124124 (689842), страница 3
Текст из файла (страница 3)
3.1 Математическая модель объекта управления
Математическим моделированием является процесс установления соответствия данному реальному объекту некоторого математического объекта, называемого математической моделью, а также исследование этой модели, позволяющее получать характеристики рассматриваемого реального объекта. Вид математической модели зависит как от природы реального объекта, так и задач исследования объекта и требуемой достоверности и точности решения этой задачи.
Любая математическая модель описывает реальный объект лишь с некоторой степенью приближения к действительности. Наиболее полное исследование процесса функционирования системы можно провести, если известны явные зависимости, связывающие искомые характеристики с начальными условиями, параметрами и переменными системы.
Структурная схема представлена на рисунке 3.1.
Рисунок 3.1 – Структурная схема смесителя-эмульсатора
Входные параметры:
1 – давление воздуха
2 – температура воды
Выходные параметры:
3 – давление воздуха
4 – температура массы
Помехи:
5 – концентрация смеси
3.2 Построение экспериментальной переходной функции объекта управления
Построим график переходного процесса.
Рисунок 3.2 – График скачкообразного изменения входного воздействия
После чего значения изменения выходной величины y(t) заносим в таблицу.
Таблица 3.1 – Экспериментальные данные для построения переходной функции объекта управления
| t, с | 0 | 0,5 | 1 | 1,5 | 2 | 2,5 | 3 | 3,5 | 4 | 4,5 | 5 | 5,5 | 6 |
| y(t) | 0,052 | 0,07 | 0,19 | 0,25 | 0,31 | 0,35 | 0,4 | 0,42 | 0,45 | 0,47 | 0,48 | 0,49 | 0,5 |
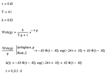
По данным таблицы 3.1 строится переходная функция объекта управления y(t) в программе MathCad
Рисунок 3.3 – Получение переходной функции объекта управления y(t)
Рисунок 3.4 – Определение динамических параметров
Вид полученной выше экспериментальной переходной функции позволяет сделать вывод, что с достаточной для практических задач точностью данный объект можно аппроксимировать последовательным соединением следующих типовых динамических звеньев: звеном чистого запаздывания и апериодическим звеном первого порядка. Таким образом, выражение для передаточной функции объекта управления будет иметь вид:
Величины характеризующие динамические свойства объекта управления такие как Коб – коэффициент усиления объекта, T – постоянная времени объекта и τ – время запаздывания объекта можно определить с помощью данного графика.
Таким образом:
-
Время запаздывания τ = 0,43 сек.;
-
Постоянная времени Т = 4,1 сек.;
-
Коэффициент усиления Коб =
=0,63
Полученные данные об объекте управления являются исходными для расчетов настроечных параметров для регулятора
3.3 Идентификация объекта управления
1 – расчетная переходная функция y(t), 2 – экспериментальная функция переходного процесса y(t)
Рисунок 3.5 – Идентификация экспериментальной и расчетной переходной функции
Таблица 3.2 – Экспериментальные и расчетные данные
| t | 0 | 0,5 | 1 | 1,5 | 2 | 2,5 | 3 | 3,5 | 4 | 4,5 | 5 | 5,5 | 6 |
| y | 0,052 | 0,07 | 0,13 | 0,19 | 0,23 | 0,29 | 0,33 | 0,38 | 0,43 | 0,46 | 0,48 | 0,49 | 0,5 |
| yp | 0,052 | 0,064 | 0,134 | 0,196 | 0,251 | 0,3 | 0,343 | 0,381 | 0,415 | 0,446 | 0,472 | 0,496 | 0,5 |
R =0,83*100% = 83%
Поскольку коэффициент детерминации имеет достаточно высокое значение, можно сказать об адекватности математической модели в пределах диапазона исходных данных.
3.4 Выбор закона регулирования и типа регулятора
Рассматриваемый объект управления обладает самовыравниванием и аппроксимируется апериодическим звеном первого порядка. Исходя из этого, в качестве типового примем апериодический процесс.
Параметры регулятора определим из формулы:
Кр = 9,081
Ти = 2,46
Таким образом, передаточная функция ПИ-регулятора примет вид:
Параметры регулятора определим из формулы:
Кр = 14,378
Ти = 1,032
Тп = 0,172
3.5 Анализ устойчивости САР по критерию Найквиста
Понятие устойчивости является важнейшей качественной оценкой динамических свойств САР. Способность системы восстанавливать состояние равновесия, из которого она была выведена в результате какого-либо воздействия, называется устойчивостью.
Теорема (критерий Найквиста). Для устойчивости САУ необходимо и достаточно, чтобы годограф разомкнутой системы W(iω) при изменении ω от 0 до ∞ охватывал l/2 раз в положительном направлении точку (-1, i0), где l-число корней характеристического уравнения разомкнутой системы, лежащих в правой полуплоскости.
Для получения передаточной функции разомкнутой САР с ПИ – регулятором:
W(p) = W(p)об*W(p)рег
Для получения передаточной функции разомкнутой САР с ПИД – регулятором:
W(p) = W(p)об*W(p)рег
3.6 Оценка устойчивости САР
Построение АФЧХ разомкнутой системы с ПИ – регулятором.
Рисунок 3.6 – АФЧХ разомкнутой системы с ПИ-регулятором
По АФЧХ разомкнутой системы с ПИ – регулятором можно сделать вывод, что замкнутая система с ПИ – регулятором является устойчивой по критерию Найквиста. Проведя дополнительные построения, определим: запас устойчивости по амплитуде составляет А=1/U=2,5, по фазе запас устойчивости Q=500
Построение АФЧХ разомкнутой системы с ПИД – регулятором.
По критерию Найквиста замкнутая система с ПИД – регулятором является устойчивой. Проведя дополнительные построения, определим: запас устойчивости по амплитуде составляет А=1/U=1,6, по фазе запас устойчивости Q=300
Рисунок 3.7 – АФЧХ разомкнутой системы с ПИД-регулятором
3.7 Определение показателей качества управления замкнутой САР
Передаточная функция замкнутой САР уровня с ПИ-регулятором:
График переходной функции замкнутой АСР уровня с ПИ-регулятором.
По графику переходного процесса определяем следующие показатели качества:
Время регулирования tрег.
Время регулирования определяется как время, при достижении которого выходная величина достигает 95% от установившегося значения и больше не выходит за диапазон 95% -105%. Время регулирования составляет 10 секунд;
Степень затухания (ψ)
Рисунок 3.9 – Переходной функции замкнутой САР уровня с ПИ-регулятором
Степенью затухания ψ называется отношение разности приращений относительно установившегося значения двух соседних однонаправленных амплитуд одного знака кривой переходного процесса к большей из них, ψ определяется по формуле:
Перерегулирование показывает максимальное отклонение выходной величины hmax(t) от установившегося значения h(∞). Значение σ вычисляем по формуле:
Анализируя показатели качества переходного процесса в замкнутой системе, убеждаемся в правильности синтеза рассматриваемой системы.
Передаточная функция замкнутой САР уровня с ПИД-регулятором:
График переходной функции замкнутой АСР уровня с ПИД-регулятором:
Рисунок 3.10 – Переходной функции замкнутой САР уровня с ПИД-регулятором
По графику переходного процесса определяем следующие показатели качества:
Время регулирования tрег.
Время регулирования определяется как время, при достижении которого выходная величина достигает 95% от установившегося значения и больше не выходит за диапазон 95%-105%. Время регулирования составляет 7 секунд;
Степень затухания (ψ)
Степенью затухания ψ называется отношение разности приращений относительно установившегося значения двух соседних однонаправленных амплитуд одного знака кривой переходного процесса к большей из них, ψ определяется по формуле:
Перерегулирование показывает максимальное отклонение выходной величины hmax(t) от установившегося значения h(∞). Значение σ вычисляем по формуле:
Анализируя показатели качества переходного процесса в замкнутой системе, убеждаемся в правильности синтеза рассматриваемой системы.
Выводы
Для анализа качества переходных процессов в системах автоматического регулирования с ПИ- и ПИД – регуляторами представим показатели этих процессов в виде таблицы. В рассматриваемом примере и ПИ- и ПИД – регулятор позволяют обеспечить требуемое качество регулирование. Наиболее лучшее качество регулирование обеспечит ПИД – регулятор.
Таблица 3.3 – Показатели качества ПИ- и ПИД – регулятора
| ψ | σ | tрег | |
| ПИ-регулятор | 0,8 | 0,11% | 10 сек |
| ПИД-регулятор | 0,9 | 0,32% | 7 сек |
Заключение
Приведенные выше графики и расчеты позволяют сделать обоснованный выбор регулятора. Если выбор сделан правильно, это позволит обеспечить поддержание регулируемого параметра в заданном диапазоне, следовательно, повысить качество регулирования и минимизировать потери сырья и энергии.
Для рассмотренного объекта управления выбран ПИД – регулятор.
Список источников
1. А.И. Драгилев, И.С. Лурье. «Технология кондитерских изделий» Москва «ДеЛи принт» 2003.
2. Н.И. Шиянова, Е.Г. Валитова «Теория автоматического управления» учебное пособие. – Мелеуз, филиал ГОУ ВПО «МҐУТУ», 2008.
=0,63














