courswork (709227), страница 4
Текст из файла (страница 4)
Коэффициент враждебности является комплексным показателем враждебности рынка относительно развития некоторой внешнеторговой активности, поэтому будет логично представить его состоящим из набора отдельных показателей, характеризующих каждый конкретный фактор рынка, т.е. коэффициент враждебности можно представить как:
(2.1)
где
i – фактор рынка (i=1,2,3,…,n);
Sj – поправка на относительную значимость (j=1,2,3,…,n);
Ki - коэффициент враждебности i-го фактора.
В качестве составляющих коэффициента враждебности выделяются:
-
коэффициент враждебности таможенного регулирования;
-
коэффициент враждебности, связанный с уровнем стабильности цен;
-
коэффициент враждебности затрат, необходимых для вхождения на рынок;
-
коэффициент враждебности, связанный с уровнем конкуренции;
-
коэффициент враждебности информационной среды;
-
коэффициент враждебности транзакционных издержек;
-
коэффициент враждебности емкости рынка;
-
коэффициент враждебности, связанный с государственной поддержкой.
Для получения объективной адекватной оценки реальной величины коэффициента враждебности среды необходимо правильно определить и реализовать порядок подсчета каждой его составляющей.
Коэффициент враждебности таможенного регулирования:
(2.2)
где
Кэк – фактический размер сборов на стороне экспортера для данного товара в долях к стоимости товара;
Кимп – фактический размер сборов на стороне импортера для данного товара в долях к стоимости товара;
Кmaxэк – максимальная величина сборов в стране импортера (если товар экспортный) или же максимальная величина сборов в стране экспортера (если товар импортный);
Кmaxимп – максимальная величина сборов при импорте в стране импортера или же максимальная величина сборов при экспорте в стране экспортера в % от стоимости товара.
Существование ЕС сводит к нулю значение коэффициента враждебности таможенного регулирования, т.е. Квртам=0%.
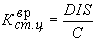
Коэффициент враждебности, связанный с уровнем стабильности цен:
Для фактора уровня стабильности цен целесообразно применять следующую формулу для подсчета Кврcт.ц:
(2.3)
где
DIS – дисперсия изменения цен на данный товар за отчетный период на рассматриваемом рынке. В качестве отчетного периода предлагается брать предшествующий год;
С – цена на товар, с которым предполагается выйти на этот рынок.
АО Виентипуу предполагает выйти на рынок с ценой 150,1 евро/м3. Предположим, что в предыдущем году контракты на поставку древесного сырья заключались по следующим ценам: 152,4; 158,1; 148,8; 140,9; 150,6; 156,7; 149; 147,5; 146,2 евро/м3. Тогда DIS=27,8, следовательно Кврcт.ц=18,5%.
Коэффициент враждебности затрат, необходимых для вхождения на рынок:
(2.4)
где
U – доля от годового дохода фирмы, характеризующая стоимость вхождения на рынок с данным товаром;
D – годовой доход фирмы. Принимается за 100 долей.
Итак, будет иметь вид:
(2.5)
Затраты вхождения на рынок в данном случае будут практически отсутствовать, поскольку товар предназначен для промышленного применения, с ним знакомы местные потребители и следовательно проведение рекламных мероприятий, выставок и пр. не требуется. Поэтому мы можем принять U=O, тогда Кврзвр=0%.
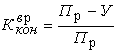
Коэффициент враждебности, связанный с уровнем конкуренции:
(2.6)
где
Пр - стоимостное выражение общего объема предлагаемого товара на рынке;
У - стоимостное выражение общего объема спроса на товар на рынке.
Величину платежеспособного спроса целесообразно определять исходя из фактического объема продаж за предшествующий период с поправкой на четко определенные тенденции, выявленные в процессе его анализа.
Величину объема предлагаемого товара можно определить из наличия аналогичного товара в продаже, на складах, размеров контрактов, подписанных на поставку аналогичного товара.
Платёжеспособный спрос на древесное сырьё в Германии составляет 5594579 евро, а предложение 7023806 евро, тогда Квркон=20,3%.
Коэффициент враждебности информационной среды:
Без сомнения, при расчете основной трудностью может стать достоверность информации и ее полнота. Все это может стать причиной необъективности показателя в целом.
Коэффициент враждебности информационной среды является суммарным и состоит из качественного показателя информационной среды (Ккач) и количественного показателя информационной среды (Ккол). В информационную среду входят информационные системы Интернет, базы данных специализированных учреждений и организаций, а также другие информационные источники.
где
Ккач – качественный показатель информации;
Ккол – количественный показатель информации.
Ккач характеризует достоверность информации и выражается как отношение разницы общего объема информации (0б) и достоверной информации (Р) к общему объему информации.
Ккол показывает, насколько полно информационная среда отражает реальное положение вещей на рассматриваемом рынке. Ккол целесообразно рассматривать как отношение разницы общего количества хозяйствующих субъектов на рассматриваемом рынке (Оо) и количества хозяйствующих субъектов, охваченных информационными системами (Ох), к общему количеству хозяйствующих субъектов на рассматриваемом рынке.
