1424 (693577), страница 3
Текст из файла (страница 3)
де RL (risk on loans) — рівень непокритого кредитного ризику;
LO (overdue loans) — прострочені кредити;
LD (doubtful loans) — сумнівні кредити;
PL (provision on loans) — резерви, сформовані під кредитні операції;
L (loans to the clients) — кредити клієнтам (загальний обсяг кредитного портфеля).
Виходячи з того, що рівень показника якості кредиту обернено пропорційний рівневі кредитного ризику, показник якості кредитного портфеля можна розраховувати за формулою:
(1.4)
де LQ (loans quality) — показник якості кредитного портфеля;
RL (risk on loans) — рівень непокритого кредитного ризику.
Оцінка якості інвестиційного портфеля банку здійснюється аналогічно оцінці якості кредитного портфеля. Труднощі виникають лише на етапі визначення обсягу проблемних інвестицій, оскільки у банківському балансі відсутня інформація щодо ризиковості тих чи інших цінних паперів. Для вирішення цієї проблеми пропонують застосовувати фіксовані коефіцієнти ризику щодо різних груп (портфелів) цінних паперів. У цілому банківські портфелі цінних паперів класифікують так: портфель рефінансованих Національним банком ЦП, торговий портфель, портфель паперів на продаж, портфель до погашення, портфель вкладень в асоційовані та дочірні компанії.
Найменш ризиковим є портфель цінних паперів, що рефінансуються НБУ, оскільки цінні папери, що входять до його складу, Національний банк приймає в обмін на кошти (тобто коефіцієнт ризику дорівнює нулю).
Торговий портфель цінних паперів – це папери, придбані банком для перепродажу та переважно з метою отримання прибутку від короткотермінових коливань їх ціни. До торгового портфеля цінних паперів можуть бути віднесені лише високоліквідні цінні папери, а отже, ми не вважатимемо їх ризиковими (коефіцієнт ризику також дорівнює нулю).
Цінні папери в портфелі на продаж – це цінні папери, які банк готовий продати у зв'язку зі зміною ринкових відсоткових ставок, потреб ліквідності, наявності альтернативних інвестицій; а також — боргові цінні папери та акції, за якими неможливо достовірно визначити справедливу вартість; боргові цінні папери з фіксованою датою погашення, які банк не має наміру тримати до дати їх погашення. Такі цінні папери є ризиковими, оскільки за відсутності активного фондового ринку в Україні доволі складно визначити їх справедливу (ринкову) вартість. Зважаючи на це, для портфеля цінних паперів на продаж доцільно застосовувати коефіцієнт ризику від 20 до 50%.
Цінні папери в портфелі до погашення — це боргові цінні папери, щодо яких є намір і здатність банку утримувати їх до строку погашення. Такі цінні папери обліковуються за амортизованою собівартістю і щомісяця підлягають перегляду на зменшення корисності й відповідно резервуванню. Тут також присутні значні ризики у разі погіршення фінансового стану емітента, тому від 20 до 50% таких непокритих резервами інвестицій можна вважати ризиковими.
Щодо інвестицій в асоційовані та дочірні компанії. Асоційовані компанії (associated company) — це група суб'єктів господарювання (юридичних осіб), пов'язаних між собою відносинами економічної та/або організаційної залежності у формі участі в статутному фонді та/або управлінні [4, ст. 126]. НБУ використовує цей термін для компаній, у яких банк-інвестор володіє 20% або більшою часткою капіталу. Дочірнє підприємство (subsidiary company) — підприємство, власником контрольного пакета акцій якого є інше (контролююче) підприємство. Інвестування в асоційовані та дочірні компанії є дуже ризикованим і може призвести до значних проблем, оскільки в цих випадках оцінка платоспроможності контрагента не завжди здійснюється об'єктивно. Крім того, якщо дочірня компанія банку опиниться у стані неплатоспроможності і буде визнана банкрутом, то субсидіарну відповідальність перед кредиторами дочірньої компанії нестиме й банк. Отже, 50% таких інвестицій можна вважати ризиковими активами.
Рівень непокритого інвестиційного ризику можна обчислити як відношення обсягу недосформованих резервів до загального обсягу інвестиційного портфеля банку:
(1.5)
де RI (risk on investments) — рівень непокритого інвестиційного ризику;
r1=[20%; 50%] — коефіцієнт ризику для портфеля ЦП на продаж;
DS (digested securities) — портфель ЦП на продаж;
PDS (provision on digested securities) — резерви, сформовані під портфель ЦП на продаж;
r2=[20%; 50%] — коефіцієнт ризику для портфеля ЦП до погашення;
RS (redeemable securities) — портфель ЦП до погашення;
PRS (provision on redeemable securities) — резерви, сформовані під портфель ЦП до погашення;
r3=50% — коефіцієнт ризику для портфеля вкладень в асоційовані та дочірні компанії;
I (investments in associated & subsidiary companies) — інвестиції в асоційовані та дочірні компанії;
S (securities) — портфель цінних паперів (портфель рефінансованих ЦП, торговий портфель, портфель на продаж, портфель до погашення).
Отже, загальний показник якості активів банку можна розрахувати як інтегральний показник якості кредитного та інвестиційного портфелів:
(1.6)
де AQ (asset quality) — показник якості активів банку.
