75103-1 (704901), страница 2
Текст из файла (страница 2)
Показатели технологичности конструкции изделий этим ÃÎÑÒîì классифицируются следующим образом: по области проявления – на производственные и эксплуатационные; по области анализа – на технические и технико-экономические; по системе оценки – на базовые и разрабатываемые конструкции; по значимости – на основные и дополнительные; по числу характеризуемых признаков – на частные и комплексные; по способу выражения – на абсолютные и относительные.
Разработка технологических процессов
Для служб ТПП исходным документом является приказ руководителя предприятия, в котором определяется поэтапное выполнение мероприятий по технологической подготовке к выпуску изделия. На основании приказа планово-производственный отдел (ППО) предприятия составляет сетевой или комплексный план-график, в котором устанавливает этапы освоения изделия, перечень работ по ТПП и продолжительность их выполнения, состав подразделений-исполнителей и ответственных исполнителей по каждому подразделению.
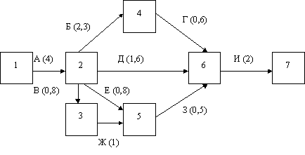
Примерный сетевой график показан на схеме 1: какие процессы, в какой очередности и в какие сроки должны быть осуществлены для реализации проекта. Исходные и результирующие данные в табл.1 и 2.
Таблица 1
Элементы проекта и время на их выполнение
| Процесс | Время осуществления, неделя | Предшествующий процесс |
| А. Изготовление рабочего чертежа | 4,0 | |
| Б. Изготовление модели для литейной формы для корпуса | 2,3 | A |
| В. Обточка шестерен | 0,8 | A |
| Г. Отливка и обработка корпуса под давлением | 0,6 | Б |
| Д. Заготовка и проверка подшипников, сальников и специальных деталей | 1,6 | A |
| Е. Обточка валов | 0,8 | A |
| Ж. Зубофрезерование | 1,0 | В |
| 3. Термообработка | 0,5 | Ж, Е |
| И. Сборка | 2,0 | Г, Е, 3 |
На схеме 13.7 все отдельные процессы объединены в общий проект в форме сетевого плана. При этом "узлы"– это места остановки производственного процесса. Они так пронумерованы, что из двух связанных стрелой узлов последующий имеет более высокий порядковый номер. Проект имеет 4 пути, время осуществления каждого дано в схеме 13.8. Путь, требующий наибольшего времени (на схеме 13.8 – 8,9 недели), можно определить как "критический путь". Можно выявить минимальное время, необходимое для реализации проекта. Другие пути показывают буферное время: 1,3; 1,6; 0,6 недели.
Схема 1. Сетевой план
Таблица 2
Критический путь
| Путь | Необходимое время |
| 1–2–4–6–7 | 4,0 + 2,3 + 0,6 + 2,0 = 8,9 |
| 1–2–6–7 | 4,0 +1,6+2,0 = 7,6 |
| 1–2–5–6–7 | 4,0 + 0,8 + 0,5 + 2,0 = 7,3 |
| 1–2–3–5–6–7 | 4,0 + 0,8 + l,0+ 0,5 + 2,0 = 8,3 |
При согласовании плана-графика соответствующими подразделениями и службами производится организационно-технический анализ производства, который включает: конструктивно-технологический анализ изделия; анализ существующих производственных мощностей и площадей; оснащенности производства технологическими процессами, оборудованием и оснасткой, а также анализ уровня механизации и автоматизации производственных процессов. При этом учитывают программу, номенклатуру осваиваемого изделия и организационно-техническую структуру предприятия.
Выполнение работ по ТПП учитывает ППО с целью получения информации о состоянии ТПП за любой календарный отрезок времени и использования ее для контроля за выполнением работ.
Для проведения учета используют следующие данные: номенклатуру выполненных работ; фактическую продолжительность выполнения работ; последовательность выполнения работ; движение трудовых и материальных ресурсов.
Периодичность и порядок ведения учета, выдачи, приема и хранения учетной документации определяются конкретными условиями производства и устанавливаются предприятием, осуществляющим ТПП. Учетная информация должна формироваться в соответствии со специализацией служб ТПП и быть достаточной для анализа и принятия решения всеми специализированными службами.
При наличии отклонений от установленных критериев принимают оптимальное решение по их устранению, а затем регулируют ход ТПП.
Предложения по уточнению планов работ с целью проведения регулирования процесса ТПП вносятся контролирующим органом – ППО. Изменения, вносимые в плановую документацию, утверждает руководство предприятия, осуществляющего ТПП. В процессе регулирования необходимо учитывать: затраты ресурсов на реализацию принимаемых решений, влияние этих решений на работу смежных подразделений и дальнейший ход ТПП.
Достижение единых технических требований к продукции (в т. ч. международных) осуществляется за счет их гармонизации на основе сертификации продукции и системы качества ее производства *. Сертификация в зависимости от статуса может быть обязательной и факультативной. Обязательной сертификации подлежит продукция, в НТД на которую имеются требования по безопасности и экологической совместимости. Сертификация продукции по эксплуатационным свойствам проводится по требованию потребителей или желанию производителя, в коммерческих целях. При подготовке к сертификации в коммерческих целях предприятие-изготовитель на основании маркетинговых исследований и технико-экономического анализа производства уточняет эксплуатационные свойства (показатели) продукции, при этом, как правило, их изменяют (повышают или в отдельных случаях понижают) исходя из запросов потребителей и декларируют в стандартах или технических условиях. Предприятие, для обеспечения высокой конкурентоспособности, должно максимально стремиться информировать потребителя о действительных различиях между своей продукцией и продукцией конкурентов.
