75134-1 (704918), страница 4
Текст из файла (страница 4)
2) Моду (вариант, который чаще всего встречается в статистическом ряду). Она равна 6;
3) Медиану (зачение, которое расположено в середине ряди. Это такое значение ряда, которое делит его численность на две равные части). Медиана равна, также 6.
Построим кривую распределения (полигон) (рис. 3.8).
Рис. 3.8. Распределение ламп по продолжительности горения
Определим размах:
R = Хmax – Хmin = 4 часа.
Он характеризует пределы изменения варьирующего признака. Среднее абсолютное отклонение:
часа.
Это средняя мера отклонения каждого значения признака от средней.
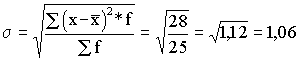
Среднее квадратическое отклонение:
часа.
Рассчитаем коэффициенты вариации:
1) по размаху:
;
2) по среднему абсолютному отклонению:
;
3) по среднему квадратическому отношению:
.
С точки зрения качества продукции, коэффициенты вариации должны быть минимальными.
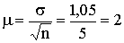
Так как завод интересует не качество контрольных ламп, а всех ламп, возникает вопрос о расчете средней ошибки выборки:
часа,
) и от числа от отобранных единицкоторая зависит от колеблемости признака ( (n).
= Предельная ошибка выборки
. Доверительное число t показывает, что расхождение не превышаетt* кратную ему ошибку выборки. С вероятностью 0,954 можно утверждать, что разность между выборочной и генеральной не превысит двух величин средней ошибки выборки, то есть в 954 случаях ошибка репрезентативности не выйдет за
2
Таким образом, с вероятностью 0,954 ожидается, что средняя продолжительность горения будет не меньше, чем 5,6 часа и не больше, чем 6,4 часа. С точки зрения качества продукции необходимо стремиться к уменьшению этих отклонений.
Обычно при статистическом контроле качества допустимый уровень качества, который определяется количеством изделий, прошедших контроль и имевших качество ниже минимально приемлемого, колеблется от 0,5% до 1% изделий. Однако, для компаний, которые стремятся выпускать продукцию только высшего качества этот уровень может быть недостаточным. Например, "Toyota" стремится свести уровень брака к нулю, имея в виду, что хотя и выпускаются миллионы автомобилей, но каждый покупатель приобретает лишь один из них. Поэтому наряду со статистическими методами контроля качества на фирме разработаны простые средства контроля качества всех изготавливаемых деталей (TQM). Статистический контроль качества в первую очередь применяется в отделениях фирмы, где продукция изготавливается партиями. Например, в лоток высокоскоростного автоматического процесса после обработки поступает 50 или 100 деталей, из которых контроль проходят только первая и последняя. Если обе детали не имеют дефектов, то все детали считаются хорошими. Однако, если последняя деталь окажется бракованной, то будет найдена и первая дефектная деталь в партии, а весь брак будет изъят. Для того, чтобы ни одна партия не избежала контроля, пресс автоматически отключается после обработки очередной партии заготовок. Применение выборочного статистического контроля имеет эффект всеобъемлющего тогда, когда каждая производственная операция выполняется стабильно благодаря тщательной отладке оборудования, использованию качественного сырья и т. д.
6. Значение стандартизации
Выше отмечено, что в современных условиях управление качеством во многом базируется на стандартизации. Стандартизация представляет собой нормативный способ управления. Ее воздействие на объект осуществляется путем установления норм и правил, оформленных в виде нормативного документа и имеющих юридическую силу.
Стандарт – это нормативно-технический документ, устанавливающий основные требования к качеству продукции.
Немаловажная роль в управлении качеством принадлежит техническим условиям (ТУ).
Технические условия – это нормативно-технический документ, устанавливающий дополнительные к государственным стандартам, а при их отсутствии самостоятельные требования к качественным показателям продукции, а также приравниваемые к этому документу техническое описание, рецептура, образец-эталон. Требования, предусмотренные в техническими условиями, не могут быть ниже, чем в государственных стандартах.
Система управления качеством продукции базируется на комплексной стандартизации.
