kurov (708073), страница 4
Текст из файла (страница 4)
Новыми становятся отношения между банками и их клиентами. Снижается роль банков в качестве посредника между клиентом и валютным
рынком. Одновременно банки начинают выступать в новой для себя роли - в качестве организатора торговли..
Происходящие изменения на мировом валютном рынке свидетельствуют о том, что границы между межбанковским и клиентским рынком становятся все более размытыми, что услуги на валютном рынке перестают быть привилегией банков, а сами банки превращаются в организаторов торговли. Вместе с тем структурные изменения на мировом валютном рынке, как представляется, в конечном счете будут способствовать его консолидации на новой основе - возникающих союзов и альянсов его крупнейших участников-банков.
III.4. Состояние валютного рынка Казахстана
Казахстанский валютный рынок остается внутренним, что ограничивает его возможности интеграции в мировой валютный рынок. Тем не менее с точки зрения применения современных технологий его развитие идет параллельно мировому.
Если посмотреть на объемы, то, конечно же, обороты казахстанского межбанковского валютного рынка пока несопоставимы с оборотами мировых рынков. Так, если в Лондоне ежедневный оборот по валютным составляет более 500 млрд. долларов США, то в Казахстане несколько десятков млн. долл. в день. Такая разница может объясняться тем, что внешнеэкономический оборот Казахстана намного ниже, чем в развитых западных странах, а также тем, что в обороте казахстанского межбанковского рынка доля спекулятивных операций пока еще ниже, чем на западных рынках.
Если рассмотреть инфраструктурный аспект, то здесь также можно выделить ряд отличий. На мировых валютных рынках снижается значение голосовых брокеров и усиливается значение электронных брокерский систем, обеспечивающих автоматический мэтчинг котировок с противоположным значением.
Если рассматривать эту проблему с чисто бытовой точки зрения, то наш валютный рынок отличается от аналогичного рынка любой развитой страны прежде всего тем, что у нас иностранная валюта достаточно широко используется для внутренних расчетов, а также как средство накопления и мера стоимости. В то время как в развитых странах валюта приобретается населением исключительно для туристических поездок за рубеж. А если учесть повсеместное распространение в этих странах кредитных карточек различных платежных систем, то спрос на валюту среди населения там минимален.
Однако основным отличием является то, что казахстанский рынок это внутренний рынок, рынок для резидентов Казахстана. Его участниками являются только казахстанские банки и инвестиционные компании, обладающие лицензией на проведение валютных операций, что объективно связано с наличием ограничений на валютные операции нерезидентов. Этим он отличается не только от развитых западных рынков, но также и от аналогичных развивающихся рынков стран Восточной Европы и Африки, в частности Польши, Чехии, Венгрии, ЮАР. Валюты этих стран, в отличие от казахстанского тенге, котируются не только резидентами внутри страны, но также и зарубежными банками-нерезидентами, например, в Лондоне существует довольно активный межбанковский спотовый и форвардный рынок валют с развивающихся рынков.
Для того, чтобы у нас появился открытый валютный рынок, такой как на Западе, необходимо, чтобы национальная экономика отвечала определенным критериям развития. В частности, эксперты МВФ к числу таких требований относят наличие конкурентоспособной обрабатывающей промышленности, развитого и эффективного банковского сектора, устойчивой системы государственных финансов, развитого рынка товаров, услуг и капиталов, мобильного рынка рабочей силы.
С технологической стороны, на казахстанском валютном рынке интернет-технологии существенным образом расширили информационные и торговые возможности рынка. В Интернет имеется сайт Казахстанской Фондовой биржи KASE, пользователи которого имеют возможность получать информацию о ходе торгов в реальном режиме времени. Расширяется круг клиентов, пользующихся информацией KASE не только на территории РК, но и в странах ближнего зарубежья.
ГЛАВА III. ВАЛЮТНАЯ СПЕКУЛЯЦИЯ
III. 1. Валютный Арбитраж
Арбитражем называется деятельность, имеющая целью извлечение доходов путем перепродажи ценных бумаг или валют по более выгодным ценам на том же рынке, но в каком-то будущем периоде, или на других рынках.
