63541 (695369), страница 2
Текст из файла (страница 2)
называют интенсивностью (опасностью) отказов. Таким образом, интенсивность отказов в момент времени t представляет собой вероятность отказов в единицу времени при условии, что до момента времени t отказов не было.
Зависимость интенсивности отказов от времени может быть определена экспериментально (рис. 7.1). Анализируя полученную кривую I, снятую, допустим, при испытаниях в нормальных условиях, можно отметить три временных интервала: 1) от 0 до t1 — время приработки (1—1,5%) всего времени испытаний, 2) от t1, до t2 — время нормальной работы, 3) от t2 до °° — время старения. Время приработки характеризуется повышенным числом отказов и определяется проявлением технологических и производственных дефектов, время нормальной работы — высокой надежностью испытуемых изделий (интенсивность отказов на этом интервале практически постоянна).
При ослаблении (кривая 2) или ужесточении (кривая 3) условий испытаний зависимость λ(t) изменится, но три характерных временных интервала сохранятся.
Полученные ранее зависимости вероятности безотказной работы P(t) от интенсивности отказов λ(t) называют экспоненциальным законом изменения P(t), т. ё.
или
, если λ = const. Этот закон имеет место в случае учета внезапных отказов.
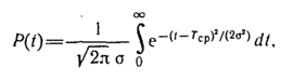
Известны и другие законы изменения P(t): 1) нормальный закон, или распределение Гаусса (для постепенных отказов),
где σ - дисперсия среднего времени безотказной работы; Тср - среднее время безотказной работы; 2) закон Вейбулла (при определении надежности электромеханических элементов)
. 3) закон Эрланга (при определении надежности восстанавливаемых изделий)
Один из важнейших числовых параметров надежности - среднее время безотказной работы, который определяется как математическое ожидание случайной величины, т.е.
где q(t)- плотность вероятности отказа. Преобразуем этот интеграл к следующему виду, решив его по частям:
Или
В общем случае интенсивность отказов λ1, зависит как от времени t, так и от параметров, характеризующих режим работы (U, I, W) и условия эксплуатации аппаратуры
Исходя из анализа физических и физико-химических процессов, являющихся причинами возникновения отказов определим зависимость λ1, от режимов работы.
Число отказов при прерывистом режиме работы элементов зависит как от времени их действительной работы tр так и от числа циклов работы N, т.е.
. Бесконечно малое приращение числа отказов определим как полный дифференциал:
Так как mx = N0- Nx и, следовательно dmx = -dNx, то после деления обеих частей на Nx имеем
и учитывая, что при t=0 N=0 и Nx=N0, получим
Освободившись от логарифмов, имеем:
Если примем, что λ1 = const и λN = const, то
здесь
- время, прошедшее с начала работы изделия;
- время цикла, f = N / t - частота циклов.
Так как во время пауз имеют место отказы, то вероятность безотказной работы во время пауз можно определить как
Вероятность отсутствия отказов за время t при прерывистой работе
где
Интенсивность отказов также существенно зависит от режима использования элемента в конкретных функциональных блоках машины, условий окружающей среды и в общем случае равна
где λ0 —значение интенсивности отказов, полученное в нормальных условиях;
- поправочные коэффициенты, соответственно учитывающие зависимость интенсивности отказов от значения электрической нагрузки;
— поправочные коэффициенты, учитывающие прочие факторы режима использования и условий окружающей среды.
Значение интенсивности отказов λ0 определяется при температуре окружающей среды 15-35°С, атмосферном давлении (100
4) Па; относительной влажности
(65
15)%; естественном фоне радиации; коэффициенте электрической нагрузки Кн = 1. Для случая, когда известны интенсивности отказов
, отдельных элементов, составляющих конструкцию, интенсивность отказов последней определяется по формуле
где
—интенсивность отказов і-го элемента; n - количество элементов.
Рассмотренные критерии надежности позволяют достаточно полно оценить надежность невосстанавливаемых устройств и восстанавливаемых устройств до первого отказа.
