наклоняем крыло до угла атаки в пять градусов, и наша подъемная сила увеличивается. Десять градусов — и она еще больше. Пятнадцать градусов — и мы получаем ужасающую подъемную силу от нашего крыла. Двадцать градусов и ...
Вся подъемная сила пропала и мы резко ныряем вниз!
Что случилось?
Это называется ПОТЕРЯ СКОРОСТИ. Пока мы наклоняли наш профиль все к большим углам атаки, воздух должен был проходить через вершину крыла все больший и больший путь, и путь этот должен был становиться все более кривым. В какой-то точке, обычно между 15 и 20 градусов, воздух уже не в состоянии двигаться так, он разбивается на турбулентные вихри — это явление называется турбуленцией — и прекращает обеспечивать подъемную силу, оставляя нас наедине с силой сопротивления воздуха. На практике, если потеря скорости происходит на большой высоте, вы вновь набираете ее в результате погружения и возвращаетесь опять к нормальному полету, потеряв часть высоты и испытав учащенное сердцебиение. Но на более низких высотах вы можете нырнуть в землю прежде, чем наберется подъемная сила. Потеря скорости — это одна из первых вещей, которых вас научат избегать на курсах параглайдинга.
Чтобы осознать все эти изменения подъемной силы, введем в рассмотрение еще одно уравнение и один график. Уравнение (которое выглядит аналогичным уравнению для силы сопротивления, записанному несколькими страницами раньше) описывает ПОДЪЕМНУЮ СИЛУ для данного крыла:
ПОДЪЕМНАЯ СИЛА = 1/2 х р х cl х А х V2
Мы уже встречали р (плотность воздуха) и V (квадрат нашей скорости). "А" — это площадь или поверхность нашего парашюта (обычно между 20 и 30 м ). Новое обозначение здесь — это cl — КОЭФФИЦИЕНТ ПОДЪЕМНОЙ СИЛЫ. Он зависит всегда от конкретной формы вашего профиля, но, кроме того, как мы только что видели, от угла атаки. Если мы нарисуем график, где на горизонтальной оси показаны различные углы атаки, а на вертикальной — коэффициент подъемной силы, то получим примерно следующий вид кривой:
При нулевом угле атаки на вертикальной оси мы видим, что уже существует некоторая подъемная сила. (Кривая начинается со значения около 0,2). На 5 градусах мы получаем по кривой коэффициент подъема 0,4. Подъемная сила крыла удвоилась! При 10 градусах коэффициент равен 0,6, а при 15 — чуть больше, но кривая выравнивается, мы не получаем большой подъемной силы. Где-то между 15 и 20 градусами она полностью падает; больше нет подъемной силы, и крыло падает.
Угол глайдирования
Наблюдая со стороны за глайдирующим парашютом, вы замечаете, что его купол имеет отрицательный угол по отношению к горизонту, т. е. передняя кромка находится ниже задней. Не обращайте на это внимания. Мы интересуемся только двумя "невидными" ушами. Направлением нашего пути глайдирования, которое также задает направление воздушного потока, и углом атаки нашего крыла относительно этого направления:
В спокойном воздухе (о ветре мы расскажем позже) глайдирующий парашют покрывает расстояние в несколько раз больше, чем высота, с которой он стартовал. Это отношение (расстояние, деленное на высоту), называемое отношением глайдирования, может меняться от умеренного 3:1 для простого (но стабильного и безопасного) учебного парашюта до 6:1 для парашюта высокого качества.
Международно-правовые аспекты проблемы экологии космоса
Основополагающим документом, имеющим отношение к проблеме сохранения устойчивого экологического состояния космической среды, является Договор по космосу (1967 г.). Статья 1 этого Договора предусматривает осуществление космической деятельности таким образом, чтобы не затруднить и не нарушить права других стран на мирное освоение космоса. В статье 4 Договора подчеркивается, что государства несут международную ответственность за национальную деятельность в космическом пространстве (в том числе и грозящую негативными экологически-ми последствиями), независимо от того, осуществляется ли она правительственными или неправительственными юридическими лицами или организациями. Статья 7 предусматривает, что участники Договора, осуществляющие или организующие запуск объекта в космос, а также государство, с территории или установок которого производится запуск космического объекта, несут международную ответственность за ущерб, причиненный такими объектами или их частями на Земле, в воздушном или космическом пространстве. Согласно статье 9 Договора его участник обязан провести международные консультации, если его деятельность или запланированный эксперимент создают потенциально вредные помехи деятельности других государств в деле мирного освоения космоса (при этом отсутствуют четкие критерии, относящие помехи к категории “вредных”, а также механизм проведения и не определена форма консультаций). И наконец, та же 9-я статья Договора призывает государства информировать Генерального секретаря ООН, общественность и международное научное сообщество в максимально возможной и практически осуществимой степени о характере, ходе, местах и результатах своей космической деятельности, в том числе и сопряженной с загрязнением Земли и космоса.
