125268 (690386), страница 2
Текст из файла (страница 2)
Длина шпонок устанавливается из расчета на снятие
где Т – крутящий момент на валу
dв – диаметр вала по месту установки шпонки
[
]см = 80-100 МПа – допускаемое напряжение на снятие для шпонок
lр = l – в – рабочая длина призматической шпонки
l – полная длина шпонки
b
h и t - параметры сечения шпонки, определяемые по ГОСТу в зависимости от диаметра вала.
Из расчета на снятие находим
Полная длина шпонки lк = lрв + в
5.2.2. Выбор подшипников качения.
Учитывая, что наклон зубьев колес является незначительным (
= 8,109), то можно принять шариковые радиальные подшипники, которые могут воспринимать кроме радиальной (Fr) и осевую нагрузку (Fa) при этом осевая нагрузка не должна быть больше 20% от неиспользуемой радиальной нагрузки
5.2.3. Эскизная компоновка редуктора.
Эскизную компоновку обычно поводят в два этапа. На первом этапе выявляются расстояния между опорами и положение зубчатых колёс относительно опор для последующего определения опорных реакций и расчета валов на прочность подшипников качения. На втором этапе конструктивно оформляем основные элементы редуктора для последующей проверки прочности валов, шпонок и других деталей. Учитывая габариты редуктора, эскизная компоновка выполняется в масштабе 1:2 или 1:1.
Компоновка проводится на одной проекции – разрез по осям валов при снятой крышке редуктора.
Учитывая все рекомендации, данные в литературе выполняем первый этап эскизной компоновки для узла тихоходного вала.
7. Расчет подшипника на долговечность
7.1. Рассмотрим реакции опор от сил, действующих в зацеплении:
-
от окружных сил F (в плоскости XZ)
Fпр.в
+ d + e) - RFx
a + d) - Ft
= 0
Из данного уравнения выражаем RFx с учетом формулы для Ft.
Записываем сумму проекций сил на ось ОХ:
X = REx – Ft – RFx +Ft пр.в = 0
REx = Ft – RFx + Ft пр.в.
-
от радиальных сил Fr (в плоскости YZ)
Fr = Ft tg 20
Тогда
-Fпр.в
a + d + e) + RFy
a + d) – Fr
= 0
Из данного уравнения выражаем RFy
Сумма проекций сил на ось ОY:
Y = RE – Fr – RFy +Fr пр.в
REy = -Fr + Ry – Fr пр.в
Суммарные радиальные реакции находятся по формулам:
RE =
RF =
7.2. Требуемый коэффициент работоспособности подшипников.
Подбор подшипников ведется по большей реакции:
С = 0,2 RF Kk K б(h
)0.3
где RF – большая из суммарных радиальных реакций
h – желаемый срок службы подшипника; принимаем равным 8000 часов
Кк – коэффициент кольца. Принимаем = 1
Кб – динамический коэффициент. Принимаем = 1,4
По данному коэффициенту работоспособности и диаметру вала подбираем подшипник.
7.3. Теоретический срок службы выбранного подшипника (h):
(h
где С – требуемый коэффициент работоспособности подшипников
RF – большая из суммарных радиальных реакций
Кб – динамический коэффициент
8. Выбор муфты
9. Выбор посадок
10. Сборка узла тихоходного вала.
Рисунок 2. Эскизная компоновка вертикального редуктора
6. Расчет клиноременной передачи.
Исходные данные:
Р – мощность на входном валу
n1 = nac – число оборотов входного вала
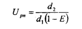
Upn – передаточное число
E – коэффициент упругого скольжения ремня.
Требуется: рассчитать клиноременную передачу, работающую в различных нагрузочных режимах (рисунок 2) по данным таблицы.
Р
исунок 3. Схема ременной передачи.
Последовательность расчета.
На рисунке 4 приведена расчетная схема клиноременной передачи.
Р
исунок 4. Клиноременная передача.
-
Выбор типоразмера сечения ремня.
В зависимости от мощности и частоты вращения вала выбираем соответствующее сечение ремня, имеющее следующие параметры (см. Анурьев В.И.Справочник конструктора-машиностроителя)
Т0 – высота ремня
2. Передаваемый вращающий момент на входном валу передачи
3
. Расчетный диаметр меньшего шкива:
Диаметр шкива выбираем из стандартного ряда по ГОСТ 17383-73
4
. Расчетный диаметр большого шкива:
5. Уточняем передаточное отношение:
6
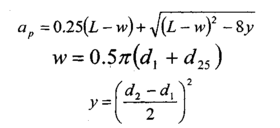
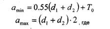
. Межосевое расстояние ар следует принимать в интервале:
Т0 - высота сечения ремня,
принимаем аmax
ар
аmin
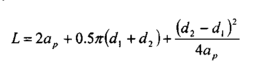
7. Расчетная длина ремня
8. Уточненное значение межосевого расстояния ар с учетом стандартной длины ремня L.
При монтаже передачи необходимо обеспечить возможность уменьшения межосевого расстояния на 0.01L для увеличения напряжения ремней.
9
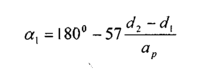
. Угол обхвата меньшего шкива:
10. Выбираем:
а) коэффициент динамичности и режима работ, учитывающий условия эксплуатации передачи – Ср > 1
б) коэффициент, учитывающий влияние длины ремня CL = 0.93
в) коэффициент, учитывающий влияние угла обхвата Ca = 0.9
г) коэффициент, учитывающий число ремней в передаче CZ = 0.9
д) коэффициент материала См = 1
11. Число ремней в передаче:
где Ро - мощность, передаваемая одним клиновым ремнем
12. Напряжение ветвей одного клинового ремня:
13. Давление на валы определяется по формуле:
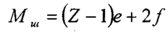
14. Ширина обода шкива:
е,f - параметры профиля канавок шкивов [Анурьев В.И. - таб.26,с.499]
Список рекомендуемой литературы:
1. Анурьев Е.С. Справочник конструктора-машиностроителя том 2. М.: Машиностроение, 1982 – 450 с.
2. Иванов М.Н. Детали машин. М.: Высшая школа, 1991 – 383 с.
3. Дунаев П.Ф. Конструирование узлов и деталей машин. М.: Высшая школа, 1978 – 348 с.
4. Решетов Д.Н. Детали машин. М.: Машиностроение 1984.















