1828 (693679)
Текст из файла
Реферат
На тему
ПРОЦЕНТНІ СТАВКИ ТА ЇХ СТРУКТУРА
Зміст
1. Облік фактору часу у фінансових розрахунках
2. Прості відсотки
3. Складні відсотки
4. Вплив інфляції на результати фінансових розрахунків
5. Облік інфляції у фінансових розрахунках
1. Облік фактору часу у фінансових розрахунках
Розміщаючи капітал у комерційні банки, інвестиційні проекти, цінні папери і нерухомість, варто планувати не тільки згодом повернути вкладену суму, але й одержати очікуваний економічний ефект. Концепція переоцінки вартості грошей ґрунтується на тому, що ця вартість з часом змінюється. Ключову роль при описі процесу трансформації вартості коштів у часі відіграють два основних поняття: майбутня вартість грошей і їхня дійсна вартість.
Майбутня вартість грошей - це сума інвестованих у даний момент коштів, в яку вони перейдуть через певний період часу з урахуванням умов вкладення.
Сучасна вартість грошей - це сума майбутніх грошових надходжень, приведених за допомогою певного коефіцієнта (дисконту, дисконтної ставки) до сучасного періоду.
Розглянемо базові поняття фінансової математики:
а) відсоток - це доход від надання капіталу в борг у різних формах (позички, кредити й ін) або від інвестицій виробничого чи фінансового характеру;
б) процентна ставка - це величина, що характеризує інтенсивність нарахування відсотків;
в) нарощення первісної (інвестованої) суми - це збільшення даної суми за рахунок нарахованих відсотків; відношення нарощеної суми до первісної називають множником (коефіцієнтом) нарощення; множник нарощення показує, у скільки разів зріс первісний капітал;
г) період нарахування - це інтервал часу, за який нараховуються відсотки.
При проведенні фінансових розрахунків процеси нарощування вартості можуть здійснюватися як за простими, так і за складними відсотками.
Прості відсотки - це метод розрахунку доходу кредитора, одержуваного від позичальника за надані в борг гроші. Вони нараховуються на ту саму суму позикового капіталу протягом усього терміну погашення позички.
При складних відсотках платежі в кожному періоді додаються до капіталу попереднього періоду, а процентний платіж у наступному періоді нараховується на нарощену величину первісного капіталу.
Прості відсотки використовуються звичайно, коли термін погашення позички менший року, а складні - більший за рік.
2. Прості відсотки
Умовні позначки:
а) період нарахування - п років; т місяців; d днів;
б) сума позики - Ко;
в) сума відсотків - I;
г) нарощена сума боргу - Кн ',
д) процентна ставка - р.
Нарощена сума боргу розраховується за формулами:
Кн=К0* (1 + р*п); (1.1)
Кн=К0* (1 + р
); (1.2)
Кн=К0* (1 + р
). (1.3)
Якщо умови кредитного договору передбачають зміну процентної ставки протягом терміну кредиту, то нарощена сума боргу розраховується за формулами:
Кн=К0* (1 +
). (1.6)
3. Складні відсотки
Існують два методи нарахування складних відсотків: декурсивний та антисипативний.
Декурсивний (наступний) спосіб передбачає нарахування відсотків наприкінці кожного часового інтервалу нарахування. Величина відсотків визначається, виходячи з величини використовуваного капіталу.
Антисипативний (попередній) спосіб передбачає нарахування відсотків на початку кожного часового інтервалу.
У світовій практиці широке поширення одержав декурсивний спосіб нарахування відсотків. Антисипативний метод нарахування відсотків застосовується, як правило, рідше, у періоди високої інфляції.
Розглянемо декурсивний метод нарахування відсотків.
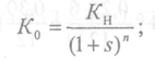
Нарощена сума боргу (внеску) визначається за формулою:
де Ко - первісна сума; s - ставка складних річних відсотків; п - період нарахування, років.
Виходячи з зазначеної формули можна знайти:
а) первісну суму:
б) ставку складних річних відсотків:
в) період нарахування:
Якщо кількість розрахункових періодів у році перевищує одиницю, то для розрахунку нарощеної суми користуються формулою:
де т - кількість розрахункових періодів у році.
4. Вплив інфляції на результати фінансових розрахунків
Інфляція та її вимірювання. Величезний вплив на результативність фінансових операції робить інфляція, тобто підвищення загального рівня цін і, як наслідок, знецінювання грошей.
У світовій практиці облік рівня інфляції здійснюється або за коливанням курсів валют, або за коливанням рівня цін.
Перший підхід. Припустимо, на початку року 1 долар коштував 5,2, а наприкінці року - 5,8 грошової одиниці національної валюти. З цього випливає, що інфляція за рік склала:
Відповідно до другого підходу, інфляція виміряється за допомогою індексу цін. Індекс цін - це відношення сукупної ціни "ринкового кошика" у поточному році до ціни аналогічного "ринкового кошика" у базисному році. Наприклад, при розрахунку індексу цін на споживчі товари 2002 р. використовується як базовий період, для якого встановлюється рівень цін, що дорівнює 100. У 2006 р. індекс цін складав приблизно 118. Це означає, що в 2006 р. ціни були на 18% вищі, ніж у 2002 p., або, інакше кажучи, набір товарів, що у 2002р. коштував 100 грошових одиниць, у 2006 p. - 118.
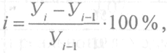
Для кількісної оцінки впливу інфляції використовуються показники рівня інфляції і й індексу інфляції І.
Рівень інфляції розраховується за формулою:
де Уi - рівень цін i-го року; Уi-1 - рівень цін базисного року. Індекс інфляції розраховується за формулою:
І = 1 + і. (1.15)
Рівень інфляції (%) показує, на скільки відсотків варто збільшити первісну суму, щоб вона зберегла купівельну спроможність на рівні базисного року.
Індекс інфляції показує, у скільки разів зросли ціни за розглянутий період часу.
"Правило величини 70":
де t - приблизна кількість років, необхідна для подвоєння рівня цін (індексу інфляції).
5. Облік інфляції у фінансових розрахунках
Інфляція сприяє знецінюванню грошей, і реальна сума боргу (внеску) скорочується. Розрахунок її величини варто робити за формулою:
де Кн - нарощена сума боргу;
І - індекс інфляції за період кредитування.
Втрати кредитора, викликані інфляцією, розраховуються за формулою:
Кп = Кн - Кр. (1.24)
Характеристики
Тип файла документ
Документы такого типа открываются такими программами, как Microsoft Office Word на компьютерах Windows, Apple Pages на компьютерах Mac, Open Office - бесплатная альтернатива на различных платформах, в том числе Linux. Наиболее простым и современным решением будут Google документы, так как открываются онлайн без скачивания прямо в браузере на любой платформе. Существуют российские качественные аналоги, например от Яндекса.
Будьте внимательны на мобильных устройствах, так как там используются упрощённый функционал даже в официальном приложении от Microsoft, поэтому для просмотра скачивайте PDF-версию. А если нужно редактировать файл, то используйте оригинальный файл.
Файлы такого типа обычно разбиты на страницы, а текст может быть форматированным (жирный, курсив, выбор шрифта, таблицы и т.п.), а также в него можно добавлять изображения. Формат идеально подходит для рефератов, докладов и РПЗ курсовых проектов, которые необходимо распечатать. Кстати перед печатью также сохраняйте файл в PDF, так как принтер может начудить со шрифтами.















