145904 (728923), страница 6
Текст из файла (страница 6)
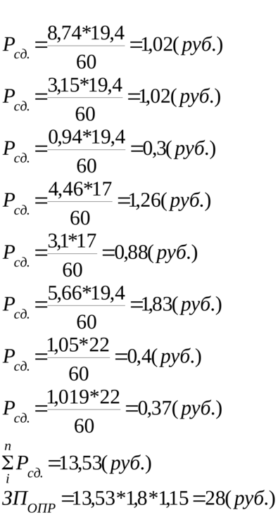
Среднемесячная заработная плата ОПР составит:
Для оплаты труда ВПР принимаем повременно – премиальную форму оплаты труда.
| Разряд | 1 | 2 | 3 | 4 | 5 | 6 |
| Тарифная ставка | 5,08 | 6,08 | 7,08 | 8,07 | 9,22 | 10,40 |
5.4. Расчет стоимости основных материалов.
-
Марка материла: Сталь 40ХН.
-
Цена материла заготовки: 12 руб./кг.
-
Масса заготовки на программу:
-
Стоимость материала на программу:
-
Расходы транспортно – заготовительные.
Принимаем: Рт-з = 7% от стоимости материала.
Отходы.
-
Масса отходов на программу:
где:
- коэффициент потери отходов,
= 0,95.
-
Цена отходов: 1,2 руб./кг.
-
Стоимость отходов на программу:
6. Стоимость материалов на программу за вычетом отходов и с учетом транспортно – заготовительных расходов:
| Затраты на материалы за вычетом отходов и с учетом Рт-з | 51916,68 | |
| Транспортно – заготовительныерасходы, руб. | 3507,84 | |
| О | Стоимость отходов на программу, | 1703,16 |
| Цена отходов, руб./кг | 1,2 | |
| Масса отходов на программу, кг. | 946,2 | |
| Масса отходов на деталь, кг. | 0,83 | |
| Стоимость материла на программу, руб. | 50112 | |
| Цена материла Руб./кг. | 12 | |
| Масса материала на программу кг | 2784 | |
| Масса заготовки, кг. | 2,32 | |
| Наименование материла | Сталь 40ХН | |
| № п/п | 1. | |
5.5. Расчет цеховых накладных расходов по степеням затрат. Определение накладных расходов.
-
Затраты на силовую электроэнергию:
где:
- стоимость 1 кВт/ч. электроэнергии,
= 1,34 (руб.),
- годовой расход электроэнергии,
где:
- установочная мощность всех станков,
= 155,7 кВт.
- эффективный годовой фонд производственного времени оборудования,
= 3984 часа.
- средний коэффициент загрузки оборудования,
= 0,86.
- коэффициент одновременной работы оборудования,
= 0,6.
- коэффициент потерь в электрической сети,
= 0,95.
- КПД электродвигателя,
= 0,85.
-
Затраты на сжатый воздух.
где:
- стоимость одного кубического метра сжатого воздуха,
- годовой расход сжатого воздуха.
-
Затраты на воду для производственных нужд.
где:
- стоимость 1
водопроводной воды на станок,
= 6,28 (руб.)
- годовой расход воды на один станок,
= 25 (
)
- число смен работы оборудования.
-
Амортизация оборудования применяется в долях стоимости основных фондов для металлорежущих станков, работающих абразивным инструментом 12 %, не абразивным инструментом 12,2 %.
-
Затраты на текущий ремонт и обслуживание оборудования применяют в размере 7 % от их первоначальной стоимости.
-
Затраты на износ малоценного инструмента и инвентаря 1000 руб. на один станок.
19*1000 = 19000 (руб.)
-
затраты на вспомогательные материалы определяем ориентировочно по укрупненному нормативу в размере 500 рублей на один станок.
19*500 = 9500 (руб.)
-
Затраты на основную и дополнительную заработную плату ОПР, ВПР с отчислениями на социальное страхование – 38,5 %.
-
Затраты на охрану труда и обеспечение техники безопасности составляют 500 рублей в год на рабочего.
ОПР = 35 чел.
ВПР = 6 чел.
(35+6)*500 = 20500 (руб.)
-
Прочие расходы (отопление, освещение, хозяйственные нужды) составляют 5 % от суммы затрат по всем статьям.
5.6. Составление сметы затрат на участок.
Таблица № 14
| № п/п | Наименование статьи расходов | Сумма руб. |
| 1. 2. 3. 4. 5. 6. 7. 8. 9. 10. | 1. Расходы на содержание и эксплуатацию оборудования: Затраты на силовую электроэнергию. Затраты на сжатый воздух. Затраты на воду для производственных нужд. Амортизация оборудования, транспортных средств и дорогостоящей оснастки. Затраты на текущий ремонт и обслуживание оборудования. Затраты на износ и содержание малоценного инструмента и инвентаря. Затраты на вспомогательные материалы. 2. Общецеховые расходы: Основная и дополнительная зарплата ОПР и ВПР с отчислениями на социальное страхование. Затраты на охрану труда. Прочие расходы. | 531153,33 12334,46 4428,66 1232110 713328 19000 9500 4284185,19 20500 142693,95 |
| Итого по смете: | 341326,98 |
5.7. Определение себестоимости одного изделия.
1. Затраты на основные материалы.
2. Основная заработная плата ОПР на деталь.
3. Дополнительная заработная плата ОПР на деталь составляет 20 % от основной заработной платы.
4. Отчисления на социальные страхования составляют 38,5 %от суммы основной и дополнительной заработной платы.
4. Цеховые накладные расходы, принимаем 500 % основной заработной платы ОПР.
5. Определяем цеховую себестоимость единицы продукции.
Калькуляция цеховой себестоимости на деталь.
Таблица №15
| № п/п | Наименование статей затрат | Сумма руб. |
| 1. 2. 3. 4. 5. | 1. Прямые затраты: Затраты на материалы. Основная заработная плата ОПР на деталь. Дополнительная заработная плата ОПР на деталь. Отчисления на социальное страхование. 2. Косвенные затраты: Цеховые накладные расходы. | 43,26 28 5,6 12,36 140 |
| Цеховая себестоимость единицы продукции. | 229,22 |
5.8. Технико-экономические показатели.
Таблица №16
| №п/п | Наименование показателей | Ед. изм. | Показатель. |
| 1. | Годовая программа приведенная | шт. | 60000 |
| 2. | Годовая программа выпуска продукции заданного наименования | Шт. | 1200 |
| 3. | Масса заготовки. | Кг. | 2,32 |
| 4. | Масса детали. | Кг. | 1,49 |
| 5. | Коэффициент использования металла. | _ | 0,64 |
| 6. | Трудоемкость механической обработки. | Мин. | 69,6 |
| 7. | Количество установленного оборудования на участке. | Ед. об. | 18 |
| 8. | Средний коэффициент загрузки. | _ | 0,86 |
| 9. | Численность рабочих на участке в том числе: ОПР ВПР Руководящих работников и специалистов Служащих | Чел. Чел. Чел. Чел. | 35 6 5 1 |
| 10. | Производительность 1 ОПР. | Шт. | 1714 |
| 11. | Средняя заработная плата 1 ОПР. | Руб. | 6959,57 |
| 12. | Себестоимость единицы продукции. | Руб. | 229,22 |
6. Организационная часть.
6.1 Планировка оборудования и рабочих мест на проектированном участке.
тходы.














