125784 (717658), страница 2
Текст из файла (страница 2)
Забруднення через витрату домішок, які відбиваються на зниженні лужності масла в результаті нейтралізації кислих продуктів, а також у витраті домішки на диспергирование вуглеводніх часток.
Утворення продуктів старіння в маслі гризе протікати в різних зонах двигуна, однак найбільше інтенсивно відбувається в зоні поршневих кілець, де масляна плівка піддається впливу високих температур, кисню повітря й продуктів згоряння палива.
У цій зоні масло піддається глибокому термічному деструктивному розпаду, що приводить до збільшення забруднення масла нерозчинними домішками. Їхнє нагромадження в маслі можна розглядати, в основному, як фізичний процес.
Основним джерелом утворення нерозчинних домішок є сажа, продукти зношування, пил та інші. До хімічних процесів старіння масла ставляться нейтралізація з'єднань кислотного характеру домішками (зниження лужності масла) до окислювання масла.
Швидкість цих процесів залежить від концентрації реагуючих речовин і змінюється в процесі роботи двигуна.
Найбільш важливим процесом є зниження лужності в Результаті нейтралізації кислих з'єднань (продуктів згоряння сірчистого палива), що визначає інтенсивність зношування й кількість нагаровідкладення у двигуні.
Сутність процесу нейтралізації полягає в тому, що окисли сірки в присутності води дають сірчисту й сірчану кислоту, а також взаємодіють із вуглеводнями: масла й продуктами їхнього окислювання, утворюються сульфонові кислоти.
Зміст у маслі сполучний хімічної взаємодії (окислювання, нейтралізації до ін.) залежить від вихідної концентрації продуктів реакції, наявності інгібіторів або нейтралізуючих домішок, від температури й тиску.
У підсумку процесу старіння відбувається зміна состава масла, тому що знижується зміст домішки, підвищується концентрація нерозчинних і розчинних продуктів окислювання й домішок (мал. 3).
Зміни складу масла при роботі двигуна
Рис.3
Зміна складу масла приводить до зміни показників його якості. Показники, що характеризують негативні властивості (такі, як зміст нерозчинних домішок, кислотність), у міру старіння масла збільшуються.
Показники, характеризуйте позитивні властивості масла, такі як лужність, що миє потенціал і ін., у міру старіння знижуються.
Деякі показники, наприклад, термоокислена стабільність, у процесі старіння масла практично не змінюються або змінюються дуже мало /9/.
Описані зміни состава масла показують лише якісну сторону процесу забруднення масла. Однак варто мати на увазі, що сума всіх видів забруднення масла становить лише невелику частину, а інша частина (не менш 85%) вуглеводнів виявляється незмінної у своєму составі. Саме ця обставина дозволяє порушувати питання про можливості ефективного очищення відпрацьованого масла й подальшого його використання по прямому призначенню.
Утворення в маслі продуктів його старіння значно впливає на зношування тертьових поверхонь деталей двигуна.
Відомо, що мікрозношування зовні проявляється як стирання. Воно може бути викликано різними причинами. Наявність незначного стирання найчастіше не перешкоджає експлуатації деталей, а в початковий період експлуатації навіть необхідний для приробляння деталей.
Мікрозношування варто розглядати як нормальний вид зношування, неминучий у тих випадках, коли не може бути забезпечене рідинне змащення. Мікрозношування проявляється у вигляді значних ушкоджень поверхонь тертя, при яких вони необратимо ушкоджуються й деталь виходить із ладу. Виключення становлять початкові стадії деяких видів мікрозношування, коли ушкодження незначні й не одержують подальшого розвитку.
Процеси тертя й зношування значно впливають на мікрозабруднення масла.
Дослідження Масленнікова М.М. і Раппопорта М.С. /10/ показали, що значна частина втрат потужності у двигуні відбувається внаслідок тертя ущільнювальних кілець об стінки циліндра. Процес забруднення масла так само найбільш інтенсивний у цій же зоні. Тертя в цьому вузлі відбувається в режимі граничного змащення. При терті в режимі граничного змащення рідинна плівка мастильного матеріалу не розділяє тертьові поверхні, а здатність мастильного матеріалу знижувати тертя й зношування, і перешкоджати заїданню трибосопряження визначається його здатністю утворювати на робочих поверхнях міцні граничні шари адсорбційного або хімічного походження, що володіють зниженим опором зрушенню в порівнянні з металом.
Тертя при граничному змащенні визначається також схильністю контактуючих матеріалів до схоплювання на ряді фактичних мікроконтактах по вершинах окремих мікронерівностей, на яких може бути зруйнований граничний шар змащення. У цих місцях монет виникнути сухе тертя окісних плівок або навіть ювенільних поверхонь.
Граничний шар утвориться в результаті взаємодії активних елементів масла з металом поверхні тертя. Активними компонентами масла є уведені в нього домішки, мікродомішки технологічного походження, продукти окислювання й т.д.
