14788 (686302), страница 5
Текст из файла (страница 5)
Тиаметоксам (круйзер, ВДГ (350 г/кг))
C8H10ClNO3S; M.M. 291,7
Инсектицид, 5-Метил-3-(2-хлортиазол-5-илметил)-1,3,5-оксадиазинан-4-илиден-N-нитроамин (Novartis).
Кристаллический порошок, т. пл. 139,1°С. Давление пара (25°С) 6,6·10-6 мПа (5,0·10-8 мм рт. ст.). Растворимость в воде (25°С) 4,1 г/л. ЛД50 орально для крыс 1563 мг/кг. ЛД50 дерм, для крыс > 2000 мг/кг. Не раздражает слизистую глаз и кожу кроликов. ЛД50 для пчел 0,024 мкг/особь. СК50 для дождевых червей Eisenia foetida > 1000 мг/кг почвы. СК50 (96 ч., в мг/л) для радужной форели >100, для ушастого окуня > 114, для карпозубика >111. CK50 (48 ч.) для дафний > 100 мг/л. CK50 (96 ч.) для зеленых водорослей > 100 мг/л. Инсектицид контактного, кишечного и системного действия для борьбы с насекомыми отрядов Lepidoptera, Coleoptera, Thysanoptera и Homoptera, обладает длительным остаточным эффектом, Активен против основных видов насекомых-вредителей сельскохозяйственных культур (тлей, белокрылок, трипсов, рисового клопа, рисовой цикады, колорадского жука, капустной моли, листовых минеров, мучнистого червеца, проволочников, жужелиц и некоторых видов чешуекрылых), при обработке листьев или почвы в дозах 10 — 200 г/га, а также при протравливании семян капусты, овощных культур, картофеля, риса, хлопчатника, цитрусовых, табака и сои в дозах 4 — 200 г/100 кг семян. Тиаметоксам быстро поглощается растением и передвигается по ксилеме в необработанные части растения. Не дает кросс-резистентности к другим неоникотиноидам. В РФ разрешен для борьбы с клопом вредной черепашкой и пьявицей в посевах пшеницы и ячменя (15 — 17,5 г/га), с колорадским жуком на картофеле (15 г/га), с гороховой тлей, гороховой плодожоркой и гороховой зерновкой на горохе (20 — 25 г/га), с тлями на огурцах защищенного грунта (20-40 г/га) и на розах (20 — 80 г/га), с трипсами на розах (400 г/га).
МДУ (в мг/кг) в зерне хлебных злаков 0,02, в картофеле 0,02.
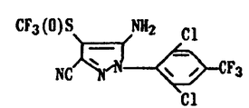
Фипронил (регент, ВДГ (800 г/кг))
(±)-5-Амино-1-(Α,Α,Α-трифтор-2,6-дихлор- n- толил)-4-трифторметилсульфинилпиразол-3-карбонитрил (Rhone-Poulence)
Белое кристаллическое вещество, т. пл. 200—2010 С. Давление пара (20°С ) 3,7·10-6 Па (2,8·10-9 мм рт. ст.). Растворимость (в мг/л): в воде 2, кукурузном масле > 10 000; в ацетоне > 50%. Формы применения: 20%-й с. к., 0,2-, 1,5- и 2%-c г., 60%-я т. с. ЛД50 100 мг/кг. ЛД50 дерм. для крыс > 2000 мг/кг. Не раздражает кожу, слабо раздражает глаза. ЛД50 (в мг/кг): для кряквы > 2150, для фазана 31. СК50 (в мг/л): для японского карпа 0,34 (96 ч), для дафний 0,19 (48 ч).
Инсектицид для борьбы с широким кругом сосущих и грызущих насекомых лиственного и почвенного применения, а также для использования в приманках и для обработки семян. Используется на многих культурах при почвенном применении (в г/га) против личинок блошкн длинноусой (120), щелкунов (50— 150), при лиственном применении — против колорадского жука на картофеле (12,5—25), капустной моли, хлопкового долгоносика и других (25—50); на рисе-падди — против точильщиков, дельфацид, рисового водяного долгоносика (50— 100); при обработке семян кукурузы — против щелкунов (250—500 г/100 кг), хлопчатника — против трипсов (125—250 г/100 кг), сахарной свеклы — против щелкунов (50 г/100 000 семян); при использовании в виде приманок для саранчовых норма расхода 6 г/гa. Механизм действия фипронила —блокирование GABA-рецептора.
Тритиконазол (премис, КС (25 г/л))
Относится к группе триазолов. Системный фунгицид защитного, искореняющего и лечащего действия.
Применяется для обработки семян зерновых культур, проса и кукурузы против различных видов головни и гнилей, ржавчины, спорыньи, мучнистой росы, септориоза при нормах расхода 0,15-0,2 л/т и 1,2-2 кг/т соответственно.
Механизм действия связан со способностью нарушать биосинтез стеринов в организме грибов, в частности эргостеринов.
Эпоксиконазол (рекс с, КС (125 г/л))
Фунгицид, (2RS,3SR)-1-[2-(4-Фторфенил)-3-(2-хлорфенил)оксиран-2-илметил]-1Н-1,2,4-триазол, рацемическая смесь цис-диастереомеров (BASF).
Бесцветное кристаллическое вещество без запаха, т. пл. 136,2°С. Давление пара (20°С) < 0,01 мПа (< 0,07·10-6 мм рт. ст.). Растворимость (в г/100 мл растворителя, 20°С): в воде 6,63·10-4, ацетоне 18, дихлорметане 14, н-гептане < 0,1. Не подвергается гидролизу 12 дн. при рН 5 — 7. Формы применения — суспензионный концентрат, эмульгосуспензия. В РФ разрешена 12,5%-ная концентрированная суспензия (препарат рекс С). ЛД50 орально для крыс > 5000 мг/кг, ЛД50 дерм. > 2000 мг/кг. Не раздражает кожу и слизистую глаз кроликов. ЛД50 для перепела > 2000 мг/кг. ЛД50 для пчел > 100 мкг/особь. СК50 (96 ч., в мг/л) для форели 2,2 — 4,6, для ушастого окуня 4,6 — 6,8. СК50 (48 ч.) для дафний 8,7 мг/л. СК50 (14 дн.) для дождевых червей > 1000 мг/кг почвы. СК50 (72 ч.) для зеленых водорослей 2,3 мг/л. Системный фунгицид широкого спектра действия для борьбы с заболеваниями, вызываемыми аско- , базидио- и дейтеромицетами у зерновых, сахарной свеклы, рапса, декоративных культур; особенно эффективен против ржавчины и септориоза. Обладает профилактическим и искореняющим действием и длительной остаточной активностью. Норма расхода 50 — 125 г/га. Возможно применение в смеси с фунгицидами из классов морфолинов или бензимидазолов. В РФ разрешен на пшенице озимой и яровой против мучнистой росы, бурой и стеблевой ржавчины, сетчатой пятнистости, комплекса пятнистостей колоса, на яровом ячмене против мучнистой росы, карликовой и стеблевой ржавчины, сетчатой пятнистости и комплекса пятнистостей колоса при норме расхода 0,7 — 1,0 л 12,5%-ной концентрированной суспензии на га. В смеси с тиофанат-метилом разрешен также на сахарной свекле (церкоспороз, мучнистая роса, рамуляриоз) и горохе (аскохитоз, ржавчина, мучнистая роса, шоколадная пятнистость листьев) при норме расхода 0,4 — 0,6 л препарата в виде концентрированной суспензии (310 г/л + 187 г/л) на 1 га. Временный МДУ в зерне хлебных злаков 0,1 мг/кг. ОДК в почве 0,2 мг/кг. ПДК в воде водоемов 0,004 мг/дм3. ПДК в воде рыбохозяйственных водоемов 0,02 мг/л. В почве Т0,5 60 — 90дн. Механизм действия — ингибирование С-14-деметилазы в биосинтезе стеринов.
Трибенурон-метил (гранстар, СТС (750 г/кг))
C15H17N506S; М.м. 395,39
2-[3-(4-Метокси-6-метил-1,3,5-триазин-2-ил)-3-метилуреидосульфонил]бензойной кислоты метиловый эфир (Du Pont)
Светло-коричневое твердое вещество, т. пл. 141 °С. Давление пара (25°С) 3,6ּ10-5 Па (2,7ּ10-7 мм рт. ст.). рКа 5,0. Растворимость в воде (25°С, в мг/л): 28 (рН 4), 50 (рН 5), 280 (рН 6); в ацетоне 43,8, ацетонитриле 54,2, тетрахлориде углерода 3,12, этилацетате 17,5, метаноле 3,39, гексане 0,028. Выпускается в виде 75%-х в. д. г., 75%-го с.п. ЛД50 > 5000 мг/кг. ЛД50 дерм. для кроликов > 2000 мг/кг. Не раздражает кожу, слабо раздражает глаза кроликов. ЛД50 для перепела 2250 мг/кг. CK50 для рыб > 1000 мг/л (96 ч). Для пчел ЛД50> 100 мкг/особь. ЛД50 для земляных червей > 1200 мг/кг. МДУ в пшенице, ячмене 0,05 мг/кг. Послевсходовый гербицид широкого спектра активности для борьбы со многими широколистными сорными растениями (включая многолетний бодяк полевой, виды ромашки, горец вьюнковый, звездчатку среднюю, крестоцветные, мак и другие) в зерновых культурах при нормах расхода 7,5—20 г/га. Для борьбы с бодяком полевым норма расхода 18—35 г/га. Т0,5 гидролитического разложения в почве б дн. Получают взаимодействием 2-карбометоксибензолсульфонилизоцианата с 2-К-метиламино-4-метил-6-метокси-1,3)5-триазином.
Дифлубензурон (герольд, ВСК (240 г/л))
С14Н9ClF2N2O2; М.м. 310,7
3-(2,6-Дифторбензоил)-1-(4-хлорфенил)мочевина [Philips — Duphar (Duphar)]
Белое кристаллическое вещество, т. пл. 239°С (т. пл. тех. препарата 210 — 230°С). Растворимость в воде (20°С) 0,2 мг/л, плохо растворим в неполярных органических растворителях, несколько лучше — в полярных растворителях. В водной среде устойчив при рН 2 — 8, при более высоком рН относительно быстро гидролизуется. Выпускается в виде 25%-го с. п., 1 - и 4%-х г., препарата для УМО. ЛД50, для мышей 4640, ЛД50 дерм, для кроликов > 100000 мг/кг. Меры предосторожности — как с малотоксичными пестицидами. Слабо раздражает глаза кроликов. ЛД50 для кряквы и перепела 4640 мг/кг корма (8 да). ПДК в воде р.-х. водоемов 0,004 мг/л. МДУ в яблоках 0,1, в капусте 0,05 мг/кг. Относительно нетоксичен для пчел и других полезных насекомых. СК50 для рыб 130 — 140 мг/л (96 ч). Используется в качестве инсектицида гормонального действия, нарушающего процесс образования хитина в организме насекомых, вследствие чего насекомые погибают из-за нарушения процесса линьки. Активен против большого числа насекомых, обладая в основном кишечным действием, в том числе против яблонной плодожорки, американской белой бабочки, листоверток и других. Норма расхода 1,5 — 30 г/100 л воды. Быстро разлагается в почве. Т0,5 7 дн.
Получают по реакции 2,6-дифторбензоилизоцианата с4-хлоранилином.
Тиаклоприд (калипсо, КС (480 г/л))
Инсектицид, (2Z)-[(6-Хлорпиридин-3-ил)метил]-2-цианимино-1,3-тиадиазолидин (Nihon Bayer Agrochem., Bayer Corp.).
Желтоватый порошок. Давление пара (20°С) 3·10-7 мПа (2,3·10-9 мм рт. ст.). Растворимость в воде (20°С) 185 мг/л. ЛД50 орально для крыс 445 — 836 мг/кг, ЛД50 дерм. > 2000 мг/кг. ЛД50 для виргинской куропатки 2716 мг/кг, ЛД50 для пчел орально 5,3 мкг/особь, контактно 24,2 мкг/особь, СК50 для дождевого червя Eisenia foetida 105 мг/кг почвы. СК50 (96 ч.) для радужной форели 30,5 мг/л, СК50 (48 ч.) для дафний 2 85,1 мг/л, СК50 для водоросли Scenedesmus subspicatus 97 мг/л. Инсектицид контактного и кишечного действия, обладает системными свойствами.
Механизм действия — агонист никотиновых ацетилхолиновых рецепторов.
Медь (бордоская смесь, ВРП (960+900 г/кг))
Основной сульфат меди Суспензия бирюзового цвета.
Применяется в виде 1- или 3 — 4%-х растворов (по медному купоросу), с. п. в виде текучего концентрата, 34,5%-го с. к. (препарат купроксат ). Купроксат даст в воде устойчивую дисперсию. Концентрированные в. р. раздражают слизистые. Следует избегать попадания препарата на кожу и особенно в глаза, при попадании немедленно смыть большим количеством воды. ПДК в в. р. з. 0,5 мг/м3, в воде санитарно-бытового пользования (по меди) 0,1 мг/л. МДУ (в мг/кг): в свекле, фруктах, овощах, бахчевых, смородине, крыжовнике, землянике, цитрусовых, винограде 5,0, малине 2,0, картофеле и хмеле 10,0, персиках 0,1 (считая на CuSO4).
Малотоксичен для пчел.
Используется для борьбы с болезнями плодовых и ягодных культур (яблони, груши, абрикосов, айвы, смородины, крыжовника, малины, земляники), цитрусовых, картофеля, овощных (томатов, огурцов, лука), столовой, кормовой и сахарной свеклы, хмеля, люцерны, виноградной лозы, бахчевых. Нормы расхода (в кг/га) при обработке до распускания и в период распускания почек 30 — 60 (считая на CuSO4); при опрыскивании в период вегетации плодовых, цитрусовых культур и хмеля 10 — 20, виноградной лозы 10 — 15, смородины и крыжовника 8 — 10, картофеля 6, томатов 6 — 8, огурцов, арбузов и дынь 6 — 10, свеклы и лука 6 — 8, люцерны 12 — 15, всех лекарственных трав 5. Время ожидания (в дн) после обработки препаратом лекарственных трав, дынь, арбузов 20, томатов 8, огурцов 5, виноградной лозы 25, остальных обрабатываемых культур 15. Купроксат разрешен на яблоне для борьбы с паршой. Бордоскую жидкость обычно готовят на месте применения путем смешения раствора сульфата меди(II) (медного купороса) и гидроксида кальция (известкового молока). Для приготовления 100 л бордоской жидкости обычно берут на 100 л воды 1 кг медного купороса и 1 кг негашеной извести. Правильно приготовленная бордоская жидкость должна иметь нейтральную или слабощелочную реакцию. Применяют фазу же после приготовления.
Трифлоксистробин (зато, ВДГ (500г/кг))
Относится к стробилурина – производным бета-метоксиакриловой кислоты. Стробилурины высокоактивны против широкого спектра грибов, относящихся к аско-, базидио-, дейтеро- и оомицетам. Зато рекомендован для обработки (0,014%-ным рабочим раствором) яблони и груши против парши, мучнистой росы, монилиоза, альтернариоза, черной (сажистой) пятнистости, филоксиктоза. Период ожидания – 14 дней.
МДУ в яблоках и грушах – 0,05 мг/кг.
Ципродинил (хорус, ВДГ (750г/кг))
Контактный фунгицид узкого спектра действия.
Из группы анилидпиримидинов. Является фунгистатиком. Блокирует синтез метионина (главного компонента фермента рода пектиназ)
Срок защитного действия – 15-20 дней.
Норма расхода – 0,2-4 кг/га.
















