101546 (705911), страница 2
Текст из файла (страница 2)
- уровень качества оцениваемой продукции равен уровню базового образца, если все значения Qi = 1(т.е. продукция по всем показателям соответствует базовому образцу );
- уровень качества оцениваемой продукции ниже уровня базового образца, если все значения Qi ≤ 1, причем хотя бы одно значение, строго меньше единицы;Qi < 1(т.е. продукция по всем показателям не превосходит балловый образец и хотя бы по одному показателю уступает ему).
В случаях, когда часть значений относительных показателей качества Qi >1, а часть Qi < 1 (т.е. продукция по одним показателям превосходит базовый образец, а по другим уступает ему), дифференциальный метод не дает результата.
В этом случаи можно применить комплексный метод.
Первой разновидностью этого метода является использование главного показателя, т.е. показателя, который может, по мнению экспертов, в основном охарактеризовать качество изделия.
При использовании этого метода сопоставление качества оцениваемой продукции может осуществляться с одним или с несколькими базовыми образцами.
Показатели качества оцениваемой продукции и аналогов нормируется следующим образом. Показатели качества. Характеризующие одно свойство, делаться на максимальное значение этого показателя у всех аналогов, включая оцениваемую продукцию, если этот показатель позитивный, то его минимальное значение делиться на показатели качества каждого из базовых образцов, т.е. нормированные значения показателей качества определяются по формулам:
Qij =Xij/maxXij (1.3 )
Qij= minXij/Xij (1.4)
где i-1,2,….p,i=0,1,2,...,n,максимальное и минимальное значение берутся при фиксированных значениях индекса i.
Формула (1.3)применяется для позитивных показателей, формула(1.4) – для негативных.
Второй разновидностью является метод средневзвешенного показателя.
Средневзвешенный показатель определяется по формуле
I =
iqig,
где, mi – коэффициент весомости,
Оцениваемая продукция признается соответствующей уровню качества, определяемому данной группой аналогов, если
Qmin ≤ Q0 ≤ Qmax ,
где, Q0 – средневзвешенный показатель качества оцениваемой продукции;
Qmin ,Qmax – минимальное и максимальное значение средневзвешенных показателей аналогов.
Если Q0 меньше Qmin ,то оцениваемая продукция уступает уровню качества данной группы аналогов, если Q0 ,больше Qmax – то превосходит.
Метод средневзвешенного показателя допускает в обоснованных случаях применение в формуле для его определения не суммы, а произведения или иной функции входящих в нее аргументов.
Третьей разновидностью комплексного показателя является метод, основанный на интегральном показателе.
Интегральный показатель качества J – это технико – экономический показатель качества продукции, основанный на сопоставлении суммарного полезного эффекта Э от эксплуатации или потребления продукции и суммарных затрат З на создание и эксплуатацию или потребление продукции:
J = Э/З=Э/(Зс +Зэ),
Где суммарный полезный эффект Э за срок службы продукции выражается в натуральной или денежной форме, а суммарные затраты З=Зс+Зэ выражаются в денежной форме, где Зс – капитальные затраты на создание(покупку) продукции, Зэ – сумма текущих затрат на эксплуатацию или потребление продукции за срок ее службы.
Недостатки интегрального показателя – трудность применения к изделиям сферы потребления, неприменимость для сырья и материалов, не учет эргономических, эстетических и некоторых других свойств. Он применим для изделий, эффект от эксплуатации которых выражается в натуральной или денежной форме.
При использовании комплексных показателей оценка является числом, поэтому вывод о сопоставленной оценке очевиден: оцениваемая продукция признается соответствующей уровню качества, определяемому данной группой аналогов. Если
Kmin ≤ KОП ≤ Kmax,
где KОП – комплексный показатель качества оцениваемой продукции;
Kmin , Kmax – минимальное и максимальное значение комплексного показателя качества аналогов.
Если КОП < Кmin ,то оцениваемая продукция уступает уровню качества данной группы аналогов, если КОП >К max, то превосходит его.
Обобщение дифференциального метода. Обобщение дифференциального метода оценки уровня качества продукции осуществляется в предложении. Что оценка осуществляется по двум показателям, причем оба эти показателя являются позитивными. Тогда каждому аналогу и оцениваемой продукции соответствует точка в двухмерном пространстве.
На рис.1.1. изображены три точки (х1,y2)(x2 ,y2) и (x2 ,y2).На основе этих точек может быть определена область соответствия, т.е. такая область. Попадание, в которую точки, соответствующей оцениваемой продукции, означает, что уровень качества оцениваемой продукции соответствует уровню качества группы аналогов. Если оцениваемая продукция попадает в нижнюю заштрихованную часть, то она уступает, если в верхнюю – превышает уровень аналогов область соответствия находиться между заштрихованными областями.
Рис.1.1 Двухмерная интерпретация оценки уровня качества
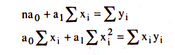
Определение этой области целесообразно осуществлять следующим образом. Вначале определяется зависимость вида
f(x)=a0 +a1 x,
определяющая прямую, аппроксимирующую точки(xi ,yi ),
i =1,…, n, где n – число аналогов, из условия, что величина
i)-yi )2
,минимальна. Для определения а0 и а1 необходимо приравнять
нулю частные производные этой суммы по а0 и а1.
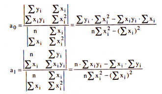
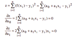
Запишем эти уравнения в стандартной форме:
Используя формулу Крамера для решения системы линейных уравнений, получаем:
Для решения задачи целесообразно исходные данные и результаты промежуточных расчетов представить в виде таблицы:
| Xi | yi | Xi2 | xiyi | |
| №1 | ||||
| …….. | ||||
| №n | ||||
| Σ |
Область соответствия представляет собой полоску между отрезками линий, параллельных найденной изложенным методом и проходящих через максимально удаленные от нее точки, соответствующие аналогам, по обе стороны от этой линии. Для определения этой области необходимо определить расстояния от точек, соответствующих аналогам, и выбрать из них максимальные с каждой из сторон.
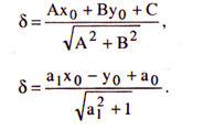
Если прямая задана уравнением стандартного вид Ах +Ву+С=0, то расстояние от точки (x0 ,y0) до этой прямой δ определяется по формуле
Знак перед корнем противоположен знаку С.
Расстояние δ положительно, если начало координат и точка (xi,yi) лежит по разные стороны от прямой. И отрицательно, если по одну сторону. Обозначим через δ+ максимальное отклонение точек с положительным расстояние, через δ- - с отрицательным, δ0 – отклонение точки, соответствующей оцениваемой продукции. Решение о соответствии уровня качества оцениваемой продукции в сопоставлении с аналогами принимается следующим образом:
δ0 < 0. В этом случае, если (δ0)≤
-, то оцениваемая продукция соответствует аналогам. Если (δ0) >δ- ,то продукции уступает аналогам.
δ0=0. Продукция соответствует аналогам.
δ0 >0.Если δ0≤ δ+, то оцениваемая продукция соответствует аналогам. Если δ0 > δ+, то продукция превосходит многие аналоги.
Проводиться кластеризация базовых изделий по трем уровням: высший, средний и низший.
Выбор базовых образцов высшего уровня осуществляется следующим образом: аналог не признается базовым изделием, если при сопоставлении с другим аналогом он уступает ему хотя бы по 1 одному показателю, не превосходя его пи по какому-либо из остальных; оба сопоставляемых аналога остаются для сопоставления с другими аналогами, если по одним показателям оказывается лучше один аналог, а по другим - другой. При этом значения некоторых показателей у этих аналогов могут совпадать. В результате попарного сопоставления всех аналогов остаются аналоги, каждый из которых не уступает ни одному из остальных по совокупности оценочных показателей. Эти аналоги являются базовыми объектами высшего уровня.
Выделение базовых объектов низшего уровня осуществляется следующим образом: аналог не признается базовым изделием, если при сопоставлении с другим аналогом он превосходит его, хотя бы по одному показателю, не уступая ему ни по какому-либо из остальных; оба сопоставляемых аналога остаются для сопоставления с другими аналогами, если по одним показателям оказывается хуже один аналог, а по другим - другой. При этом значения некоторых показателей у этих аналогов могут совпадать. В результате попарного сопоставления всех аналогов остаются аналоги, каждый из которых не превосходит ни один из остальных по совокупности оценочных показателей. Эти аналоги являются базовыми объектами низшего уровня.
В среднюю группу входят аналоги, оставшиеся после отбора аналогов, относящихся к высшей и низшей группам.
В зависимости от того, на каком уровне собирается конкурировать разработчик или изготовитель продукции, осуществляющий уровня качества своей продукции, выбираются аналоги высшего, среднего или низшего
С учетом сказанного выше могут быть систематизированы основные правила и положения по разработке методики оценки уровня качества.
1.Качество объекта характеризуется набором показателей X1, X2,…,Хр.
2.Уровень качества продукции оценивается на основе
составления ёе показателей с базовыми значениями. Относительная оценка качества продукции, полученная в результате сравнения значений показателей ёе качества с базовыми значениями соответствующих показателей, называется уровнем качества продукции.
3.Уровень качества можно рассматривать и оценивать по
совокупности всех свойств и в различных аспектах: функциональной пригодности, надежности, безопасности, технологичности, защиты окружающей среды, потребления ресурсов и т. п.
4. Результаты оценки уровня качества, а также конкурентоспособности объектов (технологических систем, продукции, услуг, интеллектуальных продуктов) могут служить для внутреннего использования на предприятии при решении задач общего руководства качеством в целях:
-
маркетинга, изучения рынков сбыта продукции;
-
обоснования требований, закладываемых в техническое задание (ТЗ) на разработку продукции и нормативную
документацию;
-выбора варианта при разработке новой или модернизируемой продукции;
-
принятия решения о постановке продукции на производство;
-
выбора поставщиков сырья, материалов и комплектующих
изделий;
