Розвиток методів і технічних засобів для регенерації відпрацьованих моторних масел
Моторні масла можна відновлювати хімічними, фізико-хімічними й фізичними методами, класифікація яких наведена на мал. 4
Рис. 4. Класифікація способів регенерації відпрацьованих масел
Хімічні методи засновані на взаємодії речовин, що забруднюють моторні масла й реагентів, що вводять у ці масла. У Результаті реакцій, що протікають, утворяться з'єднання, видаляють легко з масла. До хімічних методів очищення ставляться: кислотне очищення, лужне очищення, осушка за допомогою з'єднань кальцію, осушка й відновлення гідридами: металів. Застосування хімічних методів очищення й посвітління дозволяє видаляти з масел асфальтосмолисті, кислотні, деякі гетероорганічні з'єднання, а також воду. Ці методи знайшли широке застосування на промислових установках регенерації масел. Хімічне очищення масел вимагає складного технологічного встаткування, хімічних реагентів і тому для регенерації порівняно невеликих кількостей масла в умовах с.-г. підприємств ці методи не знаходять широкого застосування.
Фізико-хімічні методи засновані головним чином на використанні коагулянтів і адсорбентів. Застосування коагулянтів сприяє укрупненню й випаданню в осад асфальтосмолистих речовин, що перебувають у маслі в мілкодисперсному стані, близькому до колоїдного. Адсорбційні методи засновані на здатності деяких речовин вибірково поглинати органічні й неорганічні з'єднання, що перебувають у маслі. Цими методами з масла можна видаляти асфальтосмолисті й кислотні з'єднання, емульгированну й розчинену воду.
Основні з фізико-хімічних методів, застосовуваних на практиці, що випливають:
коагуляція (неорганічними й органічними електролітами, не електролітами, розчинами ВПАВШИ);
адсорбція (перкаляційні фільтрування, контактне очищення, очищення в шарі, що рухається, адсорбенту);
іонообмінна очищення (статична й динамічна);
розчинення домішок (деасфальтизація пропаном, депарафінизація, селективне очищення, водне промивання).
Ці методи, як і хімічні, скрутні для практичної реалізації регенерації масла в умовах сільськогосподарського виробництва.
До фізичних методів очищення масел ставляться фільтрування й силові поля високої напруженості. Ці методи дозволяють видаляти з масел тверді частки, мікрокраплі води й частково-смолисті й коксоутворюючі речовини. Основні типи встаткування, використовувані при очищенні масел у силовому полі, що випливають (мал. 5);
відцентрові (гідроциклони й центрифуга);
електричні (високочастотні й електростатичні);
магнітні (про електромагніт і з постійним магнітом);
вібраційні (механічні й ультразвукові);
комбіновані.
Відомо, що силові поля високої напруженості можуть бути досягнуті на відцентрових, ультразвукових і магнітних очисниках різної конструкції /14/.
У відцентрових очисниках тверді частки забруднень відділяються від масла під дією відцентрових сил. Залежно від швидкості обертання ротора центрифуги діляться на низькошвидкісні (5000-10000 про./мін.), високошвидкісні (10000-20000 про./мін.) і ультрацентрифуги (частота обертання більше 20000 про./мін.).
Найбільше поширення одержали центрифуга з гідрореактивним приводом, що діє за принципом сегнерова колеса, де обертання ротора викликається реактивним силам випливає із сопів масла. Ці центрифуги характеризуються високою частотою обертання, простотою в обслуговуванні.
Рис. 5. Класифікація способів і технічних засобів для очищення масла
При застосуванні механічного приводу досягаються більше високі швидкості обертання центрифуг, але конструкція їх складніше. Центрифуги із пневматичним і газовим приводом перебувають у стадії досліджень.
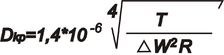
При відцентровому очищенні всі високодисперсні частки не можуть бути вилучені з масла. Тому Г.И.Бремер /15/ увів поняття так званої межі центрофуговання, що характеризується критичним розміром часток, нижче якого практично не відбувається осадження їх на стінках ротора.
Межа центрофуговання визначається по формулі
де R2 – універсальна газова постійна (R2 = 0,848 кгм/град. г. моль);
Т – абсолютна температура в оК;
N – число Авогадро (N=6,06*1023 1/2. моль);
n1 і n2 – максимальна й мінімальна концентрація в «придонному» шарі (за даними Г. И. Бремера
=13,8);
W – кутова швидкість обертання ротора центрифуги;
R – радіус обертання.
Після підстановки чисельних значень формула (1.2) прийме більше простий вид
Тонкість очищення для високошвидкісних центрифуг (для неорганічних часток) досягає I мкм. Тому при використанні високошвидкісних центрифуг у маслі залишаються органічні забруднення, що викликають утворення лаків і нагару у двигуні. Ультрацентрифуги виділяють практично всієї мікродомішки, однак складність у їхньому виготовленні обмежує їхнє застосування для масового очищення масла. Вони одержали поширення як лабораторні установки для дослідження забруднення масла.
Для очищення масел застосовуються також різні типи фільтрів. По способі поділу забруднюючих домішок вони діляться на поверхневі й глибинні /5/.
Класифікація фільтруючих елементів наведена на мал. 6
Рис. 6 Класифікація фільтруючих елементів
Поверхневі фільтри затримують частки дисперсної фази на поверхні фільтруючого елемента. Такі фільтри діють як сито, тобто затримують тільки ті частки, лінійні розміри яких більше розмірів граничних каналів фільтруючого елемента.
Для фільтрації масла застосовуються наступні типи фільтрів: сітчасті, щілинні, матер'яні, картонні, паперові.
Сітчасті фільтри, що представляють собою металеву сітку, застосовуються як фільтри попереднього очищення. Тонкість очищення становить 20-200 мкм. Недоліком цих фільтрів є невисока тонкість очищення.
















