148168 (692232), страница 4
Текст из файла (страница 4)
а) односторонний маятниковый маршрут движения:
,(1)
где Nj – количество изделий j-ого типоразмера (наименования), перевозимых в течение планового (расчетного) периода, шт.;
Qшт.j – вес единицы изделия j-ого типоразмера изделия, кг;
q – грузоподъемность единицы транспортного средства;
Кис – коэффициент использования грузоподъемности транспортного средства;
Fэ – эффективный фонд времени работы единицы транспортного средства, для односменного режима, ч;
Ксм – число рабочих смен в сутки;
L – расстояние между двумя пунктами маршрута, м;
Vср – средняя скорость движения транспортного средства, м/мин;
tз, tp – время на одну погрузочную и разгрузочную операцию за каждый рейс, мин;
j – номенклатура перевозимых изделий.
б) двухсторонний маятниковый маршрут движения:
.(2)
Для кольцевых перевозок:
а) с нарастающим грузопотоком:
.(3)
б) с затухающим грузопотоком:
.(4)
в) с равномерным грузопотоком:
,(5)
где Кпр – число погрузочно–разгрузочных пунктов;
L’ – длина всего кольцевого маршрута, м.
Количество груза перевозимого за одну смену определяется по формуле:
,(6)
где Др – число рабочих дней в году;
Ксм – число смен в сутки;
– годовой грузооборот на данном маршруте, кг, т.;
Кн – коэффициент неравномерности перевозок (принимается Кн = 0,85).
Время пробега транспортного средства по заданному маршруту определяется по формуле:
.(7)
Расчет времени, затрачиваемого транспортным средством при прохождении одного рейса:
или
.(8)
Расчет количества рейсов, совершаемых единицей транспортного средства за сутки, производится по формуле:
,(9)
где Кви – коэффициент использования фонда времени работы транспортного средства.
Производительность одного рейса определяется по формуле:
.(10)
Количество транспортных средств для внутрицеховых перевозок может быть определено по одной из приведенных формул.
Все вышеперечисленные расчеты были частично проведены на предприятии и в итоге выяснилось, что ООО «Птица Плюс» для обеспечения своей успешной коммерческой деятельности необходимы транспортные средства общей грузоподъёмностью 4т, для доставки продукции и ми местное транспортное средство для развозки сотрудников, проживающих в городе. На балансе данного предприятия находятся две грузовые газели грузоподъёмностью до 1,5 т каждая, два автомобиля «Иж», грузоподъёмность каждого из них достигает 550 кг. Так же на балансе находится автомобиль УАЗ2206, который выполняет функцию развозки, и автомобиль Тайота, которая является как бы запасным вариантом. Таким образом, предприятие на данном этапе развития полностью может обеспечить себя, транспортными средствами, то есть необходимое количество транспортных средств, соответствует реальному количеству, но в случае расширения производства или расширении списка покупателей, предприятию придётся приобретать дополнительные, транспортные средства
2.3 Применение рациональных маршрутов перевозок
Маршрутом движения называют путь следования подвижного состава при выполнении перевозочной работы. На автомобильном транспорте наиболее распространены два вида маршрутов: маятниковый и кольцевой.
Схемы маршрутов могут быть различными. Маятниковые маршруты устанавливаются между двумя пунктами. Они могут быть односторонними, когда транспортные средства двигаются в одну сторону с грузом, а в другую – без груза, и двухсторонними, когда грузы транспортируются в обоих направлениях, и веерными (одно- или двухсторонними), рис. 1
Рис. 1. Схема маршрутов
При маятниковом маршруте путь следования автомобиля в прямом и обратном направлениях проходит по одной и той же трассе Маятниковые маршруты бывают трех разновидностей: с обратным негруженым пробегом, коэффициент использования пробега р = 0,5; с груженым пробегом в обоих направлениях, при этом обеспечивается полное использование пробега подвижного состава т.е. Р = 1; с обратным не полностью груженым пробегом. При этом коэффициент использования пробега подвижного состава должен быть больше 0,5, но меньше 1.
На предприятии ООО «Птица Плюс» применяются кольцевые маршруты, так как в основном поставка осуществляется небольшими партиями в магазины и на рынки. У предприятия существует пять основных направлений, четыре из них по нашему городу, это районы Южный (здесь 29 покупателей), Центр (44 покупателя), Степной (37 покупателей), Маяк (29 покупателей) и пятое направление г. Кувандык. Перевозка по Оренбургу осуществляется четырьмя машинами, как правило, в два заезда, в зависимости от количества заявок.
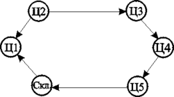
Кольцевые маршруты устанавливаются при обслуживании ряда пунктов, связанных последовательной передачей грузов от одного пункта к другому. Кольцевой маршрут может быть с равномерно нарастающим и уменьшающимся грузом (рис.2.).
Рис. 2. Схема кольцевого маршрута
На основе схемы грузопотоков, объема перевозок по каждой группе грузов производится выбор транспортных средств и расчет их потребности.
Особенности организации перевозок на автомобильном транспорте определяются характером маршрута движения, завершенностью процесса транспортирования за одну ездку, срочностью, регулярностью, сезонностью перевозок и др.
При кольцевом маршруте путь следования автомобиля представляет замкнутый контур, объединяющий несколько погрузочно-разгрузочных пунктов. Разновидностями кольцевого маршрута являются: сборный, при котором подвижной состав, последовательно проходя погрузочные пункты, постепенно загружается с разгрузкой в конечном пункте маршрута; развозочный, при котором подвижной состав, загруженный в начальном пункте, разгружается постепенно, развозя груз партиями по промежуточным пунктам; сборно-развозочный, при котором одновременно один груз развозится, другой собирается.
Выбор оптимального маршрута движения является важной задачей, так как во многом определяет эффективность использования подвижного состава: его производительность, скорость доставки грузов, себестоимость перевозок. В настоящее время эта сложная задача решается с помощью математических методов и вычислительной техники.
Маятниковые маршруты применяются, как правило, при массовых перевозках, кольцевые — при мелкопартионных. Этим определяются соответствующие требования к конструкции подвижного состава. Для подвижного состава, используемого на маятниковых маршрутах, важно соответствие грузовместимости автомобиля (прицепа) массе партии перевозимого груза. Подвижной состав, применяемый на развозочных или сборных маршрутах, должен быть приспособлен для быстрой раздельной разгрузки и погрузки каждой части груза.
При одиночной работе один и тот же водитель ведет автомобиль на протяжении всего пути следования в обоих направлениях. При этом отсутствуют перегрузки грузов в пути, однако имеются трудности в организации работы и отдыха водителя вследствие длительной оторванности от базы, организации технического обслуживания и ремонта подвижного состава; уменьшается скорость доставки грузов из-за простоев подвижного состава ВО время кратковременного и сменного отдыха водителя, предусмотренного законодательными актами.
Сквозная система организации перевозок грузов на большие расстояния применяется относительно редко (в основном в тех случаях, когда отсутствуют систематические грузопотоки).
3. Основные направления совершенствования организации транспортного обеспечения в коммерческой деятельности ООО «Птица Плюс»
3.1 Недостатки организации транспортного обеспечения в коммерческой деятельности ООО «Птица Плюс»
Как и на любом другом предприятии в организации транспортного обеспечения на «Птице Плюс» существуют свои отрицательные моменты, устранив которые предприятие сможет более динамично развиваться, осваивать новые рынки сбыта и выйти на более высокий уровень развития.
Первым таким недостатком является отсутствие транспортного подразделения на предприятии, организовав такое подразделение или раздел, значительно проще будет организовывать транспортное обеспечение.
Второй недостаток- не проводится анализ грузопотоков и грузооборота за учетный период, а он дает основание для совершенствования организации транспортного хозяйства, ликвидации чрезмерно дальних перевозок, встречных, возвратных, пустых и не полностью загруженных транспортных средств.
Ещё один недостаток- на предприятии ООО «Птица плюс» существенны затраты на доставку, включая ущерб от потерь товара при перевозке и просрочки в доставке, а также санкции за невыполнение грузоотправителем своих обязательств. Их ликвидация значительно сократит финансовые вложения в организацию транспортного обеспечения.
Следующий не менее существенный недостаток слабо развитая механизация, так, внедрение контейнерных и пакетных перевозок, применение поддонов позволяет механизировать погрузочно-разгрузочные и складские работы, более чем в 4 раза повысить производительность труда и 1,5— 2 раза снизить себестоимость этих операций.
Таким образом можно сделать вывод, что организация транспортного обеспечения на предприятии ООО «Птица Плюс» не совершенна, и есть стимул ее улучшать, предприятию можно предложить следовать рекомендациям, представленным в следующем пункте курсовой работы, что позволит лучше организовать работу транспорта и сократить затраты на его содержание.
3.2 Разработка рекомендаций для улучшения коммерческой деятельности ООО «Птица Плюс»
Основной задачей организации и функционирования транспортного хозяйства на предприятии является своевременное и бесперебойное обслуживание производства транспортными средствами по перемещению грузов в ходе производственного процесса.
ООО «Птица плюс», следует отдельно сформировать соответствующие цеха, или транспортный отдел, кроме того, целесообразно создать цеха или участки безрельсового транспорта и электротранспорта с соответствующей ремонтной базой, техническим обслуживанием и заправкой.
Необходимо проводить анализ грузопотоков и грузооборота за учетный период дает основание для совершенствования организации транспортного хозяйства, ликвидации чрезмерно дальних перевозок, встречных, возвратных, пустых и не полностью загруженных транспортных средств.
Выполнение перевозок можно осуществлять, используя одну из схем. Первая схема получила название "маятниковая" или "веерная", а вторая – "кольцевая". Для "маятниковой" схемы характерно одностороннее, двустороннее и веерное движение транспортных средств. Одностороннее движение характеризуется тем, что транспорт перемещает груз только в одну сторону. Двустороннее движение осуществляется ускорения их оборачиваемости, сохранности груза в пути.
При организации складских перевозок необходимо учитывать номенклатуру хранимых материалов, оборачиваемость грузов, периодичность их поступления и выдачи со склада, выполнение на складе операций комплектования, упаковки, выборочного контроля, вид транспорта, поставляющего грузы на склад и со склада в цеха, т.е для рассматриваемого предприятия поставляющего скоропортящуюся продукцию, организация перевозок должна быть рациональна организована, чтобы товар не успел испортиться.
Эффективность, качество и надежность являются ключевыми понятиями при управлении доставкой товаров, так как именно с их помощью конкретизируются цели, которые ставят перед собой участники транспортного процесса. Эти понятия часто употребляются самостоятельно. Однако между ними существует однозначная связь: качество является компонентом системы оценки эффективности, а надежность - компонентом системы оценки качества. Вместе с тем эта связь при всей ее очевидности является достаточно сложной.