Стандарты определяют порядок и методы планирования повышения качества продукции на всех этапах жизненного цикла, устанавливают требования к средствам и методам контроля и оценки качества продукции. Управление качеством продукции осуществляется на основе: государственных, международных, отраслевых стандартов и стандартов предприятий.
Государственная стандартизация выступает средством защиты интересов общества и конкретных потребителей и распространяется на все уровни управления.
ИСО серии 9000 гарантируют потребителю право более активно воздействовать на качество продукции; обеспечивают законодательную базу, предусматривающую активную роль потребителя в процессе изготовления качественной продукции.
ИСО 9000 используются для определения различий и взаимосвязей между основными понятиями в области качества и как представление руководящих положений по выбору и применению стандартов ИСО на системы качества, которые служат для внутреннего пользования на фирме при решении задач управления качеством ( ИСО 9004).
В нашей стране сформировалась Государственная система стандартизации Российской Федерации (ГСС), в которую включены пять основных стандартов?
1. ГОСТ Р 1.0-92 Государственная система стандартизации Российской Федерации. Основные положения.
2. ГОСТ Р 1.2-92 Государственная система стандартизации Российской Федерации. Порядок разработки государственных стандартов.
3. ГОСТ Р 1.3-92 Государственная система Российской Федерации. Порядок согласования, утверждения и регистрации технических условий.
4. ГОСТ Р 1.4-92 Государственная система Российской Федерации. Стандарты предприятия. Общие положения.
5. ГОСТ Р 1.5-92 Государственная система Российской Федерации. Общее требование к построению, изложению, оформлению и содержанию стандартов.
В России действуют три государственных стандарта:
1. ГОСТ 40.9001-88 “Система качества. Модель для обеспечения качества при проектировании и (или) разработке, производстве, монтаже и обслуживании”.
2. ГОСТ 40.9002.-88 “Система качества. Модель для обеспечения качества при производстве и монтаже”.
3. ГОСТ 40.9003-88 “Система качества. Модель для обеспечения качества при окончательном контроле и испытаниях”.
В Государственные стандарты Российской Федерации включены следующие положения:
требования к качеству продукции, работ, услуг, обеспечивающие безопасность для жизни, здоровья и имущества, охрану окружающей среды, обязательные требования техники безопасности и производственной санитарии;
требования совместимости и взаимозаменяемости продукции;
методы контроля требований к качеству продукции, работ и услуг, обеспечивающих их безопасность для жизни, здоровья людей и имущества, охрану окружающей среды, совместимость и взаимозаменяемость продукции;
основные потребительские и эксплуатационные свойства продукции, требования к упаковке, маркировке, транспортировке и хранению, утилизации;
положения, обеспечивающие техническое единство при разработке, производстве, эксплуатации продукции и оказании услуг, правила обеспечения качества продукции, сохранность и рациональное использование всех видов ресурсов, термины, определения и обозначения и другие общетехнические правила и нормы.
Для любой фирмы важно соблюдать установленные стандарты и поддерживать на соответствующем уровне систему качества.
Выводы
К управлению качеством необходим системный подход.
Система управления качеством представляет собой совокупность управленческих органов и объектов управления, мероприятий, методов и средств, направленных на установление, обеспечение и поддержание высокого уровня качества продукции.
Система управления качеством должна удовлетворять стандартам ИСО 9000.
Контроль качества предполагает выявление бракованных изделий.
Большую роль в контроле качества играют статистические методы, применение которых требуется в стандартах ИСО 9000 при оценке систем менеджмента качества.
В контроле качества с успехом применяются контрольные карты. Контрольная карта состоит из центральной линии, двух контрольных пределов (над и под центральной линией) и значений характеристики (показателя качества), нанесенных на карту для представления состояния процесса. Контрольные карты служат для выявления определенной причины (не случайной).
Схема Исикава (диаграмма причин и результатов) состоит из показателя качества, характеризующего результат и факторных показателей.
Диаграммы Парето служат для выявления немногочисленных, существенно важных дефектов и причин их возникновения.
Список литературы
Для подготовки данной работы были использованы материалы с сайта http://www.cfin.ru/