Большинство современных ЭВМ относят к восстанавливаемым изделиям, количество элементов которых остается постоянным в течение всего срока службы, так как каждый из отказавших элементов заменяют новым. Поэтому при определении показателей надежности ЭВМ можно рассматривать как работающую непрерывно, но в которой время от времени возникают отказы (время исправной работы до очередного отказа и время восстановления случайны). На временной оси чередование времени исправной работы и времени восстановления может быть представлено в виде отрезков, длина которых случайна. Критерии надежности восстанавливаемых ЭВМ — параметр потока отказов w(t); наработка на отказ Т; параметр потока восстановлений μ(t); среднее время восстановления Тв, коэффициент готовности Кr; коэффициент вынужденного простоя Кn.
При оценке надежности восстанавливаемых ЭВМ можно использовать или статистические характеристики случайного времени работы от момента восстановления предыдущего отказа до последующего, или статистические характеристики числа отказов за выбранное время наработки. Предположим, что для определения показателей надежности аппаратуры наблюдают за эксплуатацией N образцов ЭВМ в течение времени t, фиксируя число mi,(t) отказов каждого образца. Среднее число отказов за время
В число mi(t) входят как первоначальные отказы, так и отказы, возникающие после восстановления или замены отказавших элементов. Появление отказов в каждом из образцов аппаратуры можно рассматривать как поток требований к обслуживанию, в данном случае к восстановлению. Характеристику этого потока определяют как
По значению функции H(t) вычисляют параметр потока отказов. Уравнение для этих вычислений имеет вид
На практике используют другое уравнение, позволяющее определить приближенное значение параметра потока отказов:
где ∆t— достаточно малый промежуток времени.
Для ЭВМ характерен так называемый период приработки, который заканчивается к моменту времени t0. В. этом случае характеристика потока отказов становится линейной и уравнение кривой H(t) может быть записано следующим образом:
где
— постоянная величина.
Используя (7.1), можно определить параметр потока отказов:
В ЭВМ поток отказов равен сумме потоков отказов отдельных устройств. Если каждый в отдельности поток оказывает на суммарный поток достаточно равномерное и небольшое влияние, то суммарный поток будет простейшим. Простейший поток должен удовлетворять условиям стационарности, отсутствию последействия и ординарности. Стационарность потока означает, что вероятность появления ровно k отказов за промежуток времени t0 - (t0 + t) не зависит от t0 и является функцией переменных t и k.
Отсутствие последействия потока состоит в том, что вероятность появления k отказов в течение промежутка времени t0 - (t0 + t) не зависит от того, сколько было отказов и как часто они возникали до этого промежутка времени. Ординарность потока выражает условие практической невозможности появления двух или нескольких отказов в один и тот же момент времени.
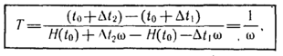
Основной тип потока отказов в ЭВМ, работающей в стабильных условиях эксплуатации, - простейший поток. Основной показатель надежности восстанавливаемых изделий — наработка на отказ Т, определяемая как среднее значение наработки ЭВМ между отказами. В тех случаях, когда наработка на отказ выражена в единицах времени, используется и другой термин — среднее время безотказной работы. Для интервала времени от наработки t1, до наработки t2 точное уравнение для вычисления наработки на отказ Т имеет вид
где H(t) - характеристика потока отказов.
Для практических расчетов обычно используют приближенное уравнение
Нетрудно убедиться, что по окончании периода приработки, когда характеристика потока становится линейной, наработка на отказ не зависит от выбора значений наработки t1, и t2.
Представим, что
. Используя (7.2) и (7.3), получим
где
—параметр потока отказов.
Предполагая независимость наработки на отказ от времени, Можно получить соотношение для вычисления величины Т по данным эксплуатации одной ЭВМ:
где ti - наработка между соседними отказами; n - число отказов за наблюдаемый период эксплуатации.
Точность определения времени наработки на отказ по приведенной выше формуле будет тем больше, чем больше число зафиксированных отказов.
Для повышения достоверности можно использовать данные об отказах нескольких образцов аппаратуры, которые эксплуатируются в сходных условиях:















