123975 (689740), страница 3
Текст из файла (страница 3)
где L - расчётная длина обрабатываемой поверхности.
L = l + l 1 + l 2, где
l - действительная длина обрабатываемой поверхности; l = 12 мм;
l 1 - величина врезания
l 1 = t ´ ctg j = 1.98 ´ ctg45 0 = 1.98 мм;
l 2 - выход инструмента;
l 2 = (2 ¸ 3) S ст = 2 ´ 0.37 = 0.74 мм;
i = 7 (количество проходов)
L = l + l 1 + l 2 = 12 + 1.98 + 0.74 = 14.72 мм;
минут.
(Приложение) Операционная карта механической обработки: 010 ТОКАРНАЯ
Расчёт режима резания при сверлении
Деталь - заготовка конического зубчатого колеса. Материал - сталь 45: s в = 61 кг-с/мм 2;
Станок вертикально сверлильный модели 2Н135; Сверло - спиральное из быстрорежущей стали Р18; Æ 30
Определяем глубину резания при сверлении:
15 мм
Подача при сверлении: S = 0.02 ´
= 0.02 ´ 30 = 0.6 мм/об;
Корректируем подачу по паспорту станка 2Н135;
S пас = 0.1 ¸ 1.6 мм/об; Z =9;
S = 0.6, т.е. 0.1 < S < 1.6
Выбираем подачу по ступеням:
S max = j z-1 ´ S min;
S 2 = 0.1 ´ 1.42 = 0.142 мм/об
S 3 = 0.142 ´ 1.42 = 0.202 мм/об
S 4 = 0.202 ´ 1.42 = 0.286 мм/об
S 5 = 0.286 ´ 1.42 = 0.406 мм/об
S 6 = 0.406 ´ 1.42 = 0.577 мм/об
S 7 = 0.577 ´ 1.42 = 0.820 мм/об
В качестве рассчётной принимаем ближайшую меньшую
S p = S 6 = 0.577 мм/об
3. Определяем расчётную скорость резанья при сверлении
где
К v = K Lv ´ K Mv ´ K Hv - поправочный коэффициент.
K Lv - коэффициент, учитывающий глубину отверстия в зависимости от диаметра сверла. По таблице 9 находим K Lv = 1.0;
K Mv - коэффициент учитывающий влияние материала.
Для стали
; где a = 0.9 (таб. 10)
s в = 61;
;
K Mv - коэффициент учитывающий материал сверла.
Для сверла из быстрорежущей стали K Mv = 1.0;
то К v = K Lv ´ K Mv ´ K Mv = 1.0 ´ 1.14 ´ 1.0 = 1.14;
По табл. 11 находим для S > 0.2;
C v = 9.8; b v = 0.4; X v = 0; Y v = 0.7; m = 0.2;
м/мин;
Определяем расчётную частоту вращения шпинделя
По паспорту станка
n min = 31.5 об/мин;
n max = 1400 об/мин;
Z = 12; число ступеней вращения
n max = n min ´ j z-1
Частота вращения по ступеням:
n 2 = n 1 ´ j = 31.5 ´ 1.41 = 44.42 об/мин;
n 3 = n 2 ´ j = 44.4 ´ 1.41 = 62.62 об/мин;
n 4 = n 3 ´ j = 62.6 ´ 1.41 = 88.3 об/мин;
n 5 = n 4 ´ j = 88.3 ´ 1.41 = 124.5 об/мин;
n 6 = n 5 ´ j = 124.5 ´ 1.41 = 175.6 об/мин;
n 7 = n 6 ´ j = 175.6 ´ 1.41 = 247.5 об/мин;
n 8 = n 7 ´ j = 247.5 ´ 1.41 = 349.0 об/мин;
В качестве рассчётной принимаем ближайшую меньшую частоту вращения
n p = n 7 = 247.5 об/мин
Определяем фактическую скорость резания.
Основные режимы резанья при сверлении:
S = 0.6 мм/об;
V = 23.31 м/мин;
n = 247.5 об/мин;
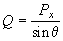
Определяем осевую силу резания:
Р 0 = С р ´ D Zp ´ S yp ´ K Mp
по таблице 6 К Mp = 0.89: по табл. 12 находим:
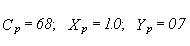
С р = 51; Z p = 1.4; Y p = 0.8, то
Р 0 = 51 ´ 30 1.4 ´ 0.6 0.8 ´ 0.89 = 51 ´ 116.9 ´ 0.665 ´ 0.89 = 352.8 кг-с;
Р доп = 1500 кг-с; то
Р 0 < Р 0 доп;
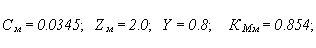
Определяем крутящий момент
где
;
то табл. 12 находим для стали С М = 40; В М = 2.0; Y м = 0.8;
М кр = 40 ´ 30 2.0 ´ 0.6 0.8 ´ 0.89 = 8.54 кг-с ´ м;
по паспорту станка М кр п = 40 кг-с ´ м;
Определяем мощность на шпинделе станка.
h = 0.8 (КПД станка по паспорту)
Коэффициент использования станка по мощности
где
- мощность главного электродвигателя станка по паспорту.
Определяем основное техническое время
где L - расчётная длинна обрабатываемой поверхности.
;
l - действительная длина (чертёжный размер) l = 33 мм;
l 1 - величина врезания;
l 2 - выход инструмента;
l 1 + l 2 = 0.4 ´ D = 0.4 ´ 30 = 12 мм
(Приложение) Операционаая карта механической обработки (сверлильная)
Расчёт режима резания при протягивании
По таблице 15 выбираем подачу на зуб
;
= 0.1 мм
Определяем расчётную скорость резания:
;
где Т = стойкость протяжки; назначаем Т = 300 мин,
по таблице 16 находим
;
По паспорту станка
1 <
< 9, то расчёт верен.
Определяем силу резания:
по таблице 17 находим
=177;
= 0.85;
= 0.1 мм; b = 10; n = 1
- коэффициенты, характеризующие влияние соответственно износа, смазочно охлаждающей жидкости заднего и переднего углов.
=1.0;
=1;
=1.0
= 1.13 (охлаждение эмульсолам)
По паспорту станка
=10000 кг-с, то расчёт верен.
Определяем эффективную мощность.
;
Потребляемая мощность
;
где h = 0.9 - КПД станка по паспорту.
Коэффициент использования по мощности главного электродвигателя.
В связи с низким коэффициентом использования электродвигателя в качестве протяжного станка можно выбрать менее мощный, например 7Б505 с мощностью 7 квт.
Определяем основное технологическое время Т;
; где
= l +
- длина рабочего хода инструмента;
l - действительное определение (чертёжная) длина протягиваемой детали. l = 33;
- длина режущей части протяжки
мм;
- длина калибрующей части
мм; l = 10 мм - длина перебегов протяжки.
мин;
(Приложение) Операционная карта механической обработки при протягивании.
Расчёт и конструирование сверла
Расчёт и конструирование сверла из быстрорежущей стали с коническим хвостовиком для обработки сквозного отверстия Æ 30, глубиной L = 33 мм. В заготовке из стали 45 с пределом прочности s = 610 Мпа;
Определяем диаметр сверла по ГОСТ 2092-77 находим необходимый диаметр сверла Æ 30 мм: сверло 2301-4157.
Определяем осевую составляющую силы резания
D Хp
;
;
где по таблице
;
- по расчётам режима резания;
;
Момент силы сопротивления резания
D Zм
, где
Определяем № конуса Морзе хвостовика;
осевую составляющую силу резания
можно разложить на две силы:
Q - действующую нормально к образующей конуса
, где q угол конусности хвостовика, и силу R действующую в радиальном направлении и уравновешивающую реакцию на противоположной точке поверхности конуса.
Сила Q создаёт касательную составляющую T силы резания; с учётом коэффициента трения поверхности конуса о стенки втулки m имеем:
;
Момент трения между хвостовиком и втулкой:
Приравниваем момент трения к максимальному моменту сил сопротивления резанию, т.е. к моменту, создающемуся при работе затупившимся сверлом, который увеличивается до трёх раз по сравнению с моментом, принятым для нормативной работы сверла
средний диаметр конуса хвостовика:
или
;
=9.225 кг-с ´ м;
= 654 кг-с
m = 0.096 - коэффициент трения стали по стали;
Ð q =
- отклонение угла конуса
мм
По ГОСТ 25557-82 выбираем ближайший больший конус т.е. конус Морзе №3:
5.5 Определяем длину сверла по ГОСТу находим
L = 395 мм
l = 275 мм
5.6 Определяем геометрические и конструктивные параметры рабочей части сверла;
Форма заточки - ДП (двойная с подточкой перемычки),
Угол наклона винтовой канавки
- угол между режущими кромками
- задний угол
- угол наклона поперечной кромки.
Шаг винтовой канавки
мм;
Толщина
- сердцевина сверла выбирается в зависимости от диаметра сверла;
мм;
Утолщение сердцевины по направлению хвоставику 0.5 - 0.8 мм на 100 мм длины рабочей части:
мм;
ширина ленточки (вспомогательная задняя поверхность лезвия
, выбираем по таблице в зависимости от диаметра сверла
мм;
5.7 Предварительное отклонения размеров конуса хвостовика устанавливаем по ГОСТ 2848-75. Радиальное биение рабочей части сверла относительно оси хвостовика не должно превышать 0.15 мм; Углы
;
Угол наклона винтовой канавки
; Предельные отклонения размеров подточки перемычки режущей части сверла + 0.5 мм;
Твёрдость рабочей части сверла
;
(Приложение) Операционная карта сверлильная, Маршрутная карта.
Выбор станочного приспособления для зубофрезерования
Станочные приспособления - это положительные устройства к станкам, позволяющие достаточно точно устанавливать и закреплять заготовки деталей при их обработке.
При необходимости станочные приспособления обеспечивают направления режущего инструмента и периодический поворот заготовки в процессе обработки.
Станочные приспособления обеспечивают правильное взаимное расположение заготовки, стола и инструмента, расширяют технологические возможности станков. Они повышают точность обработки, производительность и экономическую эффективность, облегчают условия труда рабочих. По группам оснащаемых станков, приспособления подразделяются на токарные, фрезерные, сверлильные (кондукторы), шлифовальные и т.д..
По количеству устанавливаемых деталей: одноместные и многоместные.
По степени универсальности (специализации) приспособления подразделяются на:
- универсальные безналадочные (УБП) и универсально наладочные приспособления (УНП);
- специализированные безналадочные (СБН) и наладочные приспособления (СНП);
- специализированные приспособления: универсальные сборные (УСП); сборноразборные (СРП) и необратимые специальные (НСП).
Для установки и закрепления установок, обрабатываемых на зубофрезерных, зубодолбёжных, зубошевенговых и зубошлифовальных станках, применяются разнообразные оправки, обеспечивающие высокую степень базирования. Для точного центрирования применяют оправку с упругой оболочкой - с гидропластом, жесткие для посадки заготовок с небольшим зазором. Заготовку закрепляют ручным зажимом или используют приспособление с пневматическим, гидравлическим приводом.
На точность зубообработки непосредственно влияет точность центрований приспособлений, ось которых должны совпадать с осью вращения стола.
В качестве приспособления для зубофрезирования выбираем оправку зубчатую центровую по ГОСТ 18438-73; обозначение 7150-0421
Расчёт усиления зажима
Для винтового зажима
;
где F = 200 Н на усилие на ключе;
l - длина плеча ключа; l = 150 мм;
- средний диаметр резьбы;
= 10.98 мм;
a - угол подвига резьбы;
;
- угол трения резьбовой пары;
;
- половина угла профиля резьбы
кг-с;
(Приложение) Чертёж оправка зубчатоя центровая.















