122854 (689265), страница 2
Текст из файла (страница 2)
Запишем передаточную функцию по управляющему воздействию:
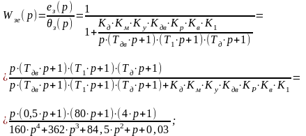
Передаточная функция САР по возмущающему воздействию определяет взаимосвязь между изменением регулируемой величиной Y и изменением возмущающего воздействия F:
,
где
-- передаточная функция цепи звеньев от места приложения возмущающего воздействия до регулируемой величины.
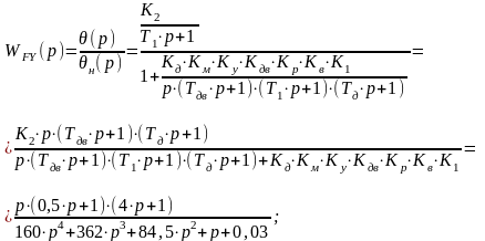
Передаточная функция для ошибки по управляющему воздействию определяет взаимосвязь между изменением сигнала ошибки и изменением задающего воздействия:
Для рассматриваемого объекта передаточная функция САР температуры теплоносителя в агрегате АВМ для ошибки по управляющему воздействию:
Передаточная функция по возмущающему воздействию определяет взаимосвязь между изменением ошибки и изменением возмущающего воздействия F:
5. Определение запасов устойчивости системы. Анализ устойчивости системы
Устойчивость – это свойство системы возвращаться в исходный или близкий к нему установившийся режим после снятия воздействия, вызвавшего выход из установившегося режима.
Неустойчивая система является не работоспособной, поэтому проверка устойчивости является обязательным этапом анализа системы.
Анализ устойчивости по критерию Гурвица.
Определим устойчивость САР температуры теплоносителя в агрегате АМВ. Для этого воспользуемся любой из полученных в предыдущем пункте передаточных функций, из которых следует, что характеристическое уравнение системы:
Для анализа устойчивости воспользуемся условиями устойчивости для уравнения четвертой степени:
Все коэффициенты характеристического уравнения положительны.
Проверяем второе условие:
Полученный результат показывает, что система устойчива.
Анализ устойчивости по критерию Найквиста.
Этот критерий основан на использовании амплитудно-фазовой частотной характеристики (АФЧХ) разомкнутой системы. Разомкнем систему и запишем передаточную функцию:
Такую систему называют астатической.
В общем случае астатическими называются системы, которые после приведения к одноконтурной в разомкнутом состоянии содержат интегрирующие звенья. Количество интегрирующих звеньев определяет степень астатизма системы.
В рассматриваемом случае система содержит одно интегрирующее звено (передаточная функция 1/р), поэтому она является системой с астатизмом 1-го порядка.
Характеристическое уравнение разомкнутой системы имеет нулевой корень. Это значит, что она находится на границе устойчивости. Поэтому применяем формулировку критерия Найквиста для астатических систем.
Построим АФЧХ разомкнутой системы, рассчитав значения
и
Для построения АФЧХ разомкнутой системы представим частотную передаточную функцию в виде:
По этим выражениям, придавая
значения от 0 до ∞, строим на комплексной плоскости АФЧХ разомкнутой системы (рис.4).
Таблица 2. – Результаты расчёта.
|
| 0 | 0,05 | 0,03 | 0,025 | 0,02 | 0,0175 | 0,015 |
| | 0 | 0,03 | 0,19 | 0,58 | 1,1 | 1,32 | 1,62 |
| | 0 | -278 | -182 | -163 | -150 | -144 | -132 |
Из рисунка видно, что АФХЧ разомкнутой имеет вид устойчивой системы.
Pис.4.АФЧХ разомкнутой системы.
6. Анализ зависимости статической ошибки системы от изменения управляющего воздействия на систему
При выполнении такого анализа используют передаточную функцию системы для ошибки по управляющему воздействию.
Воспользуемся передаточной функцией для ошибки по управляющему воздействию
в статике (при р=0) обращается в ноль, поэтому статическая ошибка по управляющему воздействию отсутствует.
В общем случае отсутствие статической ошибки по управляющему воздействию является следствием астатизма системы. Как показано в предыдущем разделе, рассматриваемая система обладает астатизмом 1-го порядка.
7. Совместный анализ изменения управляемой величины объекта управления и системы от возмущающего воздействия в статике. Определение статической ошибки системы по возмущающему воздействию
Воспользуемся передаточными функциями объекта управления и системы по возмущающему воздействию в статике (при р=0) обращается в ноль.
Поэтому в статическом режиме при изменении наружной температуры изменение температуры теплоносителя внутри агрегата АВМ, снабженного регулятором происходить не будет. Статическая ошибка такой системы равна 0.
