62456 (695037), страница 2
Текст из файла (страница 2)
Для обеспечения эквивалентности методов испытаний широкополосным сигналом и синусоидальным с изменяющейся частотой должно выполнять условие:
, (8)
где grad(j) - градиент ускорения, g-c1/2
σ - среднее квадратическое ускорение вибрации в узкой полосе частот, g
f - центральная частота полосы, Гц
Степень жесткости испытаний определяется сочетанием:
-
диапазон частот;
-
ширина сканирующей полосы частот;
-
градиента ускорения;
-
длительность испытаний.
Градиент ускорения определяется:
(9)
где G(f) - спектральная плотность ускорения при испытании методом ШСВ.
Длительность испытания
(10)
где tш - длительность испытаний ШСВ.
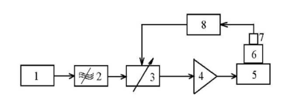
Структурная схема испытаний методом случайной вибрации со сканированием полосы частот (рисунок 6).
Рисунок 6 - Структурная схема испытаний методом случайной вибрации со сканированием полосы частот:
1 - генератор;2 - полосовой фильтр; 3 - усилитель с автоматическим регулированием уровня; 4 - усилитель мощности; 8 – виброизмерительная аппаратура
Испытательное оборудование для испытаний на воздействие вибраций
В лабораторных условиях испытания на вибрационные нагрузки проводят на вибростендах, входящих в состав вибрационных установок. Основные требования, которым должны удовлетворять виброустановки - это возможность получения гармонической вибрации в требуемом диапазоне частот и ускорений, устойчивость и надежность в работе.
Виброустановки классифицируются:
1. По способу возбуждения вибрации:
-
механические с кинематическим и центробежным возбуждением;
-
электродинамические,
-
электромагнитные,
-
гидравлические,
-
гидромеханические,
-
гидроэлектромагнитные,
-
пьезоэлектрические и др.
2. По частотным диапазонам воспроизводимой вибрации:
-
низкочастотные и высокочастотные,
-
узкополосные и широкополосные.
3. По методу поведения испытаний:
• на фиксированных частотах и качающейся частоте;
• на ШСВ и сканированием полосы частот.
4. По предельным значениям основных параметров в заданном диапазоне частот:
-
силе возбуждения,
-
выталкивающему усилию,
-
перемещению,
-
скорости.
5. По кинематическим и конструктивным признакам:
-
для создания возвратно-поступательной или угловой вибрации;
-
для воспроизведения вибрации в одном или нескольких направлениях (одно- и многокомпонентные) и другие.
Наиболее практическое применение в настоящее время находят электродинамические вибрационные установки.
Виброустановки с механическим возбуждением является низкочастотными. Они используются для испытаний в диапазоне частот от 100 Гц в основном тяжёлых или крупногабаритных изделий массой до 100 кг.
Установки с электромагнитным возбуждением, в основном, используются для испытаний на фиксированных частотах 50 и 100 Гц. Достоинство: практически полное отсутствие магнитных полей в зоне испытаний. Недостаток: искажение синусоидальной формы колебаний.
Установки с гидравлическим возбуждением весьма эффективны на очень низких частотах (0,01÷1 Гц) с большими значениями возбуждающего усилия до 106 H для изделий большой массы.
Пьезоэлектрические установки работают в области ВЧ большее 1000 Гц при очень малой грузоподъёмности (0,5 ÷ 1 Н).
Установки с электродинамическим возбуждением отличают широкий диапазон воспроизводимых частот, высокая направленность вибрации, низкий коэффициент нелинейных искажений, небольшие магнитные поля в зоне испытаний. Применение специальной аппаратуры управления позволяет реализовать все основные режимы испытаний.
Структурная схема ЭВУ показана на рисунке 7.
Рисунок 7 - Структурная схема ЭВУ:
1 - устройство управления вибрационной установки;
2 - усилитель мощности; 3 - согласующее устройство; 4 - вибростенд;
5 - преобразователь; 6 - измерительная аппаратура.
Типовая конструкция ЭД вибростенда имеет вид (рисунок 8):
Р
исунок 8 - Типовая конструкция ЭД вибростенда: 1 - испытываемое изделие; 2 - стол вибростенда; 3 - подвеска;
4 - магнитный экран; 5 - подвижная катушка; 6 - магнитопровод;
7 - магнитный поток; 8 - катушка подмагничивания; 9 - основание.
Обозначение вибростенда:
грузоподъёмность
УВЭ 5/1000
макс. воспроизводимая частота
При проведении испытаний для крепления изделий к столу вибростенда используют различные дополнительные приспособления. Требования к ним:
-
крепление изделия должно осуществляться тем же способом, что и при эксплуатации;
-
fO приспособления больше в 1,5 ÷ 2 раза верхнего значения частоты
вибрации; -
центр тяжести совпадает с осью виброштока.
Наиболее предпочтительна конструкция в виде куба:
(11)
где а - длина ребра, м.
Преобразователи:
-
индуктивные,
-
трансформаторные;
-
электромагнитные,
-
электродинамические;
-
емкостные;
-
пьезоэлектрические.
ЛИТЕРАТУРА
-
Глудкин О.П. Методы и устройства испытания РЭС и ЭВС. – М.: Высш. школа., 2001 – 335
-
Испытания радиоэлектронной, электронно-вычислительной аппаратуры и испытательное оборудование/ под ред. А.И.Коробова М.: Радио и связь, 2002 – 272 с
-
Млицкий В.Д., Беглария В.Х., Дубицкий Л.Г. Испытание аппаратуры и средства измерений на воздействие внешних факторов. М.: Машиностроение, 2003 – 567 с
-
Национальная система сертификации Республики Беларусь. Мн.: Госстандарт, 2007
-
Федоров В., Сергеев Н., Кондрашин А. Контроль и испытания в проектировании и производстве радиоэлектронных средств – Техносфера, 2005. – 504с.















