9834-1 (707231), страница 2
Текст из файла (страница 2)
Наиболее наглядное решение можно получить в том случае, если провести следующую процедуру. Локальные "стрелы" Времени
, ориентируются так, чтобы их начала совместились в одной точке - 0 . Эта точка представляет собой полюс, такой что
.B этом случае, разумно ожидать, что одна из локальных "стрел" Времени, например
, будет располагаться к локальной "стреле" Времени
под некоторым углом ( Рис. 1 ). В дальнейшем, для удобства рассуждения обозначим этот угол через
и назовем его - фазовым углом Времени, где z - это индекс, который необходим для выделения данного угла из семейства геометрических углов. Этот угол является калибровочным параметром, который позволяет установить корреляцию между исходными локальными "стрелами" Времени в том смысле, что отображение
на
осуществляется посредством фазового угла Времени, т.е.
, где
отображает
. Данный угол измеряется в двух известных системах: 1) градус, минута, секунда; 2) радиантная мера. Переходя к количественным оценкам значений промежутков Времени
необходимо схему на ( Рис. 1 ) модернизировать соответствующим образом ( Рис. 2 ). Проведем к концу локальной "стрелы" Времени
ортогональную линию так, чтобы она одновременно пересекла конец локальной "стрелы" Времени
. Назовем эту линию - нормалью Времени и обозначим через
. Нормаль Времени должна отвечать следующим условиям: эта линия всюду перпендикулярна собственному Времени
и всегда пересекает координатное Время
.
Используя известные соотношения, легко установить зависимость между локальными "стрелами" Времени
. (8)
Таким образом, мы установили, что локальные "стрелы" Времени связаны между собой тригонометрической функцией - секонс . Напомним два важных свойства этой функции:
1) разложение в
ряд
,
где область сходимости
- числа Эйлера;
2) функция комплексного переменного
, где период -
; функция на всей открытой
плоскости нулей не имеет.
Учитывая, что локальные "стрелы" Времени пропорциональны соответствующим им промежуткам Времени
, то аналогичная закономерность будет иметь место и для дифференциалов координатного и собственного Времени
. (9)
Задавая верхние и нижние пределы интегрирования можно найти интересующие нас интервалы Времени
. (10)
Из соотношения (9) вытекает, что если
,то при заданном промежутке собственного Времени
; и если
.
Целью введения фазового угла Времени и функции обеспечивающей его привязку к естественным природным процессам, является предположение о том, что в общей и специальной теориях относительности явление замедления Времени имеет одну и ту же физическую основу, т.е. на прямую имеет место связь между
, СТО и ОТО . Эта связь выражается в том, что существует схема вида
В первой части мы рассмотрели только теоретические аспекты проблемы. Все расчеты и практические результаты будут проведены во второй части одноименной работы.
Дополнение: напомним математические свойства, которыми обладает тригонометрическая функция - секонс
1)
;
2) функция
- нулей вообще не имеет, как при действительных, так и при комплексных значений аргумента [11]
;
3)
;
4)
5)
имеет асимптоты при
1. А. Эйнштейн, Собрание научных трудов, Т. 1 / Под. ред. И. У. Тамма, Я. А.Смородинского, Б. Г. Кузнецова, - М., Наука, 1965 - 1967 .
2. Дж. Нарликар, Неистовая Вселенная, М., Мир, 1985.
3. Ю. С. Владимиров, Пространство - время: явные и скрытые размерности, М., Наука, 1989.
4. Л. Д. Ландау, Е. М. Лифшиц, Теория поля. Изд. 6, М., Наука, 1973.
5. J. С. Hafele, R.E. Keating, Science, 177,166,168 (1972 ).
6. Ч. Аллей и др., В кн.: Альберт Эйнштейн и теория гравитации, М., Мир, 1979,с. 575.
7. R. F. С. Vessot, М. W. Levine, in: Gravitarione Sperimentale, ed. Bertotti В., Accademia Nazionali dei Lincei, Roma, 1977, p. 371.
8. С. М. Коротфув, Земля и Вселенная, 2 ,1989, с. 53.
9. Л. Д. Ландау, Е.М. Лифшиц, Механика, Изд. 3, М., Наука, 1973.
10. S. W. Hawking, G. F. R. Ellis, The Large Scale Structure of Space - Time, Cambridge University Press, 1973;
С. Хокинг, Дж. Эллис, Крупномасштабная структура пространства - время, М., Мир, 1977.
11. П.Ф. Фильчаков. Справочник по высшей математике, М., Наука, с. 645.
***
Сегодня, со всей ясностью становится очевидным, что открытый А.Эйнштейном процесс замедления Времени описанный в специальной и общей теориях относительности требует более глубокой проработки и осмысления. Необходимо разобраться и понять внутреннюю работу механизма замедления Времени, а не только знать причины вследствие, которых наблюдается асинхронное течение Времени в разных системах отсчета.
Теоретические вопросы этой проблемы были представлены в первой части одноименной работы.