8. Оценка качества управления по переходным функциям
Качество переходных процессов в линейных системах обычно оценивают по переходным функциям.
Переходной функцией h(t) называется график изменения во времени управляемой (регулируемой) величины системы при подаче на систему единичного управляющего или возмущающего воздействий.
Показатели качества управления, определяемые непосредственно по переходным функциям, называют прямыми показателями качества управления.
Рассмотрим оценку прямых показателей качества управления для нашей системы.
Отклонение регулируемой величины от своего установившегося значения характеризуется следующими показателями.
Для переходной функции по управляющему воздействию определяется перерегулирование:
,
где
-- максимальное значение регулируемой величины в переходном процессе;
-- установившееся значение регулируемой величины.
В нашем случае
Перерегулирование характеризует запас устойчивости системы. В нашем случае система полностью устойчива. Для переходных функций по возмущающему воздействию определяется максимальное отклонение регулируемой величины от установившегося значения, приходящейся на единицу возмущающего воздействия F(t):
.
В нашем случае
Быстродействие системы оценивается временем регулирования. Время регулирования
определяется как интервал времени от начала переходной функции до момента, когда отклонение выходной величины от ее нового установившегося значения становится меньше определенной достаточно малой величины ∆:
.
Примем
В нашем случае для переходной функции по управляющему воздействию:
;
с (рис. 5).
Для переходной функции по возмущающему воздействию:
;
с (рис. 6).
Колебательность переходного процесса определяется числом N перерегулирований для переходной функции по управляющему воздействию или числом колебаний N для переходной функции по возмущающему воздействию за время переходного процесса. В нашем случае N=1.
Перерегулирование и максимальное отклонение регулируемой величины от установившегося значения также служат оценкой колебательности.
Для переходного процесса по управляющему воздействию (рис. 5):
Для переходного процесса по возмущающему воздействию (рис. 6):
По результатам выполнения этого раздела для САР температуры теплоносителя а агрегате АВМ следует сделать следующие выводы:
Для рассмотренной системы перерегулирование составляет 34%, число перерегулирований и колебаний системы за время переходного процесса N=1. Качество системы по этим показателям следует считать удовлетворительным.
Время регулирования составляет около 420с, максимальное отклонение регулируемой величины от ее установившегося значения, приходящееся на единицу ступенчатого возмущающего воздействия, составляет
, колебательность системы около 0,17, изменение статической ошибки системы при изменении задающего воздействия и возмущающего воздействия составляет 0% от изменения этих воздействий.
Рис.7.Переходная функция по управляющему воздействию САР температуры теплоносителя в агрегате АВМ .
Рис.8.Переходная функция по возмущающему воздействию САР температуры теплоносителя в агрегате АВМ
Общие выводы по работе
Объектом управления САР температуры теплоносителя в агрегате АВМ.
Управляющим воздействием на объект является изменения количества топлива, подаваемого насосом в теплогенератор. Основное возмущающее воздействие – изменение температуры наружного воздуха и влажности высушиваемого продукта. Закон регулирования системы интегральный. Система устойчива. Система является астатической.
Прямые оценки показателей качества управления следующие: перерегулирование
, число пререгулирований N=1, что удовлетворяет требованиям и свидетельствует о достаточном запасе устойчивости.
Время регулирования 420с, максимальное отклонение регулируемой величины от её установившегося режима приходящееся на единицу ступенчатого возмущения равно
, колебательность системы равна 0,17. Качество системы следует считать удовлетворительным.
Литература
-
Юревич Е. Н. Теория автоматического управления. – Л.: Энергия, 1975.—416с
-
Бородин И. Ф., Кирилин Н. И. Основы автоматики и автоматизации производственных процессов. – М.: Колос, 1977. – 328с.
-
Теория автоматического управления. Ч.1./ Н. А. Бабанов, А. А. Воронов и др. – М.: Высш шк., 1986. – 367с.
-
Солодовников В. В., Плотников В. Н., Яковлев А. В. Основы теории и элементы систем автоматического регулирования. – М.: Машиностроение, 1985. – 536с.
-
Средства автоматики и телемеханики./Н.И. Бохан, И. Ф. Бородин, Ю. В. Дробышев, С. Н. Фурсенко, А. А. Герасенков. – М.: Агропромиздат, 1992. –351с.
-
Бородин И. Ф. Технические средства автоматики. – М.: Колос, 1982. – 303с.
-
Бохан Н. И., Фурунжиев Р. И. Основы автоматики и микропроцессорной техники. – Мн.: Ураджай, 1987. --- 376с.
