Особое место в международно-правовом регулировании вопросов экологии космоса принадлежит “Конвенции об ответственности за ущерб, причиненный космическими объектами” (1972 г.). Конвенция налагает на государство, осуществляющее запуск, абсолютную ответственность за ущерб, нанесенный космическими объектами на поверхности Земли и воздушному судну в полете (ст. 2). В случае если причиняется ущерб космическому объекту одного государства космическим объектом другого государства, послед нее несет ответственность только тогда, когда ущерб причинен по вине или его,или лиц,за которых оно отвечает. Определяя термин “космический объект”, как включающий составные части “космического объекта”, а также средства его доставки (ракеты-носители) и его части (ступени и его отдельные узлы), не обязательно функционирующие, конвенция сохраняет потенциальную ответственность запускающего государства за загрязнение космоса.
Установление ответственности за ущерб, наносимый космическим объектом космической окружающей среде весьма проблематично. Здесь важно учитывать, что ответственность возникает лишь в результате ущерба. Этот термин определяется в статье 1 Конвенции как “лишение жизни, телесное повреждение или иное повреждение здоровья; уничтожение или повреждение имущества государств либо физических и юридических лиц или имущества международных межправительственных организаций”. Несмотря на довольно значительный перечень возможных ситуаций, очевидно, что все они относятся к физическому ущербу и не распространяются на космическую среду. “Соглашение о спасении космонавтов и возвращении объектов, запущенных в космическое пространство” (1968 г.) также содержит ряд положений, имеющих косвенное отношение к экологии космоса. По этому Соглашению сторона,обнаружившая,что космический объект или его часть приземлился на ее территории, обязана уведомить об этом как страну, запустившую объект в космос, так и ООН. Если у страны,обнаружившей этот объект,есть причины полагать, что сам объект или его часть представляет какую-то угрозу или вред,то эта страна может уведомить об этом государство, запустившее объект, которое, в свою очередь, обязано предпринять немедленные эффективные шаги (под руководством и контролем страны,обнаружившей объект) для устранения угрозы или вреда.
“Конвенция о регистрации космических объектов, запускаемых в космическое пространство” (1975 г.) также имеет некоторое отношение к правовому регулированию вопросов экологии космоса, поскольку обязывает государство сохранять юрисдикцию и контроль над своим космическим объектом на всех стадиях полета. Особым документом, хотя и декларативно, но прямо запрещающим загрязнение космоса и имеющим прямое отношение к рассматриваемому вопросу, является “Конвенция о запрещении военного или иного враждебного использования средств воздействия на природную среду” (1977 г.). Согласно ее требованиям государства-участники обязались не прибегать к военному или любому иному враждебному использованию средств воздействия на природную (в том числе космическую) среду, применение которых вызывает широкие,долгосрочные или серьезные последствия, путем преднамеренного изменения ее динамики,состава или структуры. Однако ввиду универсального характера Конвенции ее вклад в решение проблемы экологии космоса носит весьма общий и, скорее, декларативный характер. Каких-либо конкретных положений, затрагивающих проблемы засорения космоса техногенными космическими телами, и механизма принятия практических мер Конвенция не содержит.
При этом существует очевидное и доступное общественному пониманию решение проблемы экологии космоса - сокращение масштабов космической деятельности (ее регулирование в плане совершенствования ракетно-космической техники в экологическом отношении,т.е. уменьшение числа оставляемых в космосе неуправляемых объектов, спуск в атмосферу Земли отработавших свой ресурс КА, принудительная очистка орбит), однако до сих пор никто достоверно не оценил ни результативности таких мер, ни их пригодности по критерию “затраты - эффективность”. Поэтому перспективы совершенствования международно-правового режима в направлении решения экологической проблемы в космической среде весьма расплывчаты. Начиная с конца 1980-х гг. вопрос о засорении космоса затрагивался Научно-техническим и Юридическим подкомитетами Комитета ООН по использованию космического пространства в мирных целях, куда в 1988 г. был представлен разработанный КОСПАР и МАФ доклад о положении дел с “космическим мусором”. В 1989 - 1991 гг. рядом государств (ФРГ,Нидерландами и др.) в Комитет представлялись рабочие документы по вопросам столкновений спутников и пилотируемых платформ с другими космическими объектами и по проблеме экологии космоса в це-лом.
В декабре 1990 г. Генеральная Ассамблея ООН в своей резолюции № 45/72 впервые отметила, что вопрос о “космическом мусоре” вызывает обеспокоенность у всех государству в этой связи высказалась за то, что мировому сообществу необходимо уделять больше внимания вопросу оценки опасности столкновений с космическим мусором и другим аспектам этой проблемы, а также призвала продолжить национальные исследования в этом направлении. К экологическим проблемам современной космонавтики относится проблема обеспечения безопасности использования ядерных источников энергии (ЯИЭ) на борту космических объектов,которая возникает в случае их проникновения в атмосферу или падения на поверхность Земли. Что касается опасности радиоактивного загрязнения небесных тел в результате нахождения на них таких объектов, то при современном уровне развития техники едва ли возможно выходить за рамки уже не раз упоминавшегося выше Договора по космосу (1967 г.).
