123956 (689732), страница 2
Текст из файла (страница 2)
Продукты выпечки – соковые пары, излишки пара для запаривания – отводятся из отдельных температурных зон посредством натуральной оттяжки соковых паров.
Линия компонуется с люлечно-подиковой печью типа ФТЛ-2. Опара и тесто готовятся в тестомесильном агрегате непрерывного действия. Тестовые заготовки, выходящие из делителя, после округления и предварительной расстойки на транспортере формуются в закаточной машине и поступают в загрузчик расстойного шкафа. Люльки с расстоявшимися тестовыми заготовками опрокидываются на подики печи. Выпеченные батоны выгружаются на ленточный транспортер.
2. Анализ нормативов ведения технологического процесса и эксплуатации технологических машин
Рассмотрим ниже таблицу регламентов ведения ТП и эксплуатации машин, определяющих номинальные значения параметров и допусков на отклонения, обеспечивающих заданное качество конечного продукта и безаварийность работы оборудования.
Таблица 1.Нормативы ведения ТП.
| № | Наименование параметра | Услов. обознач. | Единица измерения | Номинальное значение | Допустимое отклонение |
| 1 | Температура выпечки в I зоне | T1 | ºC | 250 | ±10 |
| 2 | Температура выпечки во II зоне | T2 | ºC | 280 | ±10 |
| 3 | Влажность в I зоне | φ | % | 25 | ±5 |
| 4 | Контроль времени выпечки | t | мин. | 30 | ±2 |
| 5 | Давление газа в магистрали высокого давления | Рв | кПа | 60 | ±10 |
| 6 | Давление газа в магистрали низкого давления | Рн | кПа | 1 | ±0,1 |
3. Формулирование задач системы технологического контроля
В соответствии с технологией производства формового хлеба необходимо измерять относительную влажность, температуру, давление в расстойном шкафу, давление газа в магистрали, контролировать время выпечки.
Приборы для измерения необходимых величин должны преобразовывать измеряемый параметр в электрический сигнал, который поступает затем на вторичный прибор (ВП), который желательно установить на щите. С ВП сигналы должны поступать на микроконтроллер (МК), а затем их можно вводить в персональный компьютер (ПК).
Функции приборов по месту: преобразование, а для анализа газовой среды еще и индикация.
Функции вторичных приборов, устанавливаемых на щите: индикация.
Функции микроконтроллера: регулирование и преобразование.
Функции персонального компьютера: индикация, регистрация, регулирование, сигнализирование и преобразование.
Для управления работой ТЭНа сигналом, поступающим с микроконтроллера, необходимо иметь тиристорный преобразователь, а также трансформатор и амперметр для измерения тока.
4. Разработка системы технологического контроля и выбор технических средств измерений
В соответствии с п. 3. разрабатываемая система должна содержать каналы измерения перечисленных выше параметров.
Температура измеряется термопреобразователем сопротивления (ТСМ 50М [-50…+180 ºC]), который подключается к одноканальному измерителю. Показания заносятся в контроллер и ЭВМ, преобразование интерфейсов производиться контроллером ADAM 4017. На основании полученных данных контроллер вырабатывает, и посылает управляющий сигнал на исполнительные механизмы, которые управляют расходом газа в магистрали высокого давления и расходом воздуха, который поступает в первый муфель и необходим для нормального горения факела.
Давление разряжения в муфелях измеряется манометрами избыточного давления (САПФИР-22ДИ [0…100 кПа]). Сигнал, который поступает на прибор контроля пламени, куда также поступает сигналы о наличии пламени в муфелях. На основании полученных данных фотоэлектрический датчик пламени типа ФД вырабатывает сигналы, которые регулируют подачу газа высокого давления в муфели, подачу газа низкого давления на запальник, а также управляют запальниками.
Составим спецификацию к схеме автоматизации.
Таблица 2.Технические средства и приборы.
| Позиция | Наименование, технические характеристики | Кол-во | Тип |
| 1а, 4а | Уровнемер ультразвуковой (диапазон измерения до 75 м.) | 2 | VEGASON 53 |
| 6a, 7a, 8a, 9a | Массовый расходомер Кориолиса. | 4 | MASS DI 3-DI 40 |
| 14a, 18a | Термометр сопротивления, медный. Диапазон -50…180 С. | 2 | ТСМ 50М |
| 21а | Тензометрический датчик. | 1 | САПФИР-652ДИ |
| 15а | Преобразователь влажности резистивного типа, с выходным сигналом 4…20 мА, кл. 11-89% - 2, длина погруженной части 80…250мм. | 1 | ТЭРА, ДВ-02 |
| 15б | Измеритель технологический (шк. 0…100%, кл.0,5). | 1 | ИТ-1 |
| 15в | Блок ввода, 8-ми канальный | 1 | ADAM-4017 |
| 17а | Уровнемер гидростатического непрерывного измерения (диап.темп. 0…100 С, вых.ток.сигнал 4…20 мА). | 1 | SITRANS P DS III, Siemens |
| 18б | Симисторный усилитель мощности (максимальный ток 10-12 мА) | 1 | УМ 4/16 |
| 19а, 23а, 26а | Показывающий манометр (диапазон 0…600 кПа). | 3 | ДМ 1001 У2 |
| 22а | Фотоэлектрический датчик пламени | 1 | ФД |
| - | Кнопочный станции "Пуск-Стоп" | 10 | ПКЕ-212 |
5. Анализ и синтез измерительного устройства в заданном канале измерения
В соответствии с заданием необходимо разработать принципиальную схему и построить статическую характеристику нормирующего преобразователя. Исходные данные:
| ПП | Измеряемый параметр | Характеристика НП, град. | Диапазон измерения | Выходной сигнал |
| Термометр сопротивления | Температура расстойки | 50М | 0…50 ºС | 0…10 В |
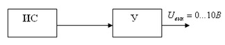
где ИС – измерительная схема, где происходит превращение изменения сопротивления ПП в изменение выходного сигнала; У – усилитель выходного сигнала с измерительной схемы.
При измерении температуры расстойки необходимо преобразовать сопротивление датчика в напряжение 0…10В на выходе измерительного преобразователя. В качестве измерительной части выберем схему неуравновешенного моста с линейной зависимостью выходного напряжение от сопротивления термометра
.
Если принять
,
и
, то
;
где:
опорное напряжение.
Выбираем стабилитрон типа Д818Е.
Рассчитаем источник опорного напряжения. Необходимо получить
. В точке А надо получить напряжение 10 В. Исходя из этого падение напряжения на
.
.
Принимаем
типа МЛТ 0,25±5%.
В точке В необходимо получить
. Рассчитаем
.
.
Найдем
из уравнения:
Принимаем
.
Значение допустимого тока через резистор
равен
.
Тип резисторов
МЛТ 0,25 0,2 кОм±5%.
Найдем напряжения на выходе схемы при различных температурах:
По полученным данным построим статическую характеристику
. На выходе измерительного преобразователя необходимо получить унифицированный сигнал 0–10 В. Для этого к измерительной схеме, на выходе которой получаем
, добавляем дифференциальный усилитель.
Диапазон измерений, полученный на выходе моста необходимо сместить в нуль подстроечным резистором
. Через данный резистор протекает ток
Сопротивление резистора R10 найдем по закону Ома:















