123282 (689415), страница 2
Текст из файла (страница 2)
При использовании графического метода определения скважина должна исследоваться на 5 - 8 режимах фильтрации. Причём 2 -3 режима из 8 должны быть проведены обратным ходом т.е. переходом с большего дебита на меньший. Это необходимо для проверки данных, полученных при относительно небольших дебитах на прямом ходу, когда возможно наличие столба жидкости на забое скважины и влияние загрязнения призабойной зоны на дебит скважины.
По результатам проведённого исследования определяют Рпл, Рзаб и Q. Рассчитываются значения P2 = Р2пл - Р2заб на различных режимах работы скважины. После этого строится зависимость между P2 и Q (рис.3.1). Полученная индикаторная кривая проходит через начало координат. Обработка индикаторной кривой в координатах P2 /Q от Q позволяет определить из графика значения коэффициентов а и b. При этом коэффициент а определяется как отрезок, отсекающий на оси P2 /Q величину а = 0,07023, а коэффициент b, как тангенс угла наклона прямой к оси, равный b = 0,000160.
Рис. 3.1 Зависимость P2 и P2 /Q от Q.
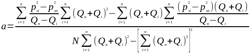
Численный метод определения фильтрационных коэффициентов применяется при значительном числе точек, когда число режимов превышает 10. При этом режимные точки, явно отличающиеся от общей закономерности P2 и Q из расчёта исключаются. Формулы для определения фильтрационных коэффициентов имею вид:
(3.5)
, (3.6)
где
; N - число режимов. Суммы берутся по всем измеренным значениям
и Q.
Такой численный метод определения коэффициентов называется метод наименьших квадратов.
Если пластовое давление не известно, результаты исследования могут быть обработаны в координатах
и определены (как графически, так и численно) коэффициенты a и b
где i = 1,2,3 …. m; n -порядковый номер режима; m - общее количество режимов. Коэффициент а определяется как отрезок, отсекаемый полученной прямой на оси ординат, b как тангенс угла наклона прямой к оси абсцисс.
Если пластовое давление неизвестно, коэффициенты а и b можно определить численным методом по формулам
, (3.7)
, (3.8)
где N - число сочетаний, определенное по формуле
По формулам и вычислять коэффициенты рекомендуется только при наличии большого числа точек (15-20), так как в противном случае точность полученных значений будет очень низкой.
Определив а и b описанными в п.3 методами, можно вычислить пластовое давление по формуле:
(3.9)
4. Интерпретация результатов исследования
Результаты проведения исследования оформляются официальным документом - актом, в котором отражены все измеренные и расчётные параметры работы скважины на режимах. Состояние скважины перед проведением исследования. Потери в добыче газа в период проведения исследования. Тарировочные таблицы применяемых измерителей физических величин. А также строятся индикаторные кривые.
АКТ о специальном исследовании скважины N 1032 от 90400 м. Медвежье
1. ПОКАЗАНИЯ ПРИБОРОВ. IНАИМЕНОВАНИЕI БУФЕР IЗАТРУБ. I ШЛЕЙФ I ДИКТ
Lскв = 1154 м IДАТЧИК N I 1306 1307 1288 988
Dвн = 168.0 мм IМЕСТО НУЛЯ I 3070 5964 6009 5995
РАБОЧИЙ РЕЖИМ: Pбуф = 3574.0дел, Pзатр= 0.0дел, Pшл = 6957.0дел
СТАТИКА: Pбуф = 3622.0дел, Pзатр= 0.0дел, Tшл = 17.4 гр. С
ДИАМЕТРI ДАВЛЕНИЕ, дел. IТЕМПЕР. I ВРЕМЯ I ОБЬЕМ I КОЛИЧ.
ШАЙБЫ, I-----I ГАЗА I РЕЖИМАI ВОДЫ I МЕХПР.
ММ I БУФЕР I ЗАТРУБ. I ДИКТ I град. СI мин I см3 I см3
28.50 3590 0.00 6967 12.00 40.00 400.00 0.00
31.70 3582 0.00 6918 12.80 40.00 3000 0.00
34.90 3572 0.00 6858 12.50 40.00 4000 0.00
38.00 3564 0.00 6804 12.60 40.00 5200 0.00
41.00 3557 0.00 6751 12.30 40.00 7000 0.00
31.70 3582 0.00 6919 12.90 30.00 2800 0.00
34.90 3571 0.00 6858 12.80 30.00 4000 0.00
2. РЕЗУЛЬТАТЫ РАСЧЕТА. Qр= 432 тыс. м3/сут
РАБОЧИЙ РЕЖИМ: Pбуф= 29.13 АТА,Pзатр= 0.00 АТА, Pшл= 27.60 АТА
СТАТИКА: Pбуф= 32.03 АТА,Pзатр= 0.00 АТА, Pпл= 34.64 АТА
ДИАМЕТРI ДАВЛЕНИЕ, АТА IРАСХОД IВОДНЫЙ IУД. СОД. I &Q,
ШАЙБЫ, I-------------------------------Iтыс. м3 IФАКТОР I МЕХПР. I
ММ I БУФЕР I ЗАБОЙ I ДИКТ I /сут Icм3/м3 I мг/м3 I%
28.50 30.08 32.82 27.63 335 0.04 0.0 - 0.6
31.70 29.60 32.41 26.19 391 0.28 0.0 - 1.5
34.90 29.01 31.89 24.43 440 0.33 0.0 0.8
38.00 28.53 31.50 22.85 487 0.38 0.0 - 0.2
41.00 28.12 31.18 21.30 530 0.48 0.0 - 1.7
31.70 29.60 32.41 26.22 391 0.34 0.0 - 1.6
34.90 28.95 31.82 24.43 440 0.44 0.0 2.1
Потери газа при исследовании: 92.6 тыс. м3
A= 0.244400АТА2*сут/тыс. м3 B= 0.000547АТА2*сут2/ (тыс. м3) 2
a= 0.245221АТА2*сут/тыс. м3 b= 0.000371АТА2*сут2/ (тыс. м3) 2
Расчетные параметры *
ДиаметрI Pзаб IPпл-PзабI Pбуф-PдIРст-PбуфI Расход I Скорость
мм I АТА I АТА I АТА I АТА I т. м3/с I м/сек
28.50 32.82 1.82 2.45 1.95 334.57 5.91
31.70 32.41 2.23 3.41 2.43 390.85 6.99
34.90 31.89 2.75 4.57 3.02 439.81 8.00
38.00 31.50 3.14 5.68 3.50 487.01 8.97
41.00 31.18 3.46 6.82 3.92 529.59 9.85
31.70 32.41 2.23 3.38 2.43 391.22 7.00
34.90 31.82 2.82 4.51 3.08 439.54 8.01
* могут использоваться только для приблизительной оценки работы скважины
Исполнитель: Представитель заказчика:
5. Задача
дача II:
Определить коэффициент СI учитывающий дополнительное фильтрационное сопротивление, приведенный радиус
и коэффициент совершенства гидродинамически несовершенной по степени вскрытия скважины радиусом rс = 0,1 м, находящейся в пласте с круговым контуром питания. Мощность пласта h = 16 м, мощность вскрытой части пласт b = 9,6 м, радиус контура питания Rк = 1 км.
Решение:
По Щурову В.И.
1
2.
По графику зависимости
определим:
4. Приведенный радиус скважины:
5. Коэффициент совершенства :
Заключение
Таким образом, мы видим, что важнейшие источники информации о газоносном пласте и скважинах газового месторождения - газогидродинамические методы исследования газовых скважин при стационарных режимах фильтрации, результаты этих исследований необходимы при определении запаса газа и конденсата, при проектировании и анализе разработки месторождений, составлении проектов обустройства, установления технологических режимов эксплуатации скважин, оценке их эффективности различных геолого-технических мероприятий. проводимых на скважинах и т.д.
В настоящее время получают развитие так называемые комплексные исследования газовых скважин, основанные на применении газогидродинамических и геофизических методов в сочетатании с лабораторными анализами кернов и продукции скважины (газа, конденсата и воды). Применение комплексных методов позволит получать более полные данные о пластах и скважинах.
Большой вклад в разработку этих методов внесли Е.М. Минский, Б.Б. Лапук, И.А. Чарный, Ю.П. Коротаев, Г.А. Зотов и др.
При помощи геофизических методов в сочетании с газогидродинамическими можно разрешить многие вопросы проектирования и анализа разработки месторождений и, в особенности, в разработке эффективных методов контроля и регулирования разработки.
Список используемой литературы
1. К.С. Басниев, А.М. Власов, И.Н. Кочина, В.М. Максимов. Подземная гидравлика. - М.: Недра, 1986 г.
2. Ф.А. Требин, Ю.Ф. Макагон, К.С. Басниев. Добыча природного газа. - М.: Недра, 1976 г.
3. О.М. Ермилов, В.В. Ремизов, А.И. Ширковский, Л.С. Чугунов. Физика пласта, добыча и подземное хранение газа. - М.: Наука, 1996 г.
4. Г.А. Зотов, З.С. Алиев. Инструкция по комплексному исследованию газовых и газоконденсатных пластов и скважин. - М.: Недра, 1980 г.
5. В.А. Евдокимова, И.Н. Кочина. Сборник задач по подземной гидравлике. - М., Недра, 1979 г.
















