126142 (690909), страница 3
Текст из файла (страница 3)
Свойства вулканизатов. Резины на основе бутадиен-стирольных каучуков, содержащие активные наполнители, характеризуются достаточно высокими прочностными свойствами, износостойкостью и эластичностью (см. табл. 2). Вулканизаты низкотемпературных эмульсионных каучуков превосходят по прочностным свойствам вулканизаты высокотемпературных. Резины из бутадиен-стирольного каучука, синтезированного в растворе, обладают несколько лучшей морозостойкостью, эластичностью и износостойкостью и меньшим теплообразованием, чем резины из эмульсионных каучуков. С увеличением содержания в макромолекуле каучука стирольных звеньев возрастают прочность при растяжении и сопротивление раздиру, но ухудшаются эластичность и морозостойкость резин.
В настоящее время основное количество бутадиен-стирольного каучука выпускается при температуре полимеризации 50С («холодные каучуки»), меньше при температуре полимеризации 500С («горячие каучуки»).
Каучуки низкой температурной полимеризации характеризуются более высокой молекулярной массой, меньшим содержанием низкомолекулярных фракций, лучшими технологическими свойствами, хорошей совместимостью с другими каучуками.
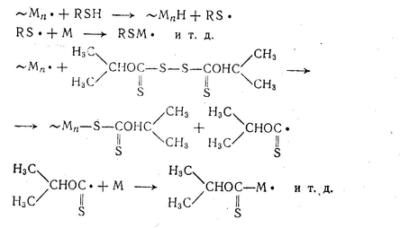
С целью регулирования молекулярной массы каучука и улучшения технологических свойств в полимеризационную систему вводят специальные вещества – регуляторы, являющиеся агентами передачи цепи. При этом регулятор не должен замедлять полимеризацию и ухудшать качество каучука. Этим требованиям в определённой степени отвечает широко применяемая на практике смесь трет-алкилмеркаптанов с числом углеродных атомов 12-16 и диизопропилксантоггендисульфид (дипроксид). Схемы передачи цепи этими веществами будут следующими:
4.2. Свойства вулканизаторов низкотемпературных эмульсионных бутадиен-метилстирольных каучуков, содержащих около 23% стирольных звеньев*
Таблица 3
* Наполнитель - активный технический углерод (40-50 мас. ч.). Вулканизация 80 мин при 143°С
Резины из бутадиен-стирольных каучуков достаточно стойки к действию концентрированных растворов щелочей и кислот, а также спиртов, кетонов и эфиров. По устойчивости в ароматичных и алифатичных углеводородах, минеральных маслах, раститительных и животных жирах они превосходят резины из НК, а по газопроницаемости практически равноценны им. По теплофизическим свойствам вулканизаты бутадиен-стирольных каучуков мало отличаются от вулканизатов др. каучуков: их коэффициент объемного расширения (5,3-6,6)*10-4 К-1, коэффициент теплопроводности 0,22-0,30 Вт/(м*К), удельная теплоемкость 1,5-1,9 кДж/(кг*К). Электрическая характеристика резин:~7 ТОм*м; 2,4-2,6 (1,5-20 МГц); tg 0,006.
Применение каучуков. Бутадиен-стирольные каучуки - типичные каучуки общего назначения, используемые главным образом в производстве шин (обычно в комбинации с НК, синтетическим изопреновым или стереорегулярным бутадиеновым каучуком). На основе бутадиен-стирольных каучуков изготовляют также многочисленные РТИ (конвейерные ленты, рукава, профили, формовые детали), а также изоляцию кабелей, обувь, спортивные изделия и др.
Мировое производство бутадиен-стирольных каучуков превышает 4 млн. т/год (1982); по объему выпуска они занимают первое место среди всех СК.
5. Реактор-полимеризатор
Р
еактор включает сборный корпус 1, состоящий из отдельных секций с определенным соотношением диаметра перетока к диаметру секции d/d, имеющих термостатирующие рубашки. В верхней части корпуса 1 установлен расширитель 2, снабженный термостатирующей рубашкой, штуцером 3 для подачи реакционной смеси, воздушником 4 для соединения с атмосферой и другими технологическими штуцерами. На выходе из секционированного аппарата реакционная смесь поступает в сборник 5, также имеющий термостатирующую рубашку. Сборник устроен таким образом, чтобы гранулы ДФ не попадали в подключенный к нему пульсатор.
Реактор - полимеризатор работает следующим образом. Частицы ДФ со степенью конверсии 35% через штуцер 3 вследствие разности плотностей СФ и ДФ поступают в реактор по наклонной трубе. Пульсатор обеспечивает возвратно-поступательное, движение СФ в секциях реактора, в результате чего в каждой секции происходит устойчивое вихреобразование и, как следствие, интенсивное перемешивание реакционной массы, что повышает в 3-4 раза удерживающую способность аппарата по сравнению с цилиндрическим и обеспечивает заданное время пребывания частиц ДФ в реакционной зоне аппарата. По мере увеличения плотности частиц они осаждаются в нижнюю часть аппарата, сборник и далее поступают в аппаратуру для окончательного дозревания. При этом наличие расширителя, сечение которого превышает в 4-6 раз сечение наклонного подающего патрубка, исключает пульсации СФ в предыдущих аппаратах технологической схемы. Применение пульсационного воздействия на реакционную систему в таком реакторе позволяет осуществить перемешивание ДФ без значительной деформации и дробления частиц, а также исключить слипание частиц и, следовательно, образование агломератов. Частота пульсаций находится в интервале 1-1,5 Гц. Соотношение объема жидкости, выталкиваемой пульсатором за половину периода пульсаций, и объема секции находится в пределах 0,3-0,5. Угол раствора диффузорной части секции составляет 90-100°.
Технологическая схема процесса получения бутадиен-стирольных и бутадиен-α-метилстирольных каучуков
Описание технологической схемы процесса сополимеризации бутадиена со стиролом.
Смесь бутадиена ёмк.1 со стиролом ёмк.2 или α-метилстиролом предварительно эмульгируют в водной фазе в смесителе 3 или трубопроводе и охлаждают. Соотношение углеводородной и водной фаз из ёмк.4 регулируется автоматически в ёмк.5. В поток эмульсии мономеров из ёмк.5 попадают компоненты инициирующей системы и регулятор, после чего она поступает в первый аппарат батареи полимеризаторов (6-I – 6-XII) и далее в последующие аппараты. Температура полимеризации поддерживается автоматически. Конверсия мономеров контролируется непрерывно с помощью специальных приборов или периодически путём определения сухого остатка латекса. По окончании процесса на выходе из батареи в латекс подаётся раствор стоппера. Для хорошей воспроизводимости и стабильности процесса важно, чтобы все исходные вещества, и прежде всего мономеры и эмульгаторы, были высокого и постоянного качества. Незаполимеризовавшиеся мономеры отгоняют острым паром в две ступени на прямо- или противоточных колоннах 7-8 под вакуумом. Предварительно проводится дегазация латекса в ёмк.7, при которой испаряется бутадиен. После отгонных колонн 7-8 латекс поступает в ёмкость 9 и уже оттуда в цех выделения каучука.
Технологическое оформление процесса выделения каучука из латекса как в виде ленты, так и в виде крошки
В случае получения каучука, не содержащего масла, латекс с температурой 45-500С предварительно подщелачивается раствором щёлочи до рН 10,4-10,6, смешивается с омыленным раствором костного клея и поступает на коагуляцию. Подщелачивание латекса не производится при получении маслонаполненных каучуков типа 1712,СКС(МС)-30АРКМ. Большинство действующих схем предусматривает введение масла на стадии флокуляции латекса. В некоторых схемах масло (чаще всего высокоароматизированное) вводится в латекс в виде эмульсии непосредственно перед коагуляцией. При получении каучуков не содержащих масла, антиоксидант вводится в виде дисперсии или эмульсии в латекс. В случае маслонаполненных каучуков антиоксидант может быть растворён в масле и таким образом введён в каучук.
Во всех схемах флокулят из первого аппарата (или смесителя) поступает во второй, в который подаётся серум, подкисленный серной кислотой.
При выделении каучука в виде ленты рН во втором аппарате 7,8-8,2, в третьем 6,5-7,2, температура 45-500С. В этом случае для получения для получения прочной пористой ленты и полноты перевода эмульгаторов в свободные карбоновые кислоты на первой части лентоотливочной машины проводится промывка каучука водой, подкислённой серной кислотой, её избыток удаляется при дальнейшей отмывке.
При выделении каучука в виде крошки рН во втором аппарате 6,5-7,2, в третьем 2,5-3,5, температура 500С.
Промывка крошки каучука проводится на лентоотливочной машине или в емкостях водой при температуре 45-600С. Перед сушкой крошку каучука обезвоживают в червячных машинах, где влажность крошки, поступающей на сушку, уменьшается до 10-15%. Сушка каучуков осуществляется в воздушных многоходовых ленточных сушилках; при выпуске других типов каучуков кошку сушат в воздушных многоходовых конвейерных сушилках или в червячных сушильных агрегатах. В настоящее время разработаны и начинают внедрять способы бессолевой коагуляции.
Смесь бутадиена со стиролом или α-метилстиролом предварительно эмульгируют в водной фазе в смесителе или трубопроводе и охлаждают. Соотношение углеводородной и водной фаз регулируется автоматически. В поток эмульсии мономеров попадают компоненты инициирующей системы и регулятор, после чего она поступает в первый аппарат батареи и далее в последующие аппараты. Температура полимеризации поддерживается автоматически. Конверсия мономеров контролируется непрерывно с помощью специальных приборов или периодически путём определения сухого остатка латекса. По окончании процесса на выходе из батареи в латекс подаётся раствор стоппера. Для хорошей воспроизводимости и стабильности процесса важно, чтобы все исходные вещества, и прежде всего мономеры и эмульгаторы, были высокого и постоянного качества. Незаполимеризовавшиеся мономеры отгоняют острым паром в две ступени на прямо- или противоточных колоннах под вакуумом. Предварительно проводится дегазация латекса, при которой испаряется бутадиен.
Заключение
Промышленное применение
Наиболее массовое применение каучуков — это производство резин для автомобильных, авиационных и велосипедных шин.
Из каучуков изготавливаются специальные резины огромного разнообразия уплотнений для целей тепло- звуко- воздухо- гидроизоляции разъёмных элементов зданий, в санитарной и вентиляционной технике, в гидравлической, пневматической и вакуумной технике.
Каучуки применяют для электроизоляции, производства медицинских приборов и средств контрацепции.
В ракетной технике синтетические каучуки используются в качестве полимерной основы при изготовлении твердого ракетного топлива, в котором они играют роль горючего, а в качестве наполнителя используется порошок селитры (калийной или аммиачной) или перхлората аммония, который в топливе играет роль окислителя.
Технологическое оформление процесса выделения каучука из латекса как в виде ленты, так и в виде крошки.
Латекс после отгонки поступает в емкость 1. В случае получения каучука, не содержащего масла, латекс с температурой 45-500С предварительно подщелачивается в ёмкости 3 раствором щёлочи из ёмкости до рН 10,4-10,6, смешивается с омыленным раствором костного клея в емкости 4 и поступает на коагуляцию.
Большинство действующих схем предусматривает введение масла из ёмкость 2 на стадии флокуляции латекса. В некоторых схемах масло (чаще всего высокоароматизированное) вводится в латекс в виде эмульсии непосредственно перед (ёмкость 3) коагуляцией. При получении каучуков не содержащих масла, антиоксидант вводится в виде дисперсии или эмульсии в латекс. В случае маслонаполненных каучуков антиоксидант может быть растворён в масле и таким образом введён в каучук.
Во всех схемах флокулят из первого аппарата (или смесителя)3 поступает во второй 4-5, в который подаётся серум из ёмкости 17, подкисленный серной кислотой.
При выделении каучука в виде ленты - в этом случае для получения для получения прочной пористой ленты и полноты перевода эмульгаторов в свободные карбоновые кислоты на первой части лентоотливочной машины 7 проводится промывка каучука водой, подкислённой серной кислотой, её избыток удаляется при дальнейшей отмывке Н2О. затем каучук поступает на многоярусную сушильную машину 8 и через дробильную машину 9, и магнитодетектор идёт на упаковку.















