EnTrope (732445), страница 5
Текст из файла (страница 5)
H = Н(А) + Н(В) - Н(А,В) (3.2)
Согласно негэнтропийному принципу информации (3.4) получаем :
IS =Н(А) +Н(В) - Н(А,В) (3.3)
Распространяя рассмотренные Шенноном взаимодействия абстрактных математических множеств на случаи взаимодействий реальных физических систем, можно сделать следующие выводы :
1. Соотношения ( 3.1 ), (3.2) и (3.3 ) можно распространить на случаи взаимодействий упорядоченных физических систем, в частности на взаимодействия физических сред с различными видами полей.
При этом необходимо осуществлять переход от информационной энтропии Н к термодинамическай энтропии S , используя соотношение (1.4) Приложений 1.
2. Знак равенства в соотношении (3.1) соответствует случаю отсутствия взаимодействия между рассматриваемыми физическими системами (например, случай воздействия магнитного поля на не обладающую магнитными свойствами среду).
3. Во всех остальных случаях в соответствии с соотношением (3.3) происходит накопление структурной информации IS, характеризующей увеличение упорядоченности структуры вновь образующейся системы (формирование и ориентация магнитных доменов под воздействием магнитного поля, структуализация под воздействием электрического поля поляризуемых сред и т.п.).
С помощью вероятностной функции энтропии можно описать формальным математическим языком процесс адапации системы к внешним воздействиям, понимая процесс адаптации как обучение оптимальному поведению в заданных условиях внешней среды.
Рассмотрим систему, обладающую возможностью выбора одного из N возможных ответов (реакций) на внешние воздействия. До прохождения обучения система способна отвечать на любые воздействия лишь выбранной наугад реакцией i, причем i может принимать любые значения от i = 1 до i = N, т.е.:
i=1,2,3,.. . N , (3.4)
При этом условии вероятности всех ответов равны друг другу, т.е.:
Р1= Р2 = … =PН=1/N (3.5)
Как было показано ранее, при этом условии реальная энтропия Нr равна максимальной энтропии Hmax, т.е.:
| Hr = - | i = N | pi log pi = log N = Hmax | (3.6) |
| | |||
| i = 1 |
В результате обучения возникают различия вероятностей разных реакций.
В соответствии с рассмотренными ранее свойствами функции
| pi log pi | |
| i | |
реальная энтропия Hr уменьшается на величину
| IS = Hmax – Hr | (3.7) |
С точки зрения теории вероятностей начальный алфавит с заданным числом букв представляет собой полную группу событий.
Для полной группы событий при любом распределении вероятностей сумма их всегда равна 1 , согласно известному из теории вероятности условию нормировки:
| i = N | pi = 1 | (3.6) |
| | ||
| i = 1 |
Смысл условия нормировки заключается в том, что сумма вероятностей выпадения всех 6-ти граней игральной кости равна вероятности выпадения любой грани, т.е. :
Р1 + Р2 + … Р6 = 1/6 + 1/6 + … + 1/6 = 1
6 раз
В рассматриваемом нами процессе обучения, приводящем к дифференцировке значений вероятностей реакций Pi , составляющих полную группу N, условие (3.8) свидетельствует о том, что увеличение вероятностей каких -то реакций может происходить только за счет уменьшения всех остальных вероятностей (чтобы сумма была по-прежнему равна 1, см. рис. 1, случай б).
В предельном случае одна из N вероятностей может возрасти до 1, тогда все остальные вероятности станут равны 0 (рис. 1).
В случае текста предельному случаю дифференцировки соответствует вероятность одной буквы (например, «е»), равная 1. Вероятности всех остальных букв при этом равна нулю. Это значит, что текст вырождается в повторение одной буквы
е е е е е ...
Этот случай соответствует жесткой детерминации (незатухающий строго периодический процесс).
