kursov (710051), страница 3
Текст из файла (страница 3)
Юношеские группы удовлетворяют в первую очередь потребность в свободном, нерегламентированном взрослыми общении. Свободное общение – не просто способ проведения досуга, но средство самовыражения, установления новых человеческих контактов, из которых постепенно выкристаллизовывается что-то интимное, исключительно свое.
Разные виды общения могут существовать, выполняя разные функции, их удельный вес и значимость с возрастом меняется. Меняются и привилегированные места встреч. У подростков это чаще всего двор или своя улица.
Разные формы и места общения не только сменяются друг друга, но и сосуществуют, отвечая разным психологическим потребностям.
Если компании формируются лавным образом на базе совместных развлечений, то человеческие контакты в них, будучи эмоционально значимыми, обычно остаются поверхностно. Качество совместного времяпрепровождения часто оставляют желать лучшего.
Некоторые из таких компаний перерастают в антисоциальные.
Юношеские группы и их соперничество – всеобщий факт человеческой истории. Явление это многоуровневое. Саамы глубинный, универсальный его пласт – противопоставление. «Мы» и «Они» по территориальному принципу – существуют практически везде. Однако ослабление влияние семьи, особенно отцовского начала, повышает степень идентификации мальчика-подростка и группой, создавая та называемый «эффект стаи».
2.1.1. Социометрический эксперимент. Метод социометрии.
Для того чтобы использовать количественные характеристики при изучении социальных взаимодействий в группе применяется так называемая социометрическая процедура, или социометрия (впервые предложенная в 30-х годах Д. Морено) [3].
Социометрия – это система некоторых приёмов, дающих возможность выяснить количественное определение предпочтений, безразличий или неприятий, которые получают индивиды в процессе межличностного общения и взаимодействия.
Опрашиваемого обычно просят установить последовательность своего выбора, следуя порядку предпочтения. Порядок выборов имеет при анализе характера и закономерностей межличностного общения. В группах до 10-15 человек более целесообразно количество выборов не ограничивать, в группах же до 30-40 человек лучше позволить делать 3-5 выборов.
Результаты ответов переносят на так называемые матрицы выбора. Их число соответствует числу критериев. Для удобства обработки данных каждый член группы получает свой номер и далее на протяжении всех этапов эксперимента фигурирует под ним.
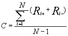
Исходя из данных матрицы, можно определить величину социометрического статуса любого члена группы. Она равна сумме полученных данным членом группы выборов, деленной на число членов без одного:
Ri+ - положительные выборы, полученные i-членом,
Ri- - отрицательные.
Индекс групповой "сплоченности", согласно социометрическим данным, определяется как отношение числа взаимных выборов к теоретически возможному для данной группы их количеству.
Однако социометрический анализ может дать лишь самое общее описание этой коммуникативной сети. И его нельзя использовать для определения мотивов тех или иных выборов одних членов группы другими, данный эксперимент не привёдет нас к выяснению причин предпочтения и изоляции.
Благодаря введению методической процедуры выделения мотивационного ядра возникает возможность перейти от исследования поверхностного слоя общения к исследованию более глубинных его пластов. Под мотивационным ядром здесь понимается система мотивов, образующая психологическую основу индивидуальной предпочитаемости, проявляемой индивидами в социометрическом исследовании. Выявление мотивационного ядра предпочтительности оказывается полезным всякий раз, когда возникает вопрос, почему социометрическая картина в данной группе именно такова; почему такой –то член группы предпочитает такого – то; почему некоторая часть группы числится в категории "лидеров", а другая – в категории "отверженных". Содержание мотивационного ядра выбора партнера в структуре межличностных отношений может служить показателем того уровня, которого достигла данная группа как коллектив. На первых, начальных этапах развития вновь созданных групп при выборе партнера члены группы исходят из эмоционально – личностных симпатий, но затем по мере становления коллектива содержание мотивационного ядра изменяется – выборы обусловлены ориентацией не на внешние достоинства личности, а на её моральные и деловые качества.
2.1.2. Методика изучения самооценки (Т. Дембо-С. Рубинштейн)
Для исследования была применена методика изучения самооценки качеств личности Т. Дембо - С. Рубинштейна.
Целью данной методики является выявление уровня самооценки школьника по заранее заданным качествам личности; выбор тех или иных качеств личности обусловлен целями исследования (например, установленных с помощью других методов трудностей в общении, для получения дополнительной информации можно предложить для оценки такое качество как общительность).
Методика предполагает следующую процедуру проведения: Ребенку предлагается ряд шкал, условно обозначающих проявление различных черт личности, и следующая инструкция: "Допустим, что на этой линии расположились все люди мира в порядке повышения их состояния здоровья (пример со шкалой здоровья): внизу – самые больные люди, вверху – самые здоровые (те, которые никогда не болеют). Как ты думаешь, где твое место среди всех людей мира по состоянию здоровья?".
Пример шкалы:
Высота самооценки определяется с помощью условного разбиения шкал на отрезки в соответствии с пяти-бальной системой. При этом одно деление на шкале является равным 0,5 балла. Исходя из этого подсчитывается средний балл самооценки. "Нормальной", "Средней" самооценкой принято считать самооценку со средним баллом 2.5 и немного выше; "Высокой" – со средним баллом 4–5; "Низкой" – со средним баллом 0-2.5.
2.2 Результаты социометрического опроса.
В результате мы определили следующие диагностические показатели:
а). В результате статусные категории каждого ребенка:
в экспериментальной группе “А”:
лидеры – 9 человек.
предпочитаемые – 3 человека.
принебрегаемые – 8 человек.
отверженные – 5 человек.
в экспериментальной группе “В”:
лидеры – 7 человек.
предпочитаемые – 7 человека.
принебрегаемые – 7 человек.
отверженные – 4 человек.
Исходя из полученных данных можно сделать вывод (смотри график 3.1.):
в экспериментальной группе “А” более 50% детей имеют неблагоприятный статус, а 48% относятся к первой и второй статусным группам;
в экспериментальной группе “В” более 50% детей имеют благоприятный статус, т.е относятся к первой и второй статусным группам, а 44% имеют третий и четвертый статус.
Рассмотрев отдельно мальчиков и девочек по определению социометрического статуса (см. график 3.2.) очевидно, что:
в экспериментальной группе “А” 38 % мальчиков имеют первую статусную категорию (лидеры), что на 13 % больше, чем в экспериментальной группе “В” (25 %);
из графика также видно, что: 8 % мальчиков экспериментальной группы “А” относятся к предпочитаемым, а в экспериментальной группе “Б” их –25 %;
к третьей статусной категории относятся 23 % в экспериментальной группа “А” и 33 % в экспериментальной группе “Б”;
к четвертой статусной категории относятся 31 % мальчиков экспериментальной группы “А”, что на 4 % меньше, чем в экспериментальной группе “Б” (17 %).
Сравнив данные графика также можно видеть, что:
в экспериментальной группе “А” 34 % девочек имеют первую статусную категорию, а в экспериментальной группе “Б” - 31 %.
к предпочитаемым относятся 8% девочек в экспериментальной группе “А” и 31 % в экспериментальной группе “Б”;
третью статусную категорию (принебрегаемые) имеют 50 % девочек в экспериментальной группе “А” и 23 % в экспериментальной группе “Б”;
к категории отверженные относятся в экспериментальной группе “А” 8% и в экспериментальной группе “Б” 15 %.
Изучив полученные результаты по определению социологического статуса каждого члена группы можно сделать вывод, что в экспериментальной группе “Б” эмоциональный климат группы для каждого воспитанника более благоприятный, теплый, чем в экспериментальной группе “А”.
б.) В экспериментальной группе “А” уровень благополучия взаимоотношений (УБВ) можно определить как низкий, т.к. в группе преобладают дети с неблагоприятным статусом – 52 %.
В экспериментальной группе “Б” УБВ – высокий, т.к. большинство детей находятся в благоприятных (1 и 2) статусных категориях – 56%.
Вывод: низкий УБВ в экспериментальной группе “А” означает неблагополучие большинства детей в системе межличностных отношений, их неудовлетворенность в общении, признании сверстниками.
Результаты проведения представленной методики в группах детей младшего подросткового возраста выглядят следующим образом:
в экспериментальной группе “А” (график 3.3.) из общего количества детей:
28% имеют высокий уровень самооценки;
56% имеют средний уровень самооценки;
16% имеют низкий уровень самооценки;
в экспериментальной группе “Б” (график 3.3.) из общего количества детей:
36% имеют высокий уровень самооценки;
52% имеют средний уровень самооценки;
12% имеют низкий уровень самооценки.
Сопоставляя статусное положение каждого ребенка группы с присущим ему уровнем самооценки, мы получили следующие результаты
А). В экспериментальной группе “А”:
из общего количества детей первого статуса (лидеры) 78% детей имеют высокий уровень самооценки и 22% имеют средний уровень самооценки;
из всех детей находящихся во втором статусе (предпочитаемые) 100% детей имеют средний уровень самооценки;
100% детей, относящихся к третей статусной категории (принебрегаемые) имеют средний уровень самооценки;
из всех детей, находящихся в четвертой статусной категории (отверженные)- 80% имеют низкий уровень самооценки и 20% детей имеют средний уровень самооценки.
В). В экспериментальной группе Б:
из общего количества детей первого статуса (лидеры) 71% имеют высокий уровень самооценки и 29% имеют средний уровень самооценки;
из всех детей находящихся во втором статусе (предпочитаемые) 57% имеют высокий уровень самооценки и 43% имеют средний уровень самооценки;
из всех детей третей статусной категории (принебрегаемые) 100 % имеют средний уровень самооценки;
из всех детей находящихся в четвертой статусной категории (отверженные) 25% имеют средний уровень самооценки и 75% имеют низкий уровень самооценки.
В результате исследования связи самооценки школьника с его статусным положением в системе межличностных отношений мы пришли к следующим выводам: самооценка подростка в целом тем ниже, чем ниже его статусное положение в группе.
Заключение
В процессе проведенного исследования влияния статусного положения ребенка в группе на формирование уровня его самооценки можно сказать, что наша гипотеза подтвердилась, так как по полученным результатам мы видим, что чем выше статус ребенка в группе, тем более высокий уровень самооценки выявляется в процессе экспериментов.
Изучение природы межличностных отношений непростая задача. В своей работе мы попытались решить одну достаточно важную задачу – процесс влияния взаимоотношений между подростками, в их повседневной, обыденной форме, а именно, те его аспекты, которые раскрываются в непосредственном общении между подростками, в совместной деятельности разнопланового характера, на формирование уровня самооценки школьника, а соответственно и на формирования уровня его притязаний.
1) Бурлачук Л.Ф., Морозов С.М. Словарь – справочник по психодиагностике. – СПб.: Питер Ком, 1999г.
2) Выготский Л.С. Собрание сочинений: в 6 т. – М.: Просвещение, 1984.
3) Давыдов В. В., Драгунова Т. В., Ительсон Л. Б., Петровский А. В. Возрастная и педагогическая психология: учебник для студентов пед. институтов. - М.: Просвещение, 1979.
4) Карпенко Л.А., Петровский А. В. Краткий психологический словарь. - М.: Просвещение, 1981.
5) Крылов А.А. Практикум по общей и экспериментальной психологии. – Л.: Издательство Ленинградского Университета, 1987.
6) Кондратьева С.В. Практическая психология: учебно-методическое пособие. – Минск: Университетское, 1997.
7) Немов Р. С. Психология. Учебник для студентов высш. пед. учеб. заведений. В 3-х кн-х. Кн. 1 Общие основы психологии- 2-е изд. - М.: Просвещение, ВЛАДОС, 1994.
8) Петровский А.В., Абраменкова В.В. Социальная психология: учебное пособие для студентов пед. Институтов. - М.: Просвещение, 1987.
9) Петровский А.В. Личность. Деятельность. Коллектив. – М.: Знание, 1982. –
Приложение
Опросный лист №1.
Социометрический эксперимент.
Инструкция: Выбери из вашего класса трёх учеников в порядке твоего предпочтения и укажи их фамилии в прямоугольниках, расположенных после задания. Через тире укажи номер причины, по которой ты делаешь свой выбор (на другой стороне опросного листа написаны 14 причин). Напиши внизу листа свою фамилию и имя.















