62443 (695026), страница 2
Текст из файла (страница 2)
Такт. Импульсы также подаются на синхронизатор (С), синхроимпульсы должны по какому-либо параметру отличаться от канальных импульсов.
Коммутаторы в приемной и передающей частях должны работать синхронно. В синхронизаторе на приемной стороне синхронизатора. Импульсы отделяются и формируются. Напряжение, используемое для управления коммутатором. Он подключает канальные импульсы к соответстсвующим демодуляторам.
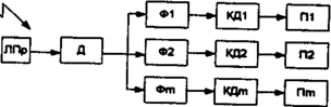
Многоканальная РТС ПИ с частотным уплотнением канальных сигналов.
В системах с ЧРК используются канальные сигналы, частотные спектры которых располагаются в не перекрывающихся частотных полосах. Формирование канальных сигналов при помощи АМ, ЧМ, ФМ, чтобы средние частоты спектров канальных сигналов соответствовали средним частотам отведенных полос каждого канала. Разделение с помощью частотных фильтров.
ГН – генератор несущей, ЛПР – производится выделение группового сигнала с помощью демодулятора.
Ф – фильтра, П – получатель.
Многоканальная РТС ПИ с уплотнением канальных сигналов по форме (кодовое линейное уплотнение).
I——|
Достоинства:
1) высокая потенциальная помехоустойчивость;
2) высокая информационная защищенность;
3) энергетическая скрытность системы;
4) возможно специальное помехоустойчивое кодирование группового сигнала;
5) универсальность. Недостатки:
1) повышенная сложность системы;
2) многоуровневый сигнал сложнее обрабатывается цифровым образом;
3) требуется время для выхода системы в синхронный режим;
4) количество уплотняемых каналов не превышает сотни.
ЛИТЕРАТУРА
-
Охрименко А.Е. Основы извлечения, обработки и передачи информации. (В 6 частях). Минск, БГУИР, 2004.
-
Девятков Н.Д., Голант М.Б., Реброва Т.Б.. Радиоэлектроника и медицина. –Мн. – Радиоэлектроника, 2002.
-
Медицинская техника, М., Медицина 1996-2000 г.
-
Сиверс А.П. Проектирование радиоприемных устройств, М., Радио и связь, 2006.
-
Чердынцев В.В. Радиотехнические системы. – Мн.: Высшая школа, 2002.
-
Радиотехника и электроника. Межведоств. темат. научн. сборник. Вып. 22, Минск, БГУИР, 2004.















