126093 (690873), страница 2
Текст из файла (страница 2)
Расчет надежности автоматической системы регулирования разрежения осуществляется по методике оценки вероятности внезапных отказов. Расчет по методике оценки постепенных отказов нецелесообразен, так как в течение всего срока службы системы проводятся периодические проверки технического состояния приборов и средств автоматизации и их метрологических характеристик.
Средняя наработка на отказ манометра электрического дистанционного (Д) – 10000ч.
Средняя наработка на отказ регулятора (Р) – 48000ч.
Средняя наработка на отказ электромагнитного клапана (ИУ) – 200000ч.
Средняя наработка на отказ соединительных линий (ЭЛС) – 90000ч.
Рассчитаем надежность нерезервированной системы, считая, что надежность элементов изменяется по экспоненциальному закону. При последовательном соединении надежность системы меньше, чем надежность каждого элемента в отдельности. Вероятность безотказной работы элемента вычисляется по формуле:
,
где
– средняя частота отказа (интенсивность отказа). Учтем также надежность линий связи.
Среднее время наработки на отказ (t) для каждого из компонентов схемы равны:
| Наименование технического средства | Количество, шт. | Среднее время наработки на отказ, час. | н |
| Датчик | 1 | 10000 | 100*10-6 |
| Регулятор | 1 | 48000 | 21*10-6 |
| ИУ | 1 | 200000 | 5*10-6 |
| Линия связи | 1 | 90000 | 11,1*10-6 |
н – интенсивность отказов прибора в нормальных условиях эксплуатации прибора.
Система состоит из основных элементов, следовательно, является безызбыточной.
н,
следовательно, для нашей системы:
с = (100+21+5+11,1)*10-6=0,0001371 час-1.
Найдем время наработки на отказ всей системы:
tс= ≈ 1/0,0001371 ≈ 7294 часов ≈ 304 суток.
Вероятность безотказной работы в течение 1000 часов, не менее:
Р = е(-1000/7294) = 0,87.
Вероятность отказа в течение 1000 часов, не более:
Q = 1 – 0,87= 0,13.
6. Расчет надёжности контура с резервированием
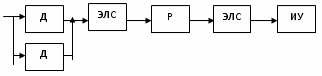
Для повышения надежности используем дополнительный датчик разрежения. Используем «теплое» резервирование с применением точно такой же модели прибора. Выбор резервирования именно датчик разрежения обусловлен тем, что этот прибор является неотъемлемой частью контроля, кроме того, он является наиболее сложно технически устроенным прибором в нашей системе регулирования, что делает невозможным замену прибора в случае выхода его из строя в сжатые сроки.
Рассчитаем надежность полученной системы.
Интенсивность отказов параллельного соединения датчиков уровня равна:
.
Тогда
.
По результатам расчёта интенсивность отказов системы с теплым резервом в рабочих условиях эксплуатации:
н = (50+21+5+11,1)*10-6 = 0,000087час-1.
Среднее время безотказной работы:
tср = 1/0,000087 = 11494 часов.
Вероятность безотказной работы в течение 1000 часов, не менее:
Р = е(-1000/11494) = 0,92.
Вероятность отказа в течение 1000 часов, не более:
Q = 1 – 0,92 = 0,08.
Итак, путем применения нагруженного резервирования срок работы системы увеличился в
раза. Дальнейшее резервирование является неэффективным, т.к. с каждым дополнительным элементом цена увеличивается пропорционально их количеству, а надежность увеличивается незначительно.
Заключение
В ходе курсовой работы было произведено техническое обеспечение автоматической системы регулирования давления пара в барабане котла. Были выбраны средства контроля и регулирования, и был обоснован их выбор. Был произведен расчет надежности контура регулирования и предложена схема для резервирования.
Список использованной литературы
1. Е.П. Стефани, Основы построения АСУТП. – М.: Энергоиздат, 1982.
2. Лысенко Э.В. Проектирование автоматизированных систем управления технологическими процессами. – М.: Радио и связь, 1987.
3. Веб-сайт «Котлоагрегаты и другие объекты автоматизации» http://www.superheater.ru/
















