147499 (691940), страница 2
Текст из файла (страница 2)
где tз - время занятости пути при постановке и уборке вагонов (tз=0,17 ч), ч;
q - трудоемкость подготовки одного вагона (qп/в=0,5-0,7; qкр=0,5-0,6), челчас;
- коэффициент, учитывающий перерывы в работе (
=1,1).
По расчету
человека,
человека.
Принимаем
=15 человек,
=6 человек.
4. Размещение и расчет ПУНКТОВ технического обслуживания вагонов (пто) и контрольных постов
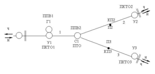
В соответствии с заданием на проектирование на отделении дороги имеется одна сортировочная станция, пункт технического обслуживания вагонов выбирается один и размещается на сортировочной станции (рисунок 1).
На трёх участковых станциях размещаем пункты контрольно-технического обслуживания вагонов (рисунок 1). Так как длина второго и третьего участков превышает 120 км и размеры движения по ним более 50 пар поездов в сутки, то на этих участках есть промежуточные станции П2 и П3, на которых размещены контрольные посты КП2 и КП3.
С1 - сортировочная станция; Г1 - станция массовой погрузки; У1, У2, У3 - участковые станции;
Рисунок 1 Схема отделения дороги с размещением всех подразделений вагонного хозяйства
Расчет количества прибывших и отправляемых поездов выполняют в соответствии с рисунком 2.
ПП - парк прибытия; 1,2 - нечетное, четное направление парка; ПС - сортировочный парк; - горка; ПО - парк отправления; МПРВ - механизированный пункт ремонта вагонов, расположенный на внутренних путях сортировочного парка; ПТ - парк транзита;
Рисунок 2 Схема сортировочной станции
Количество прибывших поездов в нечетную систему (ПП1) составит:
, (18)
где n1 - количество поездов, проходящих по первому участку.
По расчету
поездов в сутки.
Количество оправленных поездов из нечетной системы (ПО1) составит:
, (19)
где n2,n3 - количество поездов, проходящих по второму и третьему участку участку. По расчету
поездов в сутки.
Количество прибывших поездов в четную систему (ПП2) составит:
, (20)
По расчету
поездов в сутки
Количество оправленных поездов из четной системы (ПО2) составит:
, (21)
По расчету
поездов в сутки.
Разница в количестве 5 поездов в сутки принимаемых и отправляемых поездов происходит за счет угловых потоков, прием с первого и отправление со второго участка.
Количество бригад в парках, пб, вычисляется по формуле
(22)
где tо - заданное время обслуживания (ПП: tо=40 мин, ПО: tо=70 мин), мин;
р - расчетный интервал предъявления составов для технического обслуживания.
Расчетный интервал предъявления составов для обслуживания, р, вычисляется по формуле
(23)
где k - коэффициент неравномерности предъявления состава (k=0,8) $
Nс - количество составов, предъявляемых в течении суток.
По расчету
мин,
бригады,
мин,
бригады,
мин,
бригады,
мин,
бригады,
Принимаем
=2 бригады,
=2 бригады,
=3 бригады,
=3 бригады.
Численный состав бригады, Rя, человек, вычисляется по формуле
(24)
где m - количество вагонов в составе, mПП1 =mПО2 =60 вагонов; mПП2 = mПО1 и принимается как средневзвешенная величина:
, (25)
По расчету
вагона. Принимаем
вагона. Q - трудоемкость обслуживания одного вагона (для ПП Q=2,5 чел/мин, для ПО Q=12 чел/мин), чел/мин.
По расчету
человек,
человек,
человек,
человека.
Расчетное количество человек в бригадах округляем до целого с учетом округления количества бригад.
По расчету
человек;
человек;
человек;
человек.
Принимаем с учетом количества бригад
=3 человека,
=3 человека,
= 8 человек,
=9 человек.
Численный состав бригады ПТО уч. определяется в соответствии с нормами зависимости от обрабатываемых вагонов за смену:
1 участок:
количество поездов за смену 50, осмотрщиков-ремонтников 12 человек;
2 участок:
количество поездов за смену 30, осмотрщиков-ремонтников 10 человек;
3 участок:
количество поездов за смену 15, осмотрщиков-ремонтников 6 человек.
Численный состав рабочих на КП определяется в соответствии с нормами и принимается на втором участке осмотрщиков-ремонтников 2 человека, на третьем участке осмотрщиков-ремонтников 2 человека.
5. Размещение и расчет механизированного пункта текущего ремонта вагонов (мпрв)
Механизированный пункт текущего ремонта вагонов размещен на крайних внутренних путях сортировочных парков. Для МПРВ выделены два пути.
Количество позиций для круглосуточной работы, пп, вычисляется по формуле
, (26)
где tв - норма простоя вагона в ремонте (tв=3,5 ч), ч.
По расчету
позиций.
Принимаем пп=18 позиций.
Численный списочный состав рабочих МПРВ, RМПРВ, человек, вычисляется по формуле
, (27)
где Qтр - трудозатраты на ремонт одного вагона (Qтр=8 чел/час), чел/час;
Fд - действительный фонд рабочего времени (1820 ч), ч.
По расчету
человек.
Принимаем RМПРВ =29 человек.
6. Определение производственной мощности и размеров вагоносборочного участка депо
Депо размещаем на сортировочной станции. Депо специализируется на ремонте полувагонов.
Годовая программа деповского ремонта, с учетом возможности увеличения плана ремонта в перспективе, Nд, вагонов вычисляют по формуле
, (28)
где kр - коэффициент, учитывающий резерв производственной мощности.
По расчету
вагона
Принимаем Nд = 9304 вагона.
Количество позиций для ремонта вагонов в вагоносборочном цехе на участке со стационарным способом ремонта, пс, вычисляется по формуле
, (29)
где а - количество смен (а=2). По расчету
поз.
Принимаем пс=18 позиций.
Количество ремонтных путей принимаем из условия, что на одном пути можно отремонтировать 2-3 тыс. вагонов в год. Принимаем количество путей равное трем.
Длина помещения вагоносборочного цеха, Lв, м, вычисляется по формуле:
, (30)
где lп - расчетная длина позиции (lп=16,7 м), м,;
m - количество ремонтных путей;
lт - расстояние от торца помещения до крайней позиции (lт=3 м), м,;
lвт - расстояние между вагонами на позиции для выкатки тележек (lвт=5 м), м,;
lтр - ширина поперечного транспортного и пожарного проезда (lтр=6 м).
По расчету
м.
Длина цеха должна быть кратной шагу колонн (6 м), таким образом, длину цеха принимаем Lс=120 м.
Ширина вагоносборочного цеха принимаем в зависимости от ширины пролета мостового крана Вв=24 метра.
Список использованных источников
-
Грюшко В.И., Бугаев В.П., Криворучко Н.З. Вагонное хозяйство.2е изд. - М.: Транспорт, 1988, 295 с.
-
Инструктивно-методические указания по размещению и совершенствованию работы пунктов подготовки вагонов к перевозкам и пунктов технического обслуживания. М.: Транспорт, 1982. - 27с.
-
Типовые технологически обоснованные нормативы численности рабочих на пунктах технического обслуживания вагонов. М.: Транспорт, 1988, 39 с.
-
Вагоны и вагонное хозяйство: Методическое руководство к дипломному проектированию/В.Ф. Лапшин, М.В. Орлов, А.Г. Пяткова и др.; Под общ. ред. проф. М.В. Орлова.2-е изд., доп. и испр. Екатеринбург: Изд-во УрГУПС, 2005. - 120с.















