123614 (717238), страница 2
Текст из файла (страница 2)
где go - масса влажной глины или изделия, кг; gi - масса абсолютно сухой глины или, изделия, кг.
Абсолютную влажность переводят в относительную по формулам
Нормальной влажностью глины, называют влажность, при которой глина легко мнется в руках, но не прилипает к пальцам. Для. этого необходимо, чтобы добавляемая вода впитывалась в глину и она равномерно набухала по всей массе. ·
Увлажнение водой.
Увлажнение может быть однократным или ступенчатым.
Однократное увлажнение глиняной м ассы при ее механической обработке осуществляют в смесителе, подавая распыленную воду. Время пребывания глиняной массы в смесителе составляет всего несколько минут, тогда как длительность набухания многих глин составляет от 0,5 до 4 ч, а для некоторых глин и более.
Поэтому однократное увлажнение в смесителе часто сводится лишь к поверхностному орошению отдельных кусочков глины, а не к полному поглощению глиной введенной воды. Влажностная неоднородность глиняной массы, выходящей из смесителя, возрастает.
Чтобы обеспечить равномерную, влажность массы по всему ее объему, увлажнение следует производить в начале технологической линии. В процессе обработки предварительно увлажненной глины непрерывно обнажаются новые поверхности глинистых частиц, взаимодействующие с водой, что ускоряет впитывание воды и набухание глины.
Смеситель устанавливают в начале технологической линии, одновременно производят увлажнение водой и паром. Вода должна быть направлена в первую половину смесителя (считая от загрузки), для того чтобы по всей его 'длине перемешивалась увлажненная масса.
При ступенчатом увлажнении добавляют некоторое количество воды в процессе переработки глиняной массы на бегунах и во втором смесителе, установленном непосредственно перед формующим агрегатом. Глину следует увлажнять горячей водой.
Паровое увлажнение.
Паровое увлажнение глиняной массы по сравнению с водяным существенно улучшает ее технологические свойства. Водяной пар частично конденсируется на поверхности кусков глины и одновременно проникает в их мельчайшие поры.
При паровом увлажнении достигается более равномерное, чем при увлажнении водой, распределение влаги в глиняной массе, улучшаются ее формовочные и сушильные свойства. Масса прогревается до 45-50C, что снижает вязкость содержащейся в ней воды и облегчает ее продвижение из центра сырца к периферии. Кроме того, в первый период сушки поверхность сырца несколько охлаждается, а центральная часть, остается более теплой. В силу этого используется свойство влаги ' перемещаться от мест более нагретых к более холодным. Таким образом, совпадение теплового потока и движения влаги способствует более быстрому продвижению ее от центра к поверхности кирпича.
По этой же причине уменьшаются усадочные напряжения присушке, так как снижается перепад влажности между наружной и внутренней частью сырца, не образуется „наружная пересушенная корочка.
Сырец поступает в сушилку уже теплый, не требующий предварительного прогрева.
Вследствие более равномерного увлажнения и набухания глины улучшаются ее пластические свойства, что повышает производительность прессов примерно на 10% и сокращает расход электроэнергии на 15-20%.
Пар требуемого давления получают с помощью парового котла.
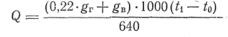
На 1000 шт. сырца расходуется 100-200 кг. пара, подсчитать расход пара, учитывая температуру карьерной глины и степень подогрева обрабатываемой массы, можно по формуле
где Q - теоретический расход пара на 1000 шт. сырца, кг; gT - масса сухой глины в одном сырце, кг;
- масса воды в одном сырце, кг;
- температура глины и воды до подогрева;
- температура глины и воды после прогрева паром; 0,22 - теплоемкость глины, кал/кг на Г; 640 - теплосодержание пара, кал/кг.
Учитывая потери тепла в окружающую среду, теоретический расход пара увеличивают на 20%
Ориентировочно можно принять, что расход пара, кг, на 100 шт. сырца
в зависимости от температуры, °С, глины равен:
Разувлажнение глины
Часто из карьеров глина поступает в переувлажненном состоянии. В этом случае глину д| обработки намашинах разувлажняют сухими добавками до такой степени, чтобы можно было ее подвергать паропрогреву и прессовать изделия с заданными температурой и влажностью.
Требуемое количество сухого разувлажнителя
на 1 т κарьерной глины (в пересчете на сухое вещество) можно определить по формуле
где
-абсолютная влажность формовочной массы, %;
-абсолютная влажность карьерной глины, %;
-абсолютная влаж ность сухой добавки,%;
- увеличение влажности массы при конденсации пара, %.
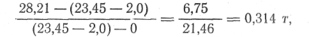
В качестве примера приводим расчет.
Принимая
при относительной формовочной влажности массы, равной 19%;
при относительной влажности карьерной глины 22%; ·
для дегидратированной глины;
, получим требуемый расход добавки на 1 τ глины:
или на 1 м3 глины
добавки, где 1,6 т - масса 1 мъ глины; 1,1 г - масса 1 л3 сухой добавки. Как видно из расчета, для разувлажнения глины и доведения ее до нормальной формовочной влажности требуется значительное количество сухих добавок.
Приготовление таких добавок, как например сухого глиняного порошка, не являющегося одновременно отощителем, усложняет технологический процесс.
Для глин с влажностью от 24-30% и более наиболее целесообразно подсушивать глину до формовочной влажности 18-20% в сушильных барабанах, описание которых приведено ниже, в главе IX,
При прохождении глины с начальной влажностью 30% через сушильный барабан влажность ее снижается до (%): при размере кусков 125 мм - 20,7; 70 мм - 16,9; 20-40 мм - 15,2 - 16,0; 10-20 мм - 13,1 - 14,2; 0-10 мм - 9,3-10,6.
Усредненная влажность глиняной массы после обработки ее на глинообрабатывающем оборудований составляет 18,5-19,0%, что обеспечивает возможность прессования кирпича на вакуумных прессах.
Внутри барабана устанавливают различные насадки-лопасти или ячейки, способствующие перемешиванию и перемещению материала вдоль барабана, а также интенсифицирующие теплообмен между газами и материалом.
Для подсушки переувлажненной глины до формовочной влажности внутри барабана укрепляют цепную, завесу с продольными полками для ворошения глины (рис.37).
Цепные завесы делают из 180 корабельных цепей в 3 ряда в шахматном порядке. Общая масса их составляет 5-6 т.
Для устранения деформации при высоких температурах и прилипания глины течку, по которой поступает влажный материал, устраивают с двойной стенкой и водяным охлаждением.
Использованная литература
1. Кашкаев И.Я., Шейнман Е.Ш. Производство глиняного кирпича. Изд. 2-е, испр. и доп. М., "Высш. школа", 1974.288 с, с ил.















