135741 (722582), страница 6
Текст из файла (страница 6)
Uб0 = Uбэ + Uэ0 = Uбэ + Iк · Rэ(21)
При использовании в усилителе кремниевых транзисторов, значения напряжений база – эмиттер можно принять равным:
Uбэ = 0,6В, тогда
По номиналам: R18 = 10(кОм)
R19 = 1,1(кОм)
Нелинейные искажения усилителя определяется выходным каскадом, ко входу которого приложено наибольшее напряжение сигнала, точнее нелинейностью характеристик транзистора этого каскада:
R21 = Rвых = 50(Ом)
-
Расчет предварительного усилителя (ПУ).
ПУ усиливает электрический сигнал, обеспечивая наибольшее отношение сигнал/шум. Основные требования, предъявляемые к ПУ – минимальные шумы, максимальный частотный и динамический диапазоны. Как уже рассматривалось ранее, для удовлетворения этих требований входной каскад выполнен по схеме эмиттерного повторителя, который обладает этими свойствами.
Второй и третий каскады для обеспечения заданного частотного и динамического диапазонов выполняются по каскодной схеме. Весь ПУ охвачен общей ООС, что позволяет увеличить частотный и динамический диапазоны без ухудшения чувствительности.
Проведем расчет каскадов усиления по постоянному току. Расчет К – цепи по постоянному току включает выбор режимов транзисторов микросборки и входного каскада, а также расчет сопротивлений резисторов, обеспечивающих выбранные режимы и их стабильность, при этом мощности потребляемые от источника питания и сигнала должны быть минимальными.
Как уже было оговорено, входным выбирается маломощный транзистор СВЧ диапазона с fm > (4÷5)ГГц. Например: 2Т 3114 В-В.
Он, а также транзисторы, входящие в состав СВЧ микросборки
М45121-2 имеют следующие основные параметры:
Рк доп = 100 мВт
Iк доп = 20 мА
Uк доп = 15 В
τк = 1,5 нс
fг = 5 ГГц
h21 = 40 – 330
Ск = 0,6 пФ
Из ранее рассмотренных соображений относительно широкополосности и собственных шумов ФПУ ток коллектора I каскада равен 2 мА. Ко II и III каскадам менее жестки шумовые требования и с целью улучшения частотных свойств, ток коллектора выбран в пределах 5 мА. Для расчета шумов величина сопротивления нагрузки фотодиода по переменному току Rг в данной схеме рассчитывается как:
Rг = R2 || R4 || R1 = 1кОм
При Rг = 1кОм шумы Rг и тока базы транзистора соизмеримы, если Iб = 20мкА
[9]
При приравнивании:
получим:
при RГ = 1кОм
Iб = 20мкА
Находим и наносим на схему (рис.3.2) значение напряжения на всех узлах схемы относительно общего (заземленного) полюса источника питания. При этом следует учесть, что величина нагрузочных резисторов II – го и III – го каскадов (R7 и R15) должны быть не более 75Ом. Иначе ухудшатся частотные свойства усилителя. Исходя из этого, при коллекторных токах 5мА, на этих резисторах будет падение напряжения около 0,5В.
Коэффициент передачи цепи обратной связи по постоянному току вычисляется по следующей формуле:
, где
Rвх(VT4) – входное сопротивление каскада с ОК.
Rвх = h11+Rэ(1+h21)
Так как Rвх » R1 и им можно пренебречь, тогда
Напряжение на базе VT1:
Uб0,1 = Uк2 · В
Uб0,1 = 11,5 · 0,37 = 4,2(В), где
Uб0,1 = Uбэ,1 + Uбэ,3 + Uэ,3
При использовании в усилителе кремниевых транзисторов значения напряжения база – эмиттер можно принять равным (0,6÷0,7)В.
