126079 (690862), страница 2
Текст из файла (страница 2)
υрж1=
=3,18 м/с.
Зная расходы и ориентировочные величины давлений, переходят к выбору гидроаппаратуры.
4. Выбор гидроаппаратуры
Согласно выбранной схемы гидропривода, а, также учитывая значения расходов и давлений, производят подбор гидроаппаратуры. Для разработанной гидросхемы необходимо выбрать предохранительный клапан, распределитель, дроссель и фильтр. Все данные по выбранной аппаратуре сводятся в таблицу 4.1.
Таблица 4.1 Характеристики выбранной гидроаппаратуры
| Гидроаппаратура | Тип | Расход, м3/с | Давление, МПа | Перепад давлений, МПа |
| Гидрораспределитель | Г74-12 | 0,0003 | 0,3-8 | 0,2 |
| Предохранительный клапан | Г52-12 | 0,0000167-0,0003 | 0,2-5 | 0,4 |
| Дроссель | Г77-14 | 0,0000117 | До 5 | - |
| Филитр | 0,08 Г41-13 | 0,0003 | 6,4 | 0,2 |
Описание дросселя типа Г77-14
Гидродроссель - гидроаппарат управления расходом, предназначенный для создания сопротивления потоку рабочей среды.
В машинах лесной промышленности основное применение находят нелинейные дроссели. Изменение перепада давления, а, следовательно, и изменение расхода жидкости в нелинейных гидродросселях достигается либо изменением площади проходного сечения - щелевые, крановые, золотниковые дроссели, либо числа местных сопротивлений - пластинчатые дроссели.
Режим движения в нелинейных дросселях пропорционально квадрату скорости жидкости, поэтому их называют также квадратичным. Потери на трение в квадратичных дросселях практически отсутствуют, благодаря чему расход через дроссель не зависит от вязкости жидкости, и, следовательно, характеристика дросселя остаётся стабильной в широком диапазоне эксплутационных температур рабочей жидкости. На рисунке показан дроссель типа Г77-1.
Рабочая жидкость подводится в одно из отверстий 3 в корпусе 4, далее через отверстие 5 поступает в центральный канал 6 запорно-регулирующего элемента (пробки) 7, опускается вниз и выходит из дросселя через щель 8 в запорно-регулирующем элементе 7.
Рисунок 4.1 Дроссель типа Г77-1
Описание предохранительного клапана типа Г52-12
Гидроклапаном называется гидроаппарат, в котором размеры рабочего проходного сечения изменяются от воздействия потока проходящей рабочей среды.
Классификация гидроклапанов производится по их назначению в гидросистеме и по воздействию потока рабочей жидкости на запорно-регулирующий элемент.
По назначению в гидросистеме различают:
- гидроклапаны давления – регулирующие гидроаппараты, предназначенные для управления давлением рабочей среды (напорные, редукционные, разности давления, соотношения давления в подводимом и отводимом потоках рабочей жидкости);
- гидроклапаны, управляющие потоком рабочей жидкости (обратные гидроклапаны, гидрозамки, делители и сумматоры потоков, гидроклапаны последовательности и др.)
По воздействию потока рабочей жидкости на запорно-регулирующий элемент гидроклапаны делятся на клапаны прямого и непрямого действия.
В гидроклапанах прямого действия размеры рабочего проходного сечения изменяются в результате непосредственного воздействия потока рабочей среды на запорно-регулирующий элемент. В гидроклапанах непрямого действия размеры рабочего проходного сечения изменяются основным запорно-регулирующим элементом в результате воздействия потока рабочей среды на вспомогательный запорно-регулирующий элемент. На рисунке 4.2 показан предохранительный клапан типа Г52-2. Он состоит из корпуса 1, крышки 4, золотника основного запорно-регулирующего элемента 7 в виде шарикового клапана, нерегулируемой пружины 3 и регулируемой винтом 5 пружины 6. Полость высокого давления А соединена с полостями Б и В капиллярным каналом 9. Если при работе машины давление в гидросистеме не превышает давления, на которое настроена пружина 6 шарикового клапана 7, то клапан закрыт. В полостях А, Б и В устанавливается одинаковое давление, золотник 2 основного запорно-регулирующего элемента находится в равновесии и под воздействием усилия нерегулируемой пружины 3 занимает крайнее нижнее положение (как показано на рис. 4.2). При этом полость высокого давления А отделена от полости слива С. Если усилие на шарик от давления в полости Б больше, чем усилие, на которое настроена пружина 6, то шарик отжимается от седла клапана и рабочая жидкость а небольшом количестве из полости через отверстие 8 в крышке 4 и корпусе 1 начинает поступать в полость слива С.
В капиллярном канале 9 возникает течение жидкости с потерей давления в нем на преодоление гидравлических потерь сопротивлений. В результате давление жидкости в полости Б станет меньше давления в полостях А и В. Под действием образовавшегося перепада давлений золотник 2 перемещается вверх, сжимая пружину 3 и соединяя полость высокого давления А с полостью слива С. Рабочая жидкость при этом будет поступать на слив, давление в гидросистеме уменьшится, а это, в свою очередь, приведёт к уменьшению усилия на шариковый клапан от давления в полости Б. Шариковый клапан закроется, и течение жидкости по капиллярному каналу 9 прекратится, давление в полостях А,Б, и В выровняется, и пружина 3 возвратит золотник 2 в исходное положение, снова отделив линию высокого давления от линии слива. Если причина, вызвавшая повышение давления в гидросистеме, не будет устранена, то процесс повторится и золотник 2 в конечном итоге установится в определённом положении, поддерживая в гидросистеме постоянное давление. При работе клапана золотник 2 совершает колебательное движение, что не желательно. Узкий канал 10 оказывает на золотник демпфирующее влияние.
