125122 (690294), страница 2
Текст из файла (страница 2)
В корпусе мельницы над каждой камерой сделаны овальные отверстия — люки, закрываемые крышками 7 (рис. 3.3). Через эти люки мельница загружается мелющими телами. В первых камерах мелющими телами обычно служат металлические шары, в остальных — короткие металлические цилиндры (цильпебсы). Стальными телами камеры заполняют примерно на 23—28% их объема.
К цапфе 4 (рис.3.4) жестко крепится груша 23 (разгрузочное устройство), на внутренней стороне которой имеются лопасти 26. Последние подают материал в пустотелую цапфу. В эту цапфу вставлена втулка 24 с приваренными к ней лопастями. Лопасти груши и цапфы обеспечивают принудительное поступление материала в мельницу, причём параметры загрузочного устройства обеспечивают значительно большую производительность, чем производительность мельницы, что устраняет возможность её недогрузки.
Между загрузочной течкой 3 (рис. 3.4) и грушей сделано двойное фетровое уплотнение с прижимным кольцом. Между кольцом и течкой нагнетается густая смазка.
У разгрузочного днища 10 установлена диафрагма, состоящая из дырчатой перегородки 8, пустотелого конуса 9 и приваренных к нему радиально направленных лопастей 11. К цапфе 13, внутри которой вставлена втулка 12 с лопастями, прикреплены разгрузочный патрубок 16 с окнами 18 по периферии и каркас контрольного сита 15, охваченный кожухом 17.
Мельница приводится в движение от электродвигателя 20 через двухступенчатый редуктор 21 и вал 22 центрального привода, снабженный зубчатыми муфтами. Наличие центрального привода позволяет обойтись без тяжелого и дорогого зубчатого венца, обеспечивает более спокойный ход мельницы и возможность установки двигателя с редуктором в отдельном помещении, защищенным от пыли.
Материал, измельчаемый в мельнице, проходит через межкамерные перегородки, затем через перегородку в диафрагмы поступает на лопасти 11, поднимается ими и сползает по их поверхности и поверхность конуса 9 во втулку 12, где подхватывается лопастями и подается в разгрузочный патрубок 16. Через окна 18 разгрузочного патрубка материал переходит на контрольное сито 15.
Измельченный материал, прошедший через сито, поступает в кожух 17, а из него в транспортирующее устройство. Частицы материала и мелкие остатки обработанных мелющих тел, не прошедшие сквозь сито, через полость 25 кожуха удаляются из мельницы.
Патрубок 14 служит для подсоединения мельницы к аспирационной системе.
-
-
3. Расчёт мельницы
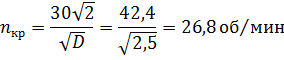
3.1 Определить критическую и рабочую частоту вращения мельницы
Критическая частота вращения.
Рабочая частота вращения принимается 80% от критической.
3.2 Определить массу загрузки шаров
R –радиус мельницы
L – длина мельницы
γ – объемная масса шаров
φ – коэффициент заполнения
3.3 Определить мощность электродвигателя
η – потери в приводе. Мы их принимаем, как 0,85.
3.4 Определить размеры мелющих тел
Принимаем известняк с величиной кусков 25 мм, величина частиц 300мкм.
По Разумову:
| 1-ая камера, мм | 2-ая камера, мм. | 3-ая камера (цильпебсная), мм. |
| 120 - 100 | 80 - 60 | 32 - 18 |
3.5 Определить производительность мельницы
D – внутренний диаметр отфутерованного барабана, м;
V – внутренний полезный объем барабана, м3;
q – удельная производительность мельницы, т/кВт*ч;
k – поправочный коэффициент учитывающий тонкость помола.
Заключение
В данной работе мы рассчитали шаровую мельницу с заданными размерами L=15 м, D=2,5 м и определили: критическую и рабочую частоту вращения мельницы, массу загрузки шарами, размеры мелющих тел, мощность электродвигателя, а так же производительность мельницы.
Данный тип мельниц применяют в цементной промышленности, а именно на Ангарском цементном заводе и УЗТСМ в г. Норильск.
Библиографический список
-
Байсоголов В.Г. Механическое и транспортное оборудование заводов огнеупорной промышленности. М.: Металлургия, 1984. 294с.
-
Ильевич А.П. Машины и оборудование для заводов по производству керамики и огнеупоров. М.: Машиностроение, 1968. 355с.
-
Сапожников М.Я. Механическое оборудование предприятий строительных материалов, изделий и конструкций. М.: Высшая школа,1971. 382с.
15