Выбираем: Uбэ,1 = 0,6 В
Uбэ1,3 = 0,7 В
Тогда Uэ,3 = 4,2-1,3 = 2,9(В)
Напряжение на эмиттере первого транзистора находим следующим образом:
Uэ,1 = τб0,1 - τбэ,1
Uэ,1 = 4,2-0,6 = 3,6(В)
Для широкополосного усилителя выбираем Uэ,2 = 4В
Следовательно:
Uэ3 = Uк,2 = Uкэ,2 - Uэ,3
Uкэ,3 = 11,5 - 4 - 2,9 = 4,6(В)
Напряжение на базе второго транзистора
Uб0,2 = Uк,3 + Uбэ,2 = (Uэ,3 + Uкэ,3) + Uбэ,2
Uб0,2 = (2,9 + 4,6) + 0,7 = 8,2(В)
Так как каскады II и III однотипны то постоянные напряжения транзисторов T4 и T5 соответствуют постоянным напряжениям транзисторов T2, T3 ИМС.
Зная все напряжения в схеме и токи каскадов сопротивление резисторов схемы:
по номиналу принимаем R9 = R16 = 510(Ом)
Для достаточной стабильности режима транзисторов Т2, Т4, Т5 ток, протекающий через делитель напряжения в цепи базы Iд берем равным 1мА.
Сопротивление делителя в цепи базы VT1 должны с одной стороны удовлетворять условию Rг = R2 || R4 || R1 = 1кОм, а с другой стороны, обеспечивать необходимое напряжение смещения (4,2В).
Величина R2, исходя из смещения на T3 и тока коллектора, VT1 выбрана 1,8 кОм, следовательно:
(R1||R4 = x)
x · 1,8 = x + 1,8;
0,8x = 1,8;
x = 2,25;
Решив систему уравнений, найдем необходимые величины резисторов R1 и R4:
Выберем: R1 = 3,6 кОм и R4 = 6,2 кОм
Сопротивления резисторов делителя напряжения в цепи базы Т2, Т6 рассчитываются по следующим формулам:
Эти резисторы выберем равными 7,5 (кОм)
Примем номиналы этих резисторов равными 3,9 кОм.
Для расчета базового делителя транзистора Т5 используется аналогичная методика. Ток делителя выберем равным 1мА, что соответствует номиналам резисторов:
Ближайшими к этим будут номиналы: 8,2(кОм) и 3,6(кОм), соответствующие резисторам R11 и R12.
Местную ОС в цепи эмиттера Т3 создает цепочка R10;C5, а также R17;C7 в III - ем каскаде ФПУ.
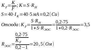
Необходимое значение ОС: F = 1 + S · Rэос
Коэффициент усиления усилителя без ОС (К) должен быть достаточным для обеспечения заданного значения К, при требуемой величине F:
По номиналу RЭОС(R10) = 22(Ом), тогда требуется глубина местной обратной связи равной:
F = 1 + 0,2 · 2,2 = 5,5
Цепь Г – образных RC фильтров в цепи питания используется из условия выполнения двух требований:
-
Минимальные потери напряжения источника питания;
-
Обеспечение устранения самовозбуждения из-за паразитной обратной связи между каскадами на сопротивлении питающих проводов и внутренним сопротивлением источника питания;
-
Расчет частотных характеристик цепи усилителя.
Определим граничную частоту усиления ФПУ. Коэффициент усиления К цепи, как функцию передачи информации линейной цепи, представить в операторной форме [9]:
где U2(p) – напряжение на выходе фотоприемного устройства
U1(p) – напряжение на нагрузке ФД т.е. на комплексном сопротивлении по переменному току, действующему между базой входного транзистора и общим проводом.
К(р) – общий коэффициент усиления всех каскадов ФПУ, кроме выходного.
Jф – фотопоток сигнала
Zвх,F – входное сопротивление ФПУ при действии общей ОС, охватывающей первых 2 каскада:
В нашем случае К(р) = К1(р) · К2(р) и К(р) = К1 · К2 = К2, так как
К1 = 1 и усиление этих каскадов можно считать в нашем частотном диапазоне постоянным.
Тогда при использовании формулы Блеймана, найдем Zвх,F:
[7]
Fкз = 1; Fxx = 1 + кβ(р) , где
В результате получим:
1+ B0 · K = F0 – глубина местной гальванической обратной связи.
В0 – коэффициент передачи по петле обратной связи.
Частота верхнего среза для входных каскадов ФПУ (первого и второго) при действии ООС равна:
Определим напряжение шумов на выходе ФПУ:
I = IRГ + Iб + Iд0 = 50мкА + 20мкА + 180мкА = 0,25мА
Чтобы пренебречь шумами измерительного приемника, которые в полосе частот 20 кГц составляет 0,5 мкВ, увеличим напряжение шумов на выходе ФПУ в 3 раза:
4.4. Оптимизация характеристик цепи ПУ
( при помощи программы моделирования электрических цепей Fastmean).
Программы моделирования электрических цепей (такие как OrCAD PSPICE, Micro-Cap, Electronics Workbench) во многих задачах обеспечивают удовлетворительный анализ переходного процесса. Однако в некоторых случаях расчет занимает очень много времени и точность может быть значительно ниже, чем необходимо, так как множество точек переходного процесса необходимо вычислить с помощью традиционной процедуры интегрирования.
В программе FASTMEAN используются новые решения матричных рекуррентных уравнений. Этот алгоритм совершенно отличается от обычно используемых в программах. Вместо отдельных точек функции переходного процесса вычисляются коэффициенты разложения в ряд Тейлора в матричной форме. Это позволяет найти значение функции для любого момента времени внутри заданного шага, который может быть больше (в сотни, тысячи раз и более), чем обычный шаг в широко используемых программах. В некоторых случаях, переходный процесс во всем временном интервале может быть рассчитан за один шаг.
Увеличение числа членов разложения в ряд Тейлора вместо увеличения числа маленьких шагов позволяет существенно уменьшить время расчета и, в то же время, увеличить его точность. Однако, максимальное число членов ряда Тейлора ограничено возможностями современного компьютера и составляет 70-80 членов. Вычисление большего числа членов может привести к большей ошибке, чем ожидается, или к совершенно неверному результату (при вычислении более 100 членов), но это происходит не по вине метода, а из-за ограниченности разрядной сетки компьютера и, следовательно, из-за ошибок округления.
Математические основы этих решений разработаны проф. Артымом А. Д. и проф. Филиным В. А. (Россия, г.Санкт-Петербург, Государственный Университет Телекоммуникаций им. проф. М. А. Бонч-Бруевича, кафедра Теории Электрических Цепей). Впоследствии, проф. Артым, проф. Филин и их коллеги разработали совершенно новую программу и применили ее для
решения серьезных практических задач. Данная версия FASTMEAN предназначена для привлечения внимания специалистов и научных коллективов ВУЗов, интересующихся проблемами анализа сложных переходных процессов в цепях (также с переключениями), которые трудно рассчитать с большой точностью и скоростью традиционными методами.
На панели инструментов есть 3 группы элементов: Основные, Источники и Активные. Выберите одну из них, и появится окно с доступными элементами. Выберите нужный нажатием на соответствующую кнопку и поместите его на схему щелчком левой кнопки мыши. После того, как вы закончили добавлять элемент, нажмите правую кнопку мыши или соответствующую кнопку в окне.
Вы можете легко изменить параметры элемента, дважды щелкнув на нем мышью и введя необходимые значения в окне диалога. Вы можете вращать и отображать элемент: выделите его и нажмите нужную кнопку на панели инструментов. Используйте команды Вырезать(Ctrl+X), Копировать(Ctrl+C), Вставить(Ctrl+V) для работы с буфером обмена. Когда Вы выделяете элементы и нажимаете Вырезать или Копировать, программа помещает их в буфер обмена, используя свой формат, и как точечный рисунок, так что Вы можете использовать изображение схемы в других приложениях.
Вы можете соединить элементы проводами с помощью мыши, перетаскивая указатель от одного вывода к другому. Чтобы соединить более двух проводов вместе, используйте Соединитель (группа Основных элементов). Можно подтащить провод от вывода к другому проводу - программа автоматически соединит их, добавив Соединитель.
Чтобы изменить масштаб, используйте команды: Увеличить масштаб(Ctrl++) и Уменьшить масштаб(Ctrl+-).
После того, как Вы создали схему, ее можно сохранить, используя команды меню Файл.
Группы элементов: Основные, Источники и Активные элементы (линейные модели).