Предотвращение загрязнения космоса радиоактивными материалами искусственного происхождения регламентируется тремя международными соглашениями:
-
“Договором об ограничении испытаний ядерного оружия в атмосфере, космическом пространстве и под водой” (1963 г.), запрещающим взрывы ядерного оружия или другие ядерные взрывы в космическом пространстве и в атмосфере Земли;
-
“Конвенцией об оперативном оповещении о ядерной аварии” (1986 г.), предусматривающей обязанности сторон по оповещению государств о возможной угрозе от инцидента с реактором или от применения радиоизотопов в космосе;
-
“Конвенцией о помощи в случае ядерной аварии или радиационной аварийной ситуации” (1986 г.),устанавливающей рамки, в пределах которых одна сторона может оказать помощь другой в случае ядерного инцидента или радиологической опасности, связанной с появлением радиоактивных космических обломков.
Генеральная Ассамблея ООН 14 декабря 1992 г. одобрила и приняла “Принципы,касающиеся использования ядерных источников энергии в космическом пространстве”. В специальной резолюции подчеркивалась применимость международного права к деятельности, связанной с использованием ядерных источников энергии. Этот документ предусматривает обязательство государств, запускающих космические объекты с ядерными источниками энергии на борту, прилагать усилия для защиты отдельных лиц, населения и биосферы от радиологических опасностей. Конструкция и использование космических объектов с ядерными источниками энергии на борту с высокой степенью уверенности должны обеспечивать такую безопасность,чтобы при предвидимых нормальных или аварийных обстоятельствах степень опасности была ниже приемлемых уровней. Руководящим принципом безопасного использования ЯИЭ названо сведение к минимуму количества радиоактивного материала в космосе.
В ходе нормальной эксплуатации космических объектов с ядерными источниками энергии на борту должно соблюдаться рекомендованное международной Комиссией по радиологической защите требование обеспечения надлежащей защиты населения. Особо оговорены случаи аварии с космическими объектами, имеющими ЯИЭ в составе своей конструкции.
В принятых Принципах формулируется ряд требований к космической технике, несущей на борту ядерный материал, а именно требования:
-
к системам безопасности устройств с ядерными источниками энергии;
-
к ядерным реакторам и радиоизотопным генераторам, которые используются в качестве ЯИЭ на космических объектах;
-
по безопасности применения ЯИЭ.
Особое место в “Принципах, касающихся использования ядерных источников энергии в космическом пространстве” отводится принципу уведомления о возвращении. Проведенный анализ договоров, соглашений и принципов деятельности, имеющих отношение к проблеме космической экологии, свидетельствует о том,что эти документы создают достаточно хорошую основу будущего международного режима для решения задач защиты космической среды.
Авиационная промышленность Украины держится на плаву благодаря поставкам ракет "воздух-воздух" на экспорт
Министерство промышленной политики Украины предлагает при внесении изменений и дополнений в госбюджет на 2008 год из средств в размере 590 млн. грн., предусмотренных на выполнение мероприятий Государственной комплексной программы развития авиационной промышленности Украины до 2010 года, направить 90 млн. грн. ($18 млн.) на достройку самолетов высокой степени готовности. Об этом корреспонденту ИА REGNUM в Киеве сообщили в пресс-службе Минпромполитики сегодня, 25 февраля.
Согласно предоставленной информации, такое предложение относительно изменений и дополнений в госбюджет-2008 прозвучало на заседании коллегии Минпромполитики, где обсуждалось состояние выполнения Государственной комплексной программы развития авиационной промышленности Украины до 2010 года и мероприятия по обеспечению серийного производства самолетов Ан-148, а также относительно функционирования отраслевой науки и путей повышения эффективности научно-технического сектора промышленности Украины. На заседании также отмечалось, что в течение 2007 года авиационная промышленность произвела товаров и предоставила услуг на сумму 4,2 млрд. грн., что по сравнению с 2006 годом составляет 112%. В значительной степени такой показатель обусловлен поставками авиационного вооружения ракеты "воздух-воздух" на экспортВ 2008 году на развитие авиационной промышленности Украины в госбюджете предусмотрено выделить 765 млн гривен. ($150 млн). Эти объемы в 3,3 раза превышают государственное финансирование этой отрасли в 2007 году. Об этом 6 октября корреспондент ИА REGNUM в Киеве сообщили в пресс-службе кабинета министров Украины.Правительство Виктора Януковича предполагало направить эти деньги на создание и подготовку к серийному производству самолета Ан-148 и авиадвигателей Д-436-148, АІ-450МС.Кроме этого, проектом госбюджета на 2008 год предусмотрено предоставление правительством государственных гарантий предприятиям для закупки самолетов отечественного производства на сумму 1 млрд гривен ($200 млн).Кроме авиации, проект бюджет Украины в 2008 году предусматривает выделение 444,5 млн гривен ($88 млн) государственных денег на развитие ракетно-космической отрасли и 240 млн гривен. ($47 млн) на создание технологии утилизации твердого ракетного топлива.