Наступним компонентом стійкості банку є його ліквідність (liquidity), тобто здатність швидко перетворювати свої активи у грошові кошти з мінімальною втратою їх вартості з метою своєчасного виконання своїх зобов'язань. Якщо банк має недостатню ліквідність, він не може отримати достатньо коштів як шляхом збільшення своїх зобов'язань, так і шляхом швидкої реалізації активів за розумною ціною, що негативно відображається на прибутковості банку. У найгіршому випадку недостатня ліквідність може призвести до неплатоспроможності банку. Базельський комітет визначає ризик втрати ліквідності як "нездатність банку регулювати скорочення пасивів або фінансувати зростання активів" [37].
Ліквідність банку визначається збалансованістю між строками і сумами погашення активів та строками і сумами виконання зобов'язань банку. Для графічного відображення збалансованості обсягів і строків погашення активів і зобов'язань банку пропонуємо побудувати матрицю ліквідності балансу (табл. 3).
При побудові матриці робиться припущення, що банк розміщує поточні пасиви у найліквідніші активи, а найдовші пасиви — у найдовші активи. При цьому резерви, сформовані під активні операції, розміщені у матриці поруч із прибутком банку, оскільки формуються за його рахунок. За сприятливого вирішення питань із простроченими чи сумнівними активами цей резерв поповнить чистий прибуток банку.
Таблиця 1.5
Матриця ліквідності балансу банку
Для застосування матричного методу аналізу ліквідності балансу активи банку необхідно розмістити вертикально в міру зниження їх ліквідності, а пасиви — горизонтально, починаючи з поточних зобов'язань і закінчуючи капіталом. Матриця формується, починаючи з верхньої лівої чарунки (Таблиця 1.5).
Кожен банк має прагнути, щоб матриця ліквідності його балансу розміщувалася поближче до діагоналі, тобто щоб активи та пасиви банку були збалансовані за строками. Для кількісного вираження ступеня ліквідності банку пропонуємо розрахувати коефіцієнти поточної та довгострокової ліквідності на основі матриці ліквідності.
Таблиця 1.6
Матричний метод аналізу ліквідності балансу банку
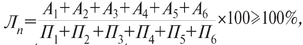
Коефіцієнт співвідношення ліквідних активів та поточних зобов'язань (поточна ліквідність, Лп) характеризує здатність банку забезпечити своєчасне виконання своїх поточних зобов'язань за рахунок високоліквідних активів протягом кількох днів.
(1.7)
де А1 – каса, A2 – кошти на вимогу в НБУ та в інших банках, A3 – МБК овердрафт та овернайт (розміщені), A4 – клірингові рахунки (активні), A5 – дебіторська заборгованість клієнтів (стандартна), A6 – нараховані доходи (стандартні), П1 – кошти на вимогу НБУ та інших банків, П2 – кошти клієнтів на вимогу (до запитання), П3 – МБК овердрафт та овернайт (залучені), П4 – клірингові рахунки (пасивні), П5 – кредиторська заборгованість перед клієнтами, П6 – нараховані витрати.
Коефіцієнт співвідношення власних коштів банку та іммобілізованих активів (довгострокова ліквідність, Лд) характеризує здатність банку успішно розвиватися у довгостроковій перспективі, покриваючи іммобілізовані активи власним капіталом.
(1.8)
де П12 – прострочена заборгованість банку, П13 – резерви під активні операції, П14 – накопичений прибуток, П15 – субординований борг, П16 – акціонерний капітал, А12 – прострочені та сумнівні кредити, А13 – сумнівна дебіторська заборгованість, А14 – прострочені та сумнівні нараховані доходи, А15 – інвестиції в асоційовані та дочірні компанії, А16 – основні засоби та інші цінності.
Як видно у наведеному прикладі (Таблиця 1.5), банк має проблеми як із поточною (Лп = 74% за норми > 100%), так і з довгостроковою ліквідністю (Лд = 79% за норми > 100%), але при цьому він успішно виконує нормативи ліквідності НБУ (Н4 = 38% за норми > 20%, Н5 = 81% за норми > 40%, Н6 = 32% за норми > 20%). Якщо цей банк найближчим часом не збільшить обсяг власного капіталу, то ймовірність його банкрутства буде доволі високою, оскільки він фінансує за рахунок депозитів клієнтів прострочені та сумнівні кредити, а за рахунок ощадних (депозитних) сертифікатів — сумнівну дебіторську заборгованість, прострочені та сумнівні нараховані доходи, а також інвестиції в асоційовані та дочірні компанії.
Для остаточних висновків про ступінь фінансової стійкості банку необхідно отримані показники звести до певного узагальнюючого коефіцієнта стійкості, оскільки одні показники можуть перебувати в критичній зоні, а інші — бути задовільними. І тут виникає необхідність ранжування показників або присвоєння їм вагових коефіцієнтів (Таблиця 1.7), що потребує застосування методу експертних оцінок.
Таблиця 1.7
Показники для оцінки фінансової стійкості банку
Підсумкова формула для визначення поточної оцінки фінансової стійкості банку набуде такого вигляду:
(1.9)
де FS – поточна оцінка фінансової стійкості банку на конкретну дату; Н1, ... H4 – нормативні значення для коефіцієнтів К1, … К4.
Щоб врахувати динаміку змін фінансового стану банківської установи, обчислимо динамічну оцінку його фінансової стійкості. Для цього обчислимо середні значення та середньоквадратичні відхилення всіх коефіцієнтів. Отже, підсумкова формула для розрахунку динамічної оцінки фінансової стійкості банку набуде такого вигляду:














