24915 (686676), страница 6
Текст из файла (страница 6)
Рис.2.1 Щорічна кількість опадів у м. Болград 1947-2008 рр., мм
Рис.2.2 Щорічна кількість опадів у м. Вілкове 1947-2008 рр., мм
Рис.2.3 Щорічна кількість опадів у м. Ізмаїл 1947-2008 рр., мм
Рис.2.4 Щорічна кількість опадів у м. Сарата 1947-2008 рр., мм
Впродовж 1947-2008р.р. у південно-західній частині Одеської області усього випало 114 359,8 мм опадів, з яких за даними метеостанцій: Болград - 29961,7 мм, Вілкове - 28057,5мм, Ізмаїл - 27841,4 мм, Сарата - 28499,2 мм. Тобто за загальною кількістю опади розподілено у майже рівному співвідношенні (рис.2.5).
Рис.2.5 Розподіл загальної кількості опадів впродовж 1947-2008 рр. за населенними пунктами
Характеристики варіації за даними кількості опадів у регіоні впродовж 62-х років, що спостерігаються, наведено у табл. .2.2
Таблиця 2.2. Характеристики варіації кількість опадів у південно-західній частині Одеської області 1947-2008 рр.
| Показник | Розрахункова формула | Болград | Вілкове | Ізмаїл | Сарата | Регіон | ||||||||
| 1 | 2 | 3 | 4 | 5 | 6 | 7 | ||||||||
| 1. Середньорічні опади | 483,3 | 452,5 | 449,1 | 459,7 | 1 844,5 | |||||||||
| 2. Мінливість даних (відхиленням окремих значень від середнього) | | 105,8 або 22% | 115,1 або 25% | 117,9 або 26% | 95,2 або 21% | 377,3 або 20% | ||||||||
| 3. Коефіціент мінливості (Чим більше мінливість елементу, тим більша кількість років спостережень необхідна для набуття середнього значення із заданою погрішністю) | 0,219 | 0,254 | 0,262 | 0, 207 | 0, 205 | |||||||||
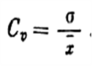
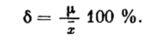
| 4. Стандартні (µ) помилки | | 13,432 | 14,623 | 14,969 | 12,093 | 47,911 | ||||||||
| 5. Відносні (σ) помилки | | 2,780 | 3,231 | 3,334 | 2,631 | 2,597 | ||||||||
| 6. Коефіцієнти асиметрії (Аs, косості) | | 0,298 | 0,989 | 0,103 | 0,579 | 0,521 | ||||||||
| 7. Коефіцієнти ексцесу (Е, крутість) | | 0,003520 | 2,489356 | 0,508385 | -0,165777 | 0,376962 | ||||||||
| 8. Максимальна кількість опадів за рік, мм | max | 773,8 | 918,0 | 792,1 | 700,0 | 2984,7 | ||||||||
| 9. Мінімальна кількість опадів за рік, мм | min | 247,5 | 254,4 | 150,0 | 304,5 | 1844,5 | ||||||||
***Складові до розрахунку показників варіації наведено у табл. .2.3
За показниками варіації (рис.2.1-2.4):
середньорічні опади у м. Болград - 483,3 мм, Вілкове - 452,5 мм, Ізмаїл - 449,1мм, Сарата - 459,7 мм, разом у регіоні 1844,5мм.;
максимальна середньорічна кількість опадів у регіоні скаладає 795,97 мм; за населеними пунктами: у м. Болград - 773,8 мм, Вілкове - 918,0 мм, Ізмаїл - 792,1 мм, Сарата - 700,0 мм, разом у регіоні 2984,7 мм.;
мінімальна середньорічна кількість опадів у регіоні скаладає 239,1мм; за населеними пунктами: у м. Болград - 247,5 мм, Вілкове - 254,4 мм, Ізмаїл - 150,0 мм, Сарата - 304,5 мм, разом у регіоні 1844,5 мм.;
відхилення окремих значень від середнього рівня в середньому складає складає 23%; найбільших коливань від середньорічного рівня можна спостерігати за метеостанцією у м. Ізмаїл - 26%, найменших у м. Сарата - 21%, по регіону зазначені коливання складають 20%;
відносні помилки спостережень, враховуючи кількість спостережень та мінливість даних й відхилення окремих показників від середнього рівня, значно мегші за стандартний рівень помилки: по м. Болград відносна помилка менша майже вдвічі, по регіону у сім разів;
показник асиметрії найменшим є за показниками по м. Ізмаїл, тобто максимальна кількість даних наближаеться до середнього рівня (коефіцієнт асиметрії дорівнює 0,103), й навпаки, найчастіше від середнього рівня відрізняється кількість опадів у м. Сарата (коефіцієнт асиметрії дорівнює 0,576);
негативний (плоскоповерховий) розподіл спостерігається тільки за показниками у м. Сарата, оскільки має відємне знаяення й дорівнює - 0,165777.
посушливі явища (бездощовий період)
Кількість днів без опадів за результатами спостережень наведено у табл. .2.3., рис.2.6-2.9
Таблиця 2.3. Кількість днів без опадів протягом року у південно-західній частині Одеської області 1947-2008 рр.
| Кільість днів за рік без опадів, днів | Болград | Вілкове | Ізмаїл | Сарата | |||||
| днів | % | днів | % | днів | % | днів | % | ||
| 1 | 2 | 3 | 4 | 5 | 6 | 7 | 8 | 9 | |
| 1947 | 249 | 68 | 256 | 70 | 333 | 91 | 268 | 73 | |
| 1948 | 278 | 76 | 271 | 74 | 296 | 81 | 285 | 78 | |
| 1949 | 253 | 69 | 239 | 65 | 279 | 76 | 257 | 70 | |
| 1950 | 240 | 66 | 243 | 67 | 262 | 72 | 269 | 74 | |
| 1951 | 262 | 72 | 257 | 70 | 276 | 76 | 282 | 77 | |
| 1952 | 239 | 65 | 219 | 60 | 262 | 72 | 241 | 66 | |
| 1953 | 272 | 75 | 235 | 64 | 290 | 79 | 296 | 81 | |
| 1954 | 244 | 67 | 207 | 57 | 268 | 73 | 266 | 73 | |
| 1955 | 233 | 64 | 220 | 60 | 253 | 69 | 249 | 68 | |
| 1956 | 253 | 69 | 222 | 61 | 258 | 71 | 243 | 67 | |
| 1957 | 268 | 73 | 234 | 64 | 281 | 77 | 276 | 76 | |
| 1958 | 253 | 69 | 247 | 68 | 263 | 72 | 270 | 74 | |
| 1959 | 266 | 73 | 240 | 66 | 274 | 75 | 258 | 71 | |
| 1960 | 258 | 71 | 228 | 62 | 266 | 73 | 267 | 73 | |
| 1961 | 251 | 69 | 243 | 67 | 270 | 74 | 269 | 74 | |
| 1962 | 250 | 68 | 239 | 65 | 260 | 71 | 272 | 75 | |
| 1963 | 258 | 71 | 256 | 70 | 262 | 72 | 269 | 74 | |
| 1964 | 262 | 72 | 247 | 68 | 263 | 72 | 271 | 74 | |
| 1965 | 237 | 65 | 232 | 64 | 253 | 69 | 264 | 72 | |
| 1998 | 248 | 68 | 272 | 75 | 268 | 73 | 268 | 73 | |
| 1999 | 251 | 69 | 264 | 72 | 269 | 74 | 279 | 76 | |
| 2000 | 269 | 74 | 285 | 78 | 278 | 76 | 289 | 79 | |
| 2001 | 263 | 72 | 281 | 77 | 271 | 74 | 279 | 76 | |
| 2002 | 253 | 69 | 279 | 76 | 264 | 72 | 279 | 76 | |
| 2003 | 239 | 65 | 262 | 72 | 263 | 72 | 261 | 72 | |
| 2004 | 253 | 69 | 270 | 74 | 258 | 71 | 265 | 73 | |
| 2005 | 252 | 69 | 266 | 73 | 256 | 70 | 258 | 71 | |
| 2006 | 252 | 69 | 285 | 78 | 279 | 76 | 283 | 78 | |
| 2007 | 270 | 74 | 273 | 75 | 288 | 79 | 282 | 77 | |
| 2008 | 260 | 71 | 259 | 71 | 265 | 73 | 255 | 70 | |
| Середне значення | 252 | 69 | 255 | 70 | 267 | 73 | 266 | 73 | |
В середньому кількість днів без опадів протягом року у регіоні скаладає 260 днів (71%); за населеними пунктами: у м. Болград - 252 дні (69%), Вілкове - 255 днів (70%), Ізмаїл - 267 днів (73%), Сарата - 266 днів (73%).