Так как сбору информации было посвящено особое внимание, и была использована как вторичная, так и первичная информация из надёжных источников, то Ккач=(Об-Р)/Об=0%.
Что касается количества предприятий, которые были охвачены исследователями, оно меньше реально существующих. Если предположить, что основными потребителями будут лесопильные предприятия, то здесь анализировалась информация только по интегрированным (30), средним и малым самостоятельным (120) лесозаводам. Не рассматривались передвижные лесопильные установки, которых чуть больше тысячи. Поэтому Ккол=(1000-(30+120))/1000=85%. Следовательно Квринф=42,5%.
Коэффициент враждебности транзакционных издержек считается как отношение величины транзакционных издержек по контракту (Тр) к стоимости контракта (Vk):
Пусть транзакционные издержки по контракту составят: услуги связи – 28000 евро, командировочные расходы в Германию специалистов для подготовки контракта – 38000 евро, прием делегации из Германии – 35000 евро. Итого 101000 евро.
Стоимость контракта при объеме поставки 8000 м3 и цене 150,1 евро/м3 евро составит 1200800 евро. Тогда Квртризд=8,4%.
Коэффициент враждебности емкости рынка частично связан с коэффициентом враждебности уровня конкуренции. Данный коэффициент предлагается рассчитывать, исходя из определения доли рассматриваемого рынка по требуемому товару в общем, объеме мирового спроса на данный товар. Соответственно будет выглядеть как отношение (У) к мировому платежеспособному спросу на данный товар (Ум):
Величина мирового платежеспособного спроса на древесное сырьё мы берем исходя из потребленного в мире объема древесного сырья за предшествующий год. Ум = 509400000 м3. Следовательно Кврёмк=12,9%.
Коэффициент враждебности государственной поддержки рассчитывается как отношение стоимости контракта (Vk) к возможной стоимости этого же контракта, осуществленного без государственной поддержки (Ст):
Снижение стоимости контракта относительно (Ст) может быть как за счет понижения стоимости товара благодаря дотированию экспортного производства, так и за счет иных методов государственной поддержки /4/.
Поскольку данная поставка сырья не имеет государственной поддержки, то коэффициент враждебности данного фактора будет иметь вид: Квргос=Vk/CT= CT /CT=100%.
Итоговый коэффициент будет равен: Квр=25,3%.
Вывод:
Коэффициент враждебности довольно высок, хотя не на столько, чтобы отказаться от выхода на рынок. Высокий уровень обусловлен сильной конкуренцией, во-первых, со стороны внутренних производителей, а во-вторых и главных, со стороны шведских импортёров. Также на высокий уровень сказался тот факт, что практически отсутствует информация по передвижным лесопильным установкам, так как их деятельность не продолжительна.
Заключение
В условиях нарастающей интернационализации и глобализации мировой экономики все большее число компаний ориентируется в своей деятельности на концепцию международного маркетинга. Но добраться до этой вершины способны не все. На пути к ней компания переходит от национально-ориентированной к экспортной и только затем к международной. Большинство наших отечественных компаний находятся только на стадии экспортной.
Необходимо помнить, что не может быть удачного экспортного и, тем более, международного маркетинга у компании, которая пренебрегает им на национальных рынках.
При внешнем маркетинге особое внимание необходимо уделять исследованию рынка. Исследования хотя стоят и не дёшево, но, как правило, на много меньше, чем потери от ошибок, которые могут даже стать роковыми.
Освоение нового зарубежного рынка – это каждый раз компромисс между использованием решений, уже испытанных на новых рынках, и необходимым уровнем адаптации к новым.
В области внешнего маркетинга российским компаниям есть чему поучиться у своих зарубежных коллег, некоторые из которых являются корифеями. В лесной промышленности особенно бесценным опытом обладают шведские и финские экспортёры.
Более активное участие России в международной маркетинговой деятельности послужило бы своеобразным “кнутом” для отечественных предприятий, стимулируя их к поиску факторов повышения конкурентных позиций отечественных товаров на зарубежных рынках.
Список библиографических источников
-
Котлер Ф. Маркетинг от А до Я / Пер. с англ. под ред. Т.Р. Тэор. – СПб.: Издательский Дом «Нева», 2003. – 224 с.
-
Северин В.Д. Маркетинг: учебно-практическое пособие. – М.: ЗАО «Бизнес-школа «Интел-Синтез», 1999. – 352 с.
-
Юслин Х., Неувонен Й. Маркетинг продукции лесной и целлюлозно-бумажной промышленности: учебное пособие / Пер. с финского А.Юнтунен, М. Лейнонен. – Йоэнсуу: АО ФЕГ, 2000. – 256 с.
-
Вишняков Я.Д., Рыбкин С.А. Бизнес и окружающая среда: коэффициент враждебности окружающей среды развитию бизнеса, http://cfin.ru/press/management/1998-6/07.shtml
-
Литвинов Ф.И. Международный маркетинг: специфика исследования зарубежного рынка, http://www.cfin.ru/press/marketing/1998-5/08.shtml
-
Сейфуллаева М.Э. Концепция международного маркетинга, http://www.cfin.ru/press/marketing/1998-1/10.shtml
