Арбитраж и связанная с ним деятельность включает в себя как знание о разности цен, так и способность к предвиденью динамики цен, объемов операций, возможной прибыли и риска. Арбитраж в основном связан с международными срочными финансовыми операциями, включая курсы иностранной валюты, краткосрочные проценты и стоимость ценных бумаг.
Размер максимальной прибыли в результате арбитражных сделок изменяется в зависимости от связанного с ними риска.
Процентным арбитражем на денежных рынках называется перемещение ресурсов от одной валюты к другой ради улучшения условий кредитования или заимствования. Фактически процентный арбитраж сводится к выбору страны или валюты с наиболее благоприятной процентной ставкой кредита. В качестве финансовых инструментов при процентном арбитраже могут фигурировать срочные банковские депозиты или государственные облигации. Перемещение ресурсов из одной валюты в другую предполагает наличие валютного риска, и подобные валютные переводы относятся к категории непокрытого процентного арбитража.
Е
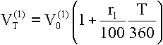
сли валютная спекуляция оказывается оправданной, то риск, связанный с комбинированием процентного арбитража с открытой валютной позицией дает возможность получить дополнительную прибыль, которая усиливает выигрыш, получаемый за счет собственно процентного арбитража. Так, если поместить первую валюту на депозит на срок T, то получим
а
если использовать непокрытый процентный арбитраж, то
Здесь St - курс второй валюты относительно первой Vt(1)=St Vt(2) в момент времени t, Vt(1) - текущая стоимость первой валюты, ri, i=1,2 - ставка процента для i-ой валюты. Суммарный выигрыш получается при ST>S0 и r2>r1.
Валютный риск связан со случайными значениями курса ST. Прибыли/убытки, полученные арбитражером по окончании финансовой операции, вычисляются по формуле
Эквивалентным арбитражем называется покупка или продажа комбинаций опционов и наличных позиций, когда между теоретически эквивалентными комбинациями на практике возникает разница цен.
Например, комбинация длинной наличной позиции и опциона продажи создает опцион купли, а комбинация короткой наличной позиции и опциона купли создает опцион продажи. Действительно, при S0=K имеем
S0-ST+(ST-K)+=(K-ST)+.
Э
квивалентный арбитраж обеспечивает соответствие цен опционов и цен наличного базисного актива, а также поддерживает равновесные цены на опционы купли и продажи. При любом t [0,T] должна иметь место формула паритета цен для опционов купли и продажи европейского стиля на один и тот же базисный актив с одинаковой ценой исполнения:
При нарушении паритета возникает арбитражная ситуация.
Простейшей арбитражной стратегией с фьючерсами является межрыночный арбитраж, который может включать либо только фьючерсные контракты, либо одновременные сделки на фьючерсном и на форвардном рынках. Около 30% открытых позиций во фьючерсах на индекс акций FT-SE 100 на Лондонской фьючерсной бирже используются в арбитражных операциях. Целый ряд финансовых институтов, являющихся членами фьючерсных бирж в Чикаго и Лондоне, используют свой персонал только для осуществления межрыночного арбитража с процентными фьючерсными контрактами, базирующимися на срочных трехмесячных депозитах с одной стороны и на облигациях казначейства США или наличных срочных депозитах с другой стороны.
В декабре 1981 года на Чикагской фьючерсной бирже был введен фьючерсный контракт, основанный на трехмесячном евродолларовом депозите размера $1000000. Это фьючерсный контракт с расчетом за наличные, не предусматривающий никакой поставки наличного финансового инструмента по истечении контракта. В настоящее время одним из наиболее существенных способов использования этого фьючерса является арбитраж между наличными и фьючерсными позициями, путем создания синтетического инструмента, названного "strip". Известно, что большинство торговцев евродолларовыми фьючерсными контрактами с несколькими ближайшими кварталами поставки посвятили себя реализации этой стратегии. "Strip" означает либо комбинацию наличных депозитов и длинной позиции во фьючерсном контракте, либо кредита и короткой позиции. Если Size - размер наличного депозита, rd - годовая процентная ставка наличного депозита, M - размер фьючерсного контракта, T - срок до поставки по фьючерсному контракту, Ft - фьючерсная цена, то прибыли/убытки от "strip" р
ассчитываются либо по формуле
е
сли деньги даются в долг, либо по формуле
если деньги занимаются. Такая торговля инициируется, если определено, что торговец может рассчитывать на более высокую прибыль или меньшую плату за кредит, чем в случае сделки, осуществляемой только на наличном денежном рынке. Термин "strip" возник из практики использования двух или более последовательных квартальных фьючерсных истечений в комбинации с долларовой наличной позицией. Торговцы должны определить для себя, когда разница между процентной ставкой "strip" и ставкой наличной сделки достаточна, чтобы сделать такую торговлю заслуживающей внимания.