С учетом рыночной ситуации любое изделие, как бы проходит цикл из четырех этапов: этап выведения на рынок; этап роста; этап зрелости; этап упадка. Этап выведения на рынок характеризуется медленным ростом сбыта и минимальными прибылями пока изделие проталкивают по каналам распределения. В случае успеха изделие вступает в этап роста, для которого характерны быстрый рост сбыта и увеличение прибылей. На этом этапе предприятия стремятся усовершенствовать изделие, проникнуть в новые сегменты рынка и каналы распределения, а также немного снизить цены. Затем следует этап зрелости, в рамках которого рост сбыта замедляется, а прибыли стабилизируются. Для оживления сбыта предприятия изыскивают различные новаторские приемы, предусматривающие в частности модификацию рынка, модификацию изделия и модификацию комплексного маркетинга. И, наконец, изделие вступает в стадию упадка, когда сбыт и прибыли сокращаются. Задача предприятия на этом этапе состоит в выявлении "дряхлеющих изделий" и принятия в отношении каждого из них решения либо о продолжении выпуска, либо о "понижении плодов", либо об исключении его из номенклатуры. В последнем случае изделие могут продать другому предприятию или просто снять с производства.
Общие правила разработки технологических процессов определяются ГОСТом 14.301–83.
Этим ГОСТом установлено три вида технологических процессов: единичный, типовой и групповой.
Технологический процесс разрабатывается для изготовления или ремонта изделия или для совершенствования действующего технологического процесса. Разрабатываемый технологический процесс должен быть прогрессивным. Прогрессивность технологического процесса оценивается показателем, устанавливаемым отраслевой системой аттестации технологических процессов. Технологический процесс должен соответствовать требованиям техники безопасности и промышленной санитарии.
Документы на технологические процессы следует оформлять в соответствии с требованиями стандартов "Единой системы технологи ческой документации"(ЕСТД). Исходная информация для разработки технологических процессов подразделяется на базовую, которая включает данные, содержащиеся в конструкторской документации на изделие, и программу выпуска этого изделия; руководящую, содержащую данные, которые находятся в следующих документах: отраслевых стандартах, устанавливающих требования к технологическим процессам, а также в стандартах на оборудование и оснастку; документации на действующие единичные, типовые и групповые технологические процессы; классификаторах технико-экономической информации; производственных инструкциях; материалах по выбору технологических нормативов (режимов обработки, припусков, норм расхода материалов и других); документации по технике безопасности и промышленной санитарии; справочную, включающую данные, которые содержатся в следующих документах: описаниях прогрессивных методов изготовления и ремонта; каталогах, паспортах, справочниках, альбомах; планировках производственных участков.
Основными этапами разработки технологических процессов являются: анализ исходных данных; выбор действующего типового, группового технологического процесса или поиск аналога единичного процесса; выбор исходной заготовки и методов ее изготовления; выбор технологических баз; составление технологического маршрута обработки; разработка технологических операций; нормирование технологического процесса; определение требований техники безопасности; расчет экономической эффективности технологического процесса; оформление технологических процессов.
Типовой технологический процесс должен быть рациональным в конкретных производственных условиях и разрабатываться на основе анализа множества действующих и возможных технологических процессов на производство типовых представителей групп изделий. Типизация технологических процессов базируется на классификации объектов производства и осуществляется на трех уровнях: государственном, отраслевом и на предприятии. Классификатор деталей (изделий) должен создаваться с использованием ЭВМ. Для этой цели в память ЭВМ необходимо ввести такую конструкторскую информацию: номер чертежа детали, вид и марку материала и его массу, габаритные размеры детали; вид поверхностей – плоскость, цилиндр, отверстие, резьба, зубчатая поверхность, шар, криволинейная поверхность и т. п. и их размеры; шероховатость поверхности и точность обработки и другие параметры. Все эти параметры должны быть закодированы.
Сортирование этих параметров (от высших к низшим) дает возможность создать группы деталей, сходных по конструкции и технологии их обработки, для которых возможно применение типовых технологических процессов, являющихся основой для разработки конкретных процессов.
Основные этапы разработки типовых технологических процессов определены ГОСТ 14.303–73*; к ним относятся: классификация объектов производства, их количественная оценка и анализ конструкций типовых представителей; выбор заготовки и методов ее изготовления; выбор технологических баз и вида обработки; разработка технологического маршрута и операций; расчет точности, производительности и экономической эффективности вариантов и оформление типовых технологических процессов.
Необходимость каждого этапа, состав задач и последовательность их решения определяются разработчиком типового технологического процесса.
Типовой технологический процесс может быть оперативным, отражающим прогрессивное состояние технологии в настоящий момент времени, и перспективным, предусматривающим его дальнейшее совершенствование с учетом развития науки и техники в области технологии.
Дальнейшим развитием типизации технологических процессов является разработка групповой технологии2, которая наиболее эффективна при небольших партиях обрабатываемых деталей и частой переналадке оборудования.
Групповой технологический процесс предназначен для совместного изготовления или ремонта группы изделий различной конфигурации.
