Рисунок 4.2 Предохранительный клапан типа Г 52-2
Клапаном Г 52-2 можно управлять дистанционно с целью разгрузки гидросистемы или какого-либо ее участка от давления. Для этого полость Б посредством канала D и крана 11 необходимо соединить со сливом. В результате давление в полости Б резко упадёт, золотник 2 поднимется вверх, а полость высокого давления А соединится с полостью слива С.
Напорные клапаны типа Г 52 используют как переливные для поддержания в гидросистеме постоянного давления, а также для дистанционной разгрузки гидросистемы или ее отдельных участков от давления. Они могут быть использованы как подпорные гидроклапаны для создания противодавления, а также для обеспечения последовательности включения в работу исполнительных механизмов гидропривода.
Описание пластинчатого фильтра типа Г41
Фильтр – аппарат разделения жидких неоднородных систем фильтрованием.
В зависимости от конструкции фильтроэлементов различают щелевые, сетчатые и пористые фильтры. По тонкости очистки, т.е. по размеру задерживаемых частиц, фильтры бывают грубой, нормальной и тонкой очистки. Фильтры грубой очистки задерживают частицы размером более 0,1 мм. Это фильтры сетчатые и пластинчатые, устанавливаемые на всасывающих линиях для предварительной очистки, в заливочных отверстиях баков, на напорных и сливных линиях. Фильтры нормальной очистки задерживают частицы от 0,1 до 0,05 мм. Они также могут быть сетчатые и пластинчатыми. Устанавливаются на напорных и сливных линиях гидросистем. Фильтры тонкой очистки задерживают частицы менее 0,05 мм.
Рисунок 4.3 Пластинчатый фильтр типа Г41
К ним относятся пористые фильтры (бумажные, войлочные, керамические). Фильтры тонкой очистки рассчитаны на небольшие расходы, устанавливаются в ответвлениях магистрали и в линиях управления. Различают фильтры высокого и низкого давлений.
Фильтры низкого давления ставят только на всасывающих или сливных линиях. На рисунке 4.3 показан пластинчатый фильтр типа Г41. Он состоит из корпуса 1, крышки 5 с отверстиями для подвода и отвода рабочей жидкости, оси 6, на которой закреплён пакет фильтрующих элементов, состоящий из набора основных 2 и промежуточных 3 пластин. Крышка 5 крепится к корпусу 1 болтами и уплотняется кольцом 4.
Рабочая жидкость поступает в корпус фильтра и через щели между основными и промежуточными пластинами попадает во внутреннюю полость фильтра, образованную вырезами в основных пластинах 2. Тонкость фильтрации определяется размером щели т.е. толщиной промежуточных пластин 3. Скребки 8, укреплённые на шпильке 7, служат для очистки щелей между пластинами при их заиливании. При повороте рукояткой оси 6 скребки 8 очищают слой загрязнений на входе в щель. Грязь на дне корпуса фильтра периодически удаляется через отверстие, закрываемое пробкой.
4.1 Определение действительных перепадов давлений
При определении перепадов давлений исходят из расходов, на которые рассчитана гидроаппаратура. Действительные расходы отличаются от справочных. Поэтому необходимо уточнить значения перепадов давлений. Перепады давлений на золотнике можно найти из выражений
где ΔP*зол - перепад давлений на золотнике при расходе Q*зол;
QЦ1 - расход жидкости в полость нагнетания цилиндра;
QЦ2 - расход жидкости из полости слива.
Аналогично могут быть уточнены значения Р и для другой гидроаппаратуры.
При подсчете перепада давления на фильтре отношение QЦ2 / Q*Ф подставлять нужно в первой степени, т.к. режим движения жидкости в фильтре ламинарный
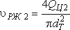
Расход QЦ2 жидкости, вытекающей из штоковой полости определяется по формуле
.
ΔРзол1=
=0,056 МПа;
ΔQЦ2=
=0,000129 м3/с;
ΔРзол2=
=0,0368 МПа;
ΔРф=
=0,3 МПа.
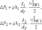
Для определения действительных перепадов давления в трубах определяются средние скорости течения масла в трубах l1 и l2.
Средняя скорость движения жидкости в сливной магистрали l2
.
Перепады давлений в трубах
где ρ - плотность рабочей жидкости; в расчётах принять ρ = 900 кг/м3; λ1 и λ2 - коэффициент гидравлического трения для напорной и сливной гидролинии соответственно.
Безразмерный коэффициент гидравлического трения λ зависит от режима течения жидкости.
При ламинарном режиме движения жидкости (Re < 2300) для определения коэффициента гидравлического трения λ рекомендуется при применять формулу
