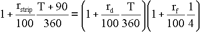
В
случае одного депозита и одного фьючерсного контракта процентная годовая ставка rstrip определяется из уравнения
где rf - процентная ставка фьючерсного контракта.
Валютные фьючерсные контракты могут арбитражировать против спот-курса и банковских депозитных ставок. Потенциальная прибыль от этого типа арбитража относительно невосприимчива к движениям процентных ставок, но чувствительна к малейшим изменениям валютных курсов.
Арбитраж между краткосрочными процентными фьючерсами и валютными фьючерсами с одинаковыми сроками поставки не требует выхода на рынок наличности, однако сложно подобрать нужное количество контрактов для получения полного покрытия.
В более сложных межрыночных арбитражных сделках одновременно задействованы наличные рынки валют и ценных бумаг, межбанковский рынок, рынок форвардов, опционный рынок, рынок фьючерсных контрактов.
III.2. Риски при валютных спеуляциях
При осуществлении спекуляционных сделок с валютой необходимо учитывать целый спектр различных возникающих рисков. Многие из них, такие как операционный, можно назвать общими, т.е. возникающими при различного рода переводах валюты и других операциях, которые обеспечивают выполнение арбитражной сделки, но не являются ее наиболее существенной частью. Однако многие риски напрямую связаны с осуществлением арбитражных сделок.
Основным расчетом при осуществлении покупки той или иной валюты является расчет того, что за определенный промежуток времени ее курс вырастет на рассчитываемую величину. Если этот промежуток времени растянется или курс вырастет на меньшую величину, эта сделка может не только не принести прибыли, но и создать убытки, т.к. при осуществлении арбитражных сделок существуют определенные комиссионные расходы на конвертацию.
При осуществлении валютных арбитражных сделках можно выделить следующие риски:
-
Курсовой риск
-
Исполнительский риск
-
Контрагентский риск
-
Партнерский риск
-
Риск персонала
-
Рыночный риск
-
Стратегический
-
Информационный
-
Технический
Рассмотрим более детально описанные выше риски.
Курсовой риск – риск неблагоприятного изменения курса валюты. Основной риск при осуществлении арбитражных сделок. Рассчитывается на основе объективных факторов, таких как тенденции изменения курсов валют на рынке и совокупности других политических, экономических факторов, с помощью проведения аналитической оценки степени влияния определенных факторов и дальнейшего поведения рынка. Учитывая тот факт, что сделки предусматривают покупку валюты, курс которой в ближайшее время будет расти, можно говорить о том, что наибольшее влияние оказывают политические и экономические риски.
Риск финансирования. Финансовые компании осуществляющие спекулятивные сделки с валютой Исполнительский риск. В связи с тем что сделки покупки-продажи валюты осуществляются брокером непосредственно на бирже, а решения зачастую принимаются вне биржи, в офисах финансовых компаний существует определенный риск, что непосредственный исполнитель в силу каких-либо обстоятельств не сможет выполнить сделку или выполнить ее в предусмотренном объеме и времени. Причины таких сбоев могут быть различны: отсутствие полного взаимопонимания между брокером и его клиентом, физическое состояние брокера и т.п.
Риск персонала – при подготовке документов для принятия решения, анализа ситуации и других вспомогательных процедурах, участвует определенное количество сотрудников фирмы, при осуществлении подготовительных мероприятий возможны их персональные ошибки в расчетах, предоставлении необходимой информации и т.п., что может послужить причиной возникновения убытков при заключении сделки.















