62503 (695055), страница 2
Текст из файла (страница 2)
Рассмотрим структурную реализацию алгоритмов автоматической установки параметров стимулов в БТС противоболевой электронейростимуляции.
Автоматическое управление частотой заполнения стимула при чрескожном воздействии можно осуществить на основе предварительного измерения частотных свойств биологических тканей в зоне стимуляции, определения значения граничной частоты адекватного диапазона спектральных составляющих стимула и формирования несущей частоты стимула в этом диапазоне. Определение граничных частот спектра стимула можно провести с помощью измерения сдвига фаз между стимулирующим током и напряжением. Фазовая характеристика биологических тканей, имеет экстремум, приходящийся на минимум активных потерь тока в тканях, т.е. находящийся в диапазоне адекватных частот спектра стимула.
Структурная схема управления частотой заполнения стимула, основанная на анализе фазовой характеристики тканей, показана на рис. 3. Тактовый генератор 1 вырабатывает короткие импульсы U1, запускающие генератор пилообразного напряжения 2. Линейно возрастающее напряжение U2 вызывает плановое изменение частоты генератора 3, сигнал с которого поступает на формирователь стимула 4, вырабатывающий импульсное напряжение U3. Через усилитель стимула 5 и измеритель тока стимуляции 6 воздействие прикладывается к электродам 7, расположенным на коже пациента. Фазометр 8 осуществляет формирование напряжения U4, пропорционального сдвигу фаз между напряжением и током стимуляции в течение действия стимула. В момент, когда напряжение U4 проходит через максимум, схема выделения максимума 9 генерирует короткий импульс напряжения U5. Этот сигнал воздействует на генератор пилообразного напряжения 2, вызывая остановку изменения напряжения на его выходе и запоминание этого напряжения до следующего такта работы.
Рисунок 3 – Структурная схема (а) и временные диаграммы (б) автоматического управления частотой заполнения стимула.
Процесс изменения частоты генератора заполнения 3 прекращается, поскольку фазовый сдвиг достигает максимального значения, соответствующего области адекватных частот заполнения. Поиск частоты генератора заполнения будет производиться в начале каждого такта работы, длительность которого определяется периодом напряжения U1. При изменении параметров биологической ткани будет изменяться фазовое соотношение между стимулирующим током и напряжением и устанавливаться новая частота заполнения, соответствующая области адекватных частот.
Определение граничной частоты спектра стимула и формирование адекватного сигнала стимуляции можно произвести методом избирательной фильтрации. Структурная схема, реализующая данный метод, показана на рис4.
Рисунок 4 – Структурная схема реализации метода избирательной фильтрации
Формирование адекватного стимула осуществляется путем пропускания широкополосного сигнала генератора 1, имеющего равномерный спектр в области возможных несущих, частот стимула, через перестраиваемый избирательный фильтр 2. Колоколообразная частотная характеристика фильтра обеспечивает на выходе формирование амплитудно-модулированного сигнала. Несущая частота этого колебания определяется частотой настройки фильтра 2, а импульсная периодичность — периодичностью сигналов генератора 1. Полученный на выходе фильтра 2 сигнал через коммутатор 3, усилитель 4 и измерительную схему 5 прикладывается к электродам 6, расположенным на коже пациента. Частота настройки фильтра 2 устанавливается следующим образом. Тактовый генератор 7 с определенной периодичностью переводит схему в режим управления. При этом коммутатор 3 подключает к цепи электродов широкополосный сигнал от генератора 1. Отклик биологической ткани на широкополосный сигнал через измерительную схему 5 подается на вход узкополосного фильтра 10. С помощью тактового генератора 7 осуществляется периодическое сканирование частоты его настройки. Напряжение на выходе фильтра 10 усиливается с помощью усилителя 9 и поступает на формирователь управляющего напряжения 8, который запоминает значение напряжения сканирования фильтра 10 в момент максимального значения производной напряжения на выходе усилителя 9. Запомненное напряжение с выхода формирователя 8 подается на управляющий вход фильтра 2 и определяет частоту его настройки и, тем самым, несущую частоту стимула. Таким образом, несущая частота стимула оказывается связанной с участком наибольшей крутизны частотной характеристики биологической ткани, определяющей положение граничной частоты спектра адекватного стимула. Алгоритм установки длительности стимулов основан на зависимости длительности адекватного стимула от величины времени релаксации тока в тканях, окружающих электроды.
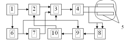
Формирование адекватной длительности стимулов, при которой достигается минимизация пороговой энергии стимуляции и поддержание этих условий в процессе длительного воздействия, требует контроля величины времени релаксации тока в зоне расположения электродов и введения управления в формирователь длительности стимулов. Структурная схема, реализующая данный принцип управления длительностью стимула, показана на рис. 5. Задающий генератор I определяет частоту следования стимулов, длительность которых задается в управляемом формирователе 2, связанном через коммутатор 3 и усилитель 4 с электродами 5, расположенными на участке биологической ткани. Сигнал тактового генератора 6, синхронизированный с импульсами стимуляции, переводит устройство в режим управления. В этом режиме на электроды 5 подается сигнал с формирователя измерительного импульса 7, представляющий собой импульс с прямоугольной огибающей. Возникающее на электродах под действием измерительного импульса экспоненциально возрастающее напряжение поступает на измеритель переходного процесса 8, который формирует временной интервал, соответствующий времени нарастания входного напряжения, т.е. контролируемой величине времени релаксации тока. Для сохранения измеренного значения на весь период управления служит запоминающее устройство 9, сбрасываемое в начале каждого такта управления сигналом тактового генератора 6. Выход запоминающего устройства 9 через устройство управления 10 связан с управляющим входом формирователя длительности стимула 2. Таким образом, длительность стимулов в режиме стимуляции устанавливается в соответствии с измеренным значением времени релаксации тока в тканях в предыдущем периоде управления. Период управления выбирается достаточно большим по сравнению с длительностью измерительного импульса и периода стимуляции. Для отслеживания изменений релаксационных свойств ткани в процессе стимуляции достаточно выбрать период управления равным 2...4 с, а длительность измерительного импульса 1,5...2,0 мс. Достоинством данной схемы является использование одной пары электродов для стимуляции и контроля параметров, что упрощает построение технического звена БТС.
Рисунок 5 – Структурная схема автоматического управления длительностью стимула
Рассмотренные алгоритмы автоматического управления параметрами противоболевой электронейростимуляции позволяют сохранить адекватность воздействия в условиях изменения свойств биологических тканей, окружающих электроды. Следовательно, БТС, функционирующая по данным алгоритмам, приобретает свойство адаптивности, позволяющее сохранить эффективность воздействия при длительной стимуляции. В то же время автоматическая установка параметров стимула предотвращает адаптацию возбуждаемых нервных структур за счет периодического изменения параметров стимула, обусловленного изменением импедансных свойств тканей, в зоне расположения электродов. Преодоление адаптации возбуждаемых структур позволяет добиться стойкого анальгетического эффекта при длительном обезболивании.
ЛИТЕРАТУРА
-
Системы комплексной электромагнитотерапии: Учебное пособие для вузов/ Под ред А.М. Беркутова, В.И.Жулева, Г.А. Кураева, Е.М. Прошина. – М.: Лаборатория Базовых знаний, 2000г. – 376с. 2000
-
Электронная аппаратура для стимуляции органов и тканей /Под ред Р.И.Утямышева и М.Враны - М.: Энергоатомиздат, 2003.384с.. 2003
-
Ливенсон А.Р. Электромедицинская аппаратура. :[Учебн. пособие] - Мн.: Медицина, 2001. - 344с. 2001
-
Катона З. Электроника в медицине: Пер. с венг. / Под ред. Н.К.Розмахина - Мн.: Медицина 2002. - 140с. 2002















