75108-1 (704906), страница 4
Текст из файла (страница 4)
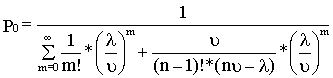
, (8.23)
где Р0 – вероятность, что все обслуживающие аппараты (комплексные бригады) свободны и равны.
, (8.24)
Потери (убытки) в сутки, вызванные простоем автомобилей, определяем в приведенных затратах:
Ra = Gож * Эф, (8.25)
где Эф – убытки в результате простоя автомобиля за час, руб.
В связи с простоем укрупненных бригад, обслуживающих базу, а с ними и расходы по базе, связанные с простоем бригады, определяем из
Rб = Эб * М2, (8.26)
где Эб – убытки часа простоя бригады; М2 – математическое ожидание числа простаивающих бригад в ожидании погрузки автомобилей.
Для производства соответствующих расчетов с помощью математического аппарата теории массового обслуживания необходимо определить значение параметров.
Параметр , характеризующий среднее число автомобилей, прибывающих на базу в течение рабочего дня, определяется по формуле:
(автомобиля),
где Qсут – суточный грузооборот, т; nс – количество ездок автомобилей; – коэффициент использования грузоподъемности; q – грузоподъемность автомобиля, т.
Чтобы определить значение параметра , необходимо предварительно рассчитать средний простой автомобилей под погрузкой tпр под грузовыми и вспомогательными операциями.
Время простоя под грузовыми операциями автомобиля определяем из уравнения:
, (8.27)
где tпр – продолжительность нахождения автомобиля под погрузкой, ч; W – производительность комплексной бригады.
Таблица 4
Время простоя автомобиля и значение параметра и в зависимости от производительности комплексной бригады
| Производительность комплексной бригады в час, т, W | Время простоя автомобиля, ч | Параметр u |
| 25 | 0,090 | 11 |
| 30 | 0,075 | 13 |
| 40 | 0,056 | 18 |
| 60 | 0,037 | 30 |
Зная параметры и , определяем число бригад, принимая во внимание, что производительность в час равна 40 т, из соотношения . Поскольку = 54/18 = 3, то минимальное число бригад будет равно четырем.
Таким образом, рассмотрим транспортный процесс с четырьмя бригадами. Начнем с вычисления вероятности того, что в момент прибытия автомобилей под погрузку обслуживающие бригады свободны (формула 8.24):
.
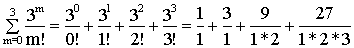
Рассчитаем первое слагаемое:
=1+3+4,5+4,5=13.
Второе слагаемое:
,
откуда
.
Теперь вычислим вероятность того, что в момент прибытия очередного автомобиля под погрузку все комплексные бригады заняты (формула 8.20):
.
Среднее время ожидания одним автомобилем начала погрузки вследствие занятости бригад определяем по формуле (8.21):
.
Поскольку среднесуточное количество автомобилей, прибывающих на базу под погрузку, составляет 54, то простой автомобилей за смену в ожидании погрузки составит:
= Gож * = 0,028 * 54 = 1,512 автомобиле-часов,
а потери (убытки) в сутки, вызванные простоем автомобилей, в приведенных затратах по формуле (8.25) равны:
Rа =
– Эа= 1,512 * 0,412 = 0,62 тыс. руб.,
где Эа – убытки простоя автомобиля за час, тыс. руб.
Определим математическое ожидание числа простаивающих бригад в ожидании погрузки автомобилей при m = 4 по формуле (8.23):
Следовательно, в сутки будет простаивать одна бригада, а расходы предприятия, связанные с простоем бригады, по формуле (8.26) составят:
Rб = M2 * Эб = 1 * 3,0 = 3,0 тыс. руб./ч,
где Эб – убытки часа простоя бригады, равные 3 тыс. руб.
Произведенные расчеты показывают, что убытки по предприятию, вызванные простоем автомобилей и простоем бригад, составят:
R = Ra + Rб = 0,62 +3,0 = 3,62 тыс. руб./ч.
Данные аналогичных расчетов вариантов с пятью и шестью комплексными бригадами приведены в табл. 5.
Таблица 5
| Количество бригад, х | Gож | М2 | Ra | Rб | R |
| 4 | 1,512 | 1 | 0,62 | 3,00 | 3,620 |
| 5 | 0,7182 | 2 | 0,295 | 6,00 | 6,295 |
| 6 | 0,108 | 3 | 0,045 | 9,00 | 9,045 |
Из приведенных расчетов видно, что оптимальным вариантом является загрузка автомобилей четырьмя бригадами. Следовательно, оптимальная численность транспортно-складских рабочих составит 16 человек (4х4).
Отсутствие грузчиков, в равной мере как и отсутствие погрузочно-разгрузочных механизмов, влияет на использование производительности подвижного состава, приводит к большим простоям, отсюда ведет к убыткам транспортной организации и к увеличению количественного состава автомобилей. Поэтому определение оптимального количества транспортно-складских рабочих имеет большое значение для фирм, транспортных и сбытовых организаций. Мы рассмотрели только некоторые вопросы грузовой и коммерческой работы. Однако их решение позволит повысить эффективность продвижения материалопотока, улучшить взаимодействие снабженческо-сбытовых и автотранспортных организаций, а также использование машин и механизмов, повысить прибыль на предприятиях оптовой торговли.
Список литературы
Для подготовки данной работы были использованы материалы с сайта http://www.cfin.ru/