Соответствующее жесткой детерминации распределение вероятностей, при котором некая вероятность Рк равна 1, а все остальные - равны 0, в общем виде запишется как
Рк=1 (3.9)
Р1 = Р2 = . . .= Рк-1 = Рк+1=. . .= 0 (3.10)
а)
Р1 Р2
Pn
б)
в)
Равномерное распределение вероятностей
Нr = Hmax
Дифференцировка вероятностей при соблюдении условия
i=N
pi = 1
i=1
Hmax > Hr > 0
Предельный случай дифференцировки вероятностей
Нr = 0
Рис. 1
При подстановке этих значений в функцию энтропии :
| Hr = | i = N | pi log pi | (3.11) |
| | |||
| i = 1 |
получаем :
Hr=0 (3.12)
Подставляя (3.9) в (3.4), получаем :
IS = Hmax (3.13)
В
Hr = Hmax
IS = 0
Hr = 0
IS = Hmax
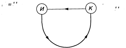
се стадии перехода от состояния максимальной энтропии, описываемого условиями (3.4), (3.5), (3.6), к состоянию жесткой детерминации, которому соответствуют условия ( 3.9 ) + (3.13) можно представить в виде дуги, соединяющей исходное состояние Н с конечным состоянием К (рис. 2).
Рис. 2
На рис.3 изображена расширяющаяяся иерархическая спираль, которая может служить моделью формирования иерархических упорядоченных структур.
Пусть нижний уровень этой спирали (п = 0) соответствует начальному алфавиту, состоящему из N0 различных элементов (букв, атомов, нуклеотидов и др.).
n = 0
n = 1
n = 2
n = 3
рис. 3
Тогда на уровне N = 1 из этого алфавита можно составить N1 «слов». Если каждое слово состоит из K1 букв, то из N0 букв можно составить число слов, равное:
N1 = N0K1 (3.14)
Соответственно, на уровне п = 2 из N1 «слов» можно составить количество «фраз», равное:
N2=N1K2=N0K1K2 (3.15)
где Кг - число входящих в каждую «фразу» «слов»
Для упрощения математических выражений мы уже приняли одно допущение, сказав, что все слова содержат одинаковое количество букв (К1), а все фразы содержат одинаковое количество слов (К2). Очевидно, что в реальных системах (например, в письменных текстах ) эти условия не соблюдаются. Однако для выполнения общих свойств нашей информационно -энтропийной модели подобные упрощения вполне допустимы, поэтому мы введем еще одно допущение:
K1 = К2 = К (3.16)
Подставив (3.16) в (3.15), мы получим :
N2=N0K2 (3.17)
Проводя аналогичные операции для любой (п-ой) ступени при условии:
K1 = K2 = … = Кп = К,
получим:
Nn = N0K2 (3.18)
Рассмотрим пример, иллюстрирующий увеличение разнообразия (числа различимых элементов) с переходом на более высокие уровни изображенной на рис . 3.3 спирали в соответствии с формулами (3.14) + (3.18).
Если алфавит (уровень п = 0) содержит 30 букв (N0 = 30), а каждое «слово» искусственного текста состоит из 6 букв (К = 6), то общее число таких «слов» составит:
N1 = N0K1 = 306 = 729 ·106
Среди указанного количества «слов» большинство составят бессмысленные или даже непроизносимые «слова» (из 6-ти гласных, 6-ти согласных и т.п.).
Но если хотя бы 0,01% от общего числа буквенных комбинаций составят осмысленные слова, общий лексикон составит 72 900 слов.
Еще более прогрессивно возрастает число комбинаций с переходами на более высокие уровни n = 2, п = 3 и т.д.
Для определения возрастания информационной емкости по мере перехода на более высокие уровни изображенной на информационно-энтропийной спирали напомним , что максимальное количество структурной информации A/s' накапливается при переходе от Нr′ = Нmax к Нr′′ = 0, т.е. равно:
IS = Нr′ – Нr′′ = Hmax
Величина максимальной энтропии для п - ой ступени определяется как:
Нпmax = log Nn = Кn log N0 (3.19)
Сопоставляя величину Нпгнх с величиной энтропии ступени n = О
H0max = log N0 (3.20)
убеждаемся, что в результате перехода с уровня n = 0 на уровень n , максимальная энтропия возросла в Кn раз :
Нпmax =Кn Н0max (3.21)
При переходе от исходного состояния Н в конечное состояние К энтропия уменьшается от Нr = Нmax до Нr = 0, а величина накапливаемой системой информации соответственно возрастает от I=0 до IS = Нmax (см. рис 1).
При переходе с уровня n = О на уровень n в соответствии с увеличением энтропии в Кn раз увеличивается значение ISmax то есть возрастает потенциальная емкость:
( ISmax)0 = Kn( ISmax)0 (3.22)















