147608 (730522), страница 2
Текст из файла (страница 2)
Таблица 1
Шахматная ведомость грузопотоков
| Куда | Ст. ж/д | Общ. завод. склад | Цех №1 | Цех №2 | Цех №3 | Склад отходов | Итого вывезли |
Ст. ж/д | - | 10 000 | - | - | - | - | 10 000 |
Общ. завод. склад | 7 500 | - | 2 000 | 8 000 | - | - | 17 500 |
| Цех №1 | - | - | - | 1 500 | - | 500 | 2 000 |
| Це№2 | - | - | - | - | 7 500 | 2 000 | 9 500 |
| Цех№3 | - | 7 500 | - | - | - | - | 7 500 |
| Склад отходов | - | - | - | - | - | - | - |
| Итого поступит | 7 500 | 17 500 | 2 000 | 9 500 | 7 500 | 2 500 | 46 500 |
Схемы маршрутов могут быть различными. Маятниковые маршруты устанавливаются между двумя пунктами. Они могут быть односторонними, когда транспортные средства двигаются в одну сторону с грузом, а в другую – без груза, и двухсторонними, когда грузы транспортируются в обоих направлениях, и веерными (одно- или двухсторонними), рис. 2.
Рис. 2. Схема маршрутов
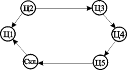
Кольцевые маршруты устанавливаются при обслуживании ряда пунктов, связанных последовательной передачей грузов от одного пункта к другому. Кольцевой маршрут может быть с равномерно нарастающим и уменьшающимся грузом (рис. 1.3.).
Рис. 3. Схема кольцевого маршрута
На основе схемы грузопотоков, объема перевозок по каждой группе грузов производится выбор транспортных средств и расчет их потребности.
Число транспортных средств, необходимых для внешних и межцеховых перевозок, может быть определено по одной из формул:
а) односторонний маятниковый маршрут движения:
, (1)
где Nj – количество изделий j-ого типоразмера (наименования), перевозимых в течение планового (расчетного) периода, шт.;
Qшт.j – вес единицы изделия j-ого типоразмера изделия, кг;
q – грузоподъемность единицы транспортного средства;
Кис – коэффициент использования грузоподъемности транспортного средства;
Fэ – эффективный фонд времени работы единицы транспортного средства, для односменного режима, ч;
Ксм – число рабочих смен в сутки;
L – расстояние между двумя пунктами маршрута, м;
Vср – средняя скорость движения транспортного средства, м/мин;
tз, tp – время на одну погрузочную и разгрузочную операцию за каждый рейс, мин;
j – номенклатура перевозимых изделий.
б) двухсторонний маятниковый маршрут движения:
. (2)
Для кольцевых перевозок:
а) с нарастающим грузопотоком:
. (3)
б) с затухающим грузопотоком:
. (4)
в) с равномерным грузопотоком:
, (5)
где Кпр – число погрузочно–разгрузочных пунктов;
L’ – длина всего кольцевого маршрута, м.
Количество груза перевозимого за одну смену определяется по формуле:
, (6)
где Др – число рабочих дней в году;
Ксм – число смен в сутки;
– годовой грузооборот на данном маршруте, кг, т.;
Кн – коэффициент неравномерности перевозок (принимается Кн = 0,85).
Время пробега транспортного средства по заданному маршруту определяется по формуле:
. (7)
Расчет времени, затрачиваемого транспортным средством при прохождении одного рейса:
или
. (8)
Расчет количества рейсов, совершаемых единицей транспортного средства за сутки, производится по формуле:
, (9)
где Кви – коэффициент использования фонда времени работы транспортного средства.
Производительность одного рейса определяется по формуле:
. (10)
Количество транспортных средств для внутрицеховых перевозок может быть определено по одной из приведенных формул.
Организация, планирование и диспетчирование работы транспортного хозяйства
Организация работы транспортного хозяйства предприятия определяется планом производственно-хозяйственной деятельности.
Планирование работы транспортного хозяйства разделяется на технико-экономическое и оперативно-календарное планирование и диспетчирование.
Технико-экономическое планирование заключается в разработке годового плана (транстехплана) с разбивкой по кварталам.
Транстехплан, как правило, включает:
а) производственную программу выпуска продукции заводом;
б) план по труду;
в) лимиты материально-технического обеспечения;
г) план по себестоимости транспортных работ;
д) план организационно-технических мероприятий; е) сводку технико-экономических показателей.