Здесь же, будут предложены: серия расчетов и статистических оценок, которые дают нам возможность понять физический принцип действия внутреннего механизма замедления Времени.
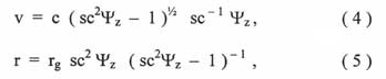
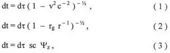
Установим функциональную зависимость между:
1) скоростью v движущихся относительно нас часов и фазовым углом Времени
;
2) координатой r (расстояние от сферы Шварцшильда) и так же фазовым углом Времени
. Используя выражения:
и проводя математические операции по интегрированию и составлению пропорций находим, что
1. Соотношение координатного и собственного Времени в СТО и ОТО при действии функции
, и при изменении фазового угла Времени
от 0 до
.
Для проведения статистического анализа необходимо задать следующие начальные условия:
1) принимаем, что с = 1 и
;
2) выбираем, для простоты расчетов, во всех случаях (имеются в виду области, заполненные материей) собственное Время
равное, например, 10-и условным единицам. Какие именно единицы измерения (секунды, минуты, часы, дни, годы и т.д.) здесь фигурируют не столь важно, поскольку это прерогатива, например, экспериментаторов;
3) для области изменения фазового угла Времени от 0 до
знак собственного Времени
, естественно - положителен (+);
4) фазовый угол Времени отсчитывается в пределах
, (Рис. 1).
Требуется определить:
1) координатное Время в специальной теории относительности -
;
2) координатное Время в общей теории относительности -
;
3) координатное Время зависящее от фазового угла Времени - t, (См. Табл. 1) .
Подробное обсуждение полученных данных будет сделано в разделе 3.
2. Соотношение координатного и собственного Времени в СТО и ОТО, при действии функции
, и при изменении фазового угла Времени
от
до
.
В данном разделе принимаются аналогичные начальные условия, которые указанны в разделе 1. Однако, необходимо отметить, что, здесь, фазовый угол Времени отсчитывается в границах
и собственное Время
так же положительно, (Рис. 2).
Как и в разделе 1 необходимо определить
,
и t, (Табл. 2). Полный анализ полученных данных будет проведен в разделе 3 .
3. Обсуждение результатов.
В настоящее время наблюдается ярко выраженная тенденция, направленная на решение определенных физических задач с применением геометрических подходов. Эти подходы нашли широкое распространение в связи с тем, что благодаря им, можно по-новому взглянуть на ряд проблем существующих в некоторых областях физики. Не стало исключением и данное исследование, суть которого сводится к тому, чтобы используя методику естественных геометрических преобразований получить ясную картину для понимания механизма замедления Времени.
В том случае, если мы получим практически точное совпадение показаний координатного Времени
,
и t при фиксированной координате r , определенной скорости v и при заданном значении
соответственно, то в полной мере можно говорить о том, что с физической точке зрения внутренний механизм замедления Времени имеет под собой единую основу.
3.1. Результаты таблицы 1.
Как проводился расчет? Сначала, по формулам (4) и ( 5) устанавливались взаимооднозначные соответствия между текущими значениями фазового угла Времени
и конкретными величинами скорости v и координаты r. Другими словами, каждой угловой характеристике
находится точное значение v и r . Зная параметры v , r и
не трудно найти
,
и t. Из таблиц видно, в какой степени имеет место согласование показаний Времени для трех случаев.
Ниже, отметим следующие интересные закономерности.
В специальной теории относительности по мере того, как скорость v устремляется к скорости света, где с = 2,997924562х1010 см/сек [2], будет наблюдаться нарастание незначительных отклонений в показаниях часов t и
, в первом знаке после запятой. Например, при v = 0,9998476 с , что составляет 99,984759% скорости света и при
= 89¦ часы соответственно будут показывать Время
= 572,78689 и t = 572,96739 . Мы видим, что эти результаты одинаковые в целой части.
В общей теории относительности при приближении г к
, например, г = 1,0003045
и при
= 89¦ будет наблюдаться локальная несогласованность в целой части параметров Времени t и
, т.е.
= 573,06918 и t=572,96739. Однако, используя математические правила округления десятичных дробей не трудно увидеть, что для исходного случая часы будут отсчитывать практически одинаковое Время (
) . Правда, при
=87¦ и
= 88¦ имеем, соответсвенно,
= 192,10561; t = 191,07306 и
= 296,2919 ; t = 286,53295 фиксируется небольшой разброс в показаниях Времени в целой части t и
. Какое можно дать объяснение появлению подобного рода аномалий? Можно предположить, что когда значение координаты r становится сравнимым с гравитационным радиусом, то напряженность гравитационного поля возрастает на столько, что активно начинают сказываться топологические флюктуации. Время, да и пространство, в области с высокой кривизной находится в таком физическом состоянии, что становится весьма проблематично указать точные координаты. Так же, при выше указанных значениях фазового угла Времени, возможно происходят процессы, которые не известны физике, на сегодняший день.