При разработке транстехплана определяются: грузооборот и объем погрузочно-разгрузочных работ, потребность в транспортных и погрузочно-разгрузочных средствах (шахматная ведомость, грузовые потоки и расчеты потребности в транспортных средствах); потребность в кадрах и фонды заработной платы; потребность в топливе (горючем) и смазочных материалах; объемы ремонтных работ и потребность в материалах и запасных частях; цеховые расходы (смета затрат).
Кроме того, составляется смета затрат по транспортному хозяйству и калькуляция себестоимости транспортных услуг. Себестоимость транспортных услуг определяется в виде двух показателей: себестоимости транспортировки 1 т груза и себестоимости погрузки и выгрузки 1 т груза.
Расчеты по транстехплану производятся на основании технически обоснованных норм работы транспортных средств, материальных затрат и других плановых нормативов. Услуги транспортного цеха, оказываемые другим цехам, рассчитываются по цеховой себестоимости. Работы, выполняемые транспортным цехом для своего хозяйства, оцениваются, исходя только из статей основных расходов, без включения цеховых и общехозяйственных расходов.
Оперативно-календарное планирование работы транспортного хозяйства состоит в составлении месячных программ и сменно-суточных заданий на перевозки и погрузочно-разгрузочные работы, а также в текущем регулировании работы транспортных средств. Месячная программа составляется на основании квартального плана и дополнительных месячных заявок на перевозки грузов, поступающих из цехов, складов, отделов (снабжения и сбыта) до начала планового месяца.
В зависимости от типа производства организация и сменносуточное планирование транспортных работ изменяются.
В крупносерийном и массовом производствах грузопотоки являются относительно устойчивыми согласно шахматной ведомости. Это позволяет организовать перевозку грузов по постоянным маршрутам, а работу транспортных средств – по постоянному графику (стандартный план межцеховых перевозок грузов).
В серийном производстве, грузопотоки менее устойчивые, чем в крупносерийном и массовом, поэтому перевозки грузов организуются как по постоянным, так и по разовым маршрутам. На разовые маршруты цехи, склады и отделы накануне плановых суток подают транспортному цеху заявки на перевозку грузов (в счет месячного плана), которые должны быть выполнены в течение следующего дня. На основе этих заявок диспетчер составляет сменно-суточное задание по перевозке грузов на следующий день, указывая в нем распределение транспортных средств по отдельным участкам работы и разовым маршрутам. На перевозки по постоянным маршрутам заявки не подаются, а транспортные средства работают по постоянному графику.
В единичном и мелкосерийном производстве при отсутствии устойчивых грузопотоков перевозки грузов осуществляются в основном по разовым маршрутам. Сменно-суточное задание составляется на основе поступивших в транспортный цех заявок из основных цехов завода, складов и отделов.
Работа внешнего транспорта планируется на основе сведений о поступлении и отправке грузов, присылаемых отделами снабжения и сбыта.
Диспетчирование транспортной работы заключается в составлении, оперативном регулировании и контроле выполнения графиков и сменно-суточных заданий по перевозке грузов. В своей работе транспортный диспетчер тесно связан с диспетчерской службой завода и диспетчерами цехов. Техническими средствами диспетчера транспортного хозяйства являются диспетчерские табло, схемы, графики, радио- и телефонная связь, сигнализация и др. средства.
Оперативное регулирование (диспетчирование) сводится к наблюдению за выходом на линию, определенного графиком и сменно-суточными заданиями, количества транспортных средств, к контролю за выполнением суточного плана перевозок, к ликвидации аварий, замене транспорта в случае поломок.
Оперативный учет по работе транспортного хозяйства осуществляется в суточном и месячном разрезах: суточный рапорт о работе транспортного цеха и месячный отчет о производственной и хозяйственной деятельности транспортного хозяйства в целом.
В сводку технико-экономических показателей включаются:
1. Коэффициент использования парка транспортных средств по времени (число часов фактической работы парка, деленное на фонд рабочего времени парка).
2. Коэффициент использования пробега (пройденное расстояние с грузом в км, деленное на полный пробег с грузом и порожняком).
3. Коэффициент использования тоннажа (фактическое количество перевезенного груза в тоннах, деленное на номиналь – амортизация оборудованияную грузоподъемность, умноженную на число ездок.
4. Стоимость 1 машино-часа:















