14748 (686288), страница 2
Текст из файла (страница 2)
Инсектициды, обеспечивающие наилучшую защиту сахарной свеклы от свекловичной листовой тли при наименьшей опасности для человека и окружающей среды – это препараты Кемифос, КЭ (570 г/л) и Сэмпай, КЭ (50 г/л).
Препарат Кемифос обладает высокой активностью и широким спектром действия против вредных объектов. Он малотоксичен для человека и теплокровных (ЛД50 – 1400 мг/кг), имеет высокие нормативы допустимого содержания остаточных количеств в продуктах и объектах окружающей среды (ПДК в почве – 2 мг/кг; МДУ в продукции сахарной свеклы – 0,5 мг/кг). Кемифос не представляет серьезной опасности для млекопитающих, птиц, полезной энтомофауны при применении в соответствии с рекомендациями. Хорошо сорбируется почвой и не загрязняет грунтовые воды.
Препарат Сэмпай, как и Кемифос, обладает высокой активностью. Он уничтожает широкий спектр насекомых при очень низких нормах расхода. Он малотоксичен для человека и теплокровных (ЛД50-2000 мг/кг) имеет высокие нормативы допустимого содержания остаточных количеств в продуктах и объектах окружающей среды (ПДК в почве – 0,4 мг/кг; МДУ в продукции сахарной свеклы – 0,01 мг/кг), В полевых условиях Сэмпай часто малоопасен для пчел вследствие реппелентного эффекта.
Препараты Кемифос и Сэмпай относятся к разным химическим группам. Это способствует предотвращению появления резистентности к ним у вредных объектов.
2.3.1 Кемифос
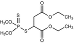
Действующее вещество – малатион. (O,O-Диметил-S-(1,2-дикарбэтоксиэтил)дитиофосфат).
Малатион — в чистом виде бесцветная жидкость с температурой кипения 120°C и летучестью 2,26 мг/м3, хорошо растворимая в органических растворителях, за исключением предельных углеводородов. Растворимость в воде слабая – при 20°C 145 мг/л.
Малатион термически малостоек и при повышении температуры интенсивно разрушается с образованием вначале более токсичного тиолового изомера.
Малатион медленно гидролизуется водой. Гидролиз ускоряется в присутствии кислот и щелочей. Малатион при длительном контакте с железом разлагается и теряет инсектицидные свойства. (Груздев Г. С. 1987)
Малатион – контактно-кишечный инсектоакарицид с высокой начальной токсичностью и кратковременным защитным и глубинным действием. Длительность защитного действия в полевых условиях до 10 дней, в условиях защищенного грунта – 5 – 7. Высокая токсичность малатиона для вредителей обусловлена тем, что в организме насекомого он превращается в более токсичный малаоксон, а процессы гидролиза пестицида протекают значительно медленнее. Малаоксон является ингибитором холистеразы, воздействует на нервную систему насекомых, вызывая у них паралич. При систематическом его применении появляются популяции насекомых и клещей, устойчивые к нему или другим фосфоорганическим соединениям. Устойчивые особи отличаются высокой способностью разрушать малатион до нетоксичных продуктов. Это обусловлено или появлением специфического фермента малатионоксидазы, или увеличением активности алиэстеразы и фосфатаз.
Малатион хорошо сорбируется почвой и не загрязняет грунтовые воды. Токсичен для энтомофагов и рыб, высокотоксичен для пчел. (Груздев Г. С. 1987)
Для человека и теплокровных животных малатион среднетоксичен, степень токсичности зависит от чистоты препарата. Сравнительно невысокая токсичность малатиона для млекопитающих объясняется особенностями метаболизма препарата. В организме теплокровного животного вследствие высокой активности карбоксиэстераз разрушение молекул малатиона идет в первую очередь в направлении гидролиза – СО2 групп. При этом образуются водорастворимые малатионмоно- и дикарбоновые кислоты, легко удаляемые из организма. Параллельно с этим под действием фосфатаз происходит гидролитическое разрушение другой части молекулы с образованием также водорастворимых малотоксичных продуктов. Следует отметить, что водорастворимые и ионизированные вещества практически не проникают в нервную систему животного, но легко выделяются из организма с мочой. Образование малаоксона в организме млекопитающего происходит в очень ограниченном количестве.
Большое преимущество малатиона – отсутствие способности накапливаться в тканях животного.
Малатион очень эффективен в борьбе против сосущих насекомых – клопов, тлей, трипсов, цикадок и растительноядных клещей. (Груздев Г. С. 1987)
2.3.2 Сэмпай
Действующее вещество – эсфенвалерат. Изомер фенвалерата, (S)-3-метил-2-(-4-хлорфенил) масляной кислоты (S)-α-φиано-3-феноксибензиловый эфир.
Вязкая коричневая жидкость, температура кипения 151 — 167°С. Давление пара (при 25°С) 0,67·10-4 Па (5·10-7 мм рт. ст.). Нерастворим в воде; растворим в ацетоне, хлороформе, ксилоле. Высокостабилен на солнечном свету, на неживых поверхностях может сохраняться длительное время. (http://www.cnshb.ru 2010)
Эсфенвалерат – инсектицид контактно-кишечного действия с защитным эффектом около 15 дней. (Груздев Г. С. 1987)
При попадании в организм насекомого оказывает действие на нервную систему. Симптомы поражения очень похожи на таковые при отравлении хлорорганическими инсектицидами: сильное возбуждение с последующим параличом. Часто отмечается явление нокдауна. Эсфенвалерат нарушает процесс обмена ионов натрия и калия в пресинаптической мембране, а также кальция, что приводит к выделению излишнего количества ацетилхолина при прохождении нервного импульса через синаптическую щель. При длительном применении этого препарата появляются устойчивые популяции насекомых. При этом наблюдается как групповая, так и перекрестная устойчивость. (Груздев Г. С. 1987)
Эсфенвалерат относится к среднетоксичным веществам для человека и теплокровных животных. При попадании в организм человека, он может накапливаться в нем. Высокотоксичен для рыб. Практически нетоксичен для пчел при нормальных условиях применения. Эсфенвалерат слабо передвигается в почве, хорошо поглащается и удерживается почвенно-поглащающим комплексом. Под действием микрофлоры почвы он разрушается в течение 2-4 недель, при этом происходит вначале гидролиз эфирной связи или окисление двойных связей. (Груздев Г. С. 1987)
Отрицательного действия на защищаемые растения не отмечается. Эсфенвалерат практически не проникает в растения. Период его полураспада на них 7-9 дней, однако остатки веществ обнаруживаются в течение 21 дня после обработки.
Высокоэффективен в борьбе с чешуекрылыми, жуками, мухами (взрослые особи и личинки), а также с синантропными вредителями и паразитами животных. (Груздев Г. С. 1987)
3. Защита сахарной свеклы от фомоза
3.1 Характеристика возбудителя фомоза
Таблица 3. Характеристика возбудителя фомоза. (Пересыпкин В. Ф.1989)
| Название возбудителя заболевания (русское, латинское). Систематическое положение. | Симптомы болезни | Способы, место зимовки патогена | Время и особенности заражения | Условия, способствующие заражению, фаза растения-хозяина | Вредоносность |
| Phoma betae. Зональная пятнистость или фомоз свёклы. царство Fungi, отдел Ascomycota, класс Ascomycetes, подкласс Dothideomycetidae, порядок Pleosporales, семейство Pleosporaceae. | На нижних листьях свеклы появляются округлые (3-5 мм в диаметре) некротические пятна желтого и светло-бурого цвета. Постепенно они разрастаются, часто сливаются в более крупные образования, а некротическая ткань выпадает из середины пятен. Листья усыхают. | Возбудитель зимует на растительных остатках в верхнем слое почвы на глубине 5-15 см, а также в семенах и корнеплодах в виде пикнид и мицелия. | Заболевание появляется во второй половине вегетационного периода. В сырую погоду конидии выдавливаются из пикнид в виде бесцветных или розоватых потоков по ширине поры и являются источником заражения в период вегетации. Заболевание чаще развивается на листьях свеклы, ослабленных другим грибным или физиологическим заболеванием. | Гриб хорошо развивается при относительной влажности воздуха 60-70%, температуре в пределах 15-30.С (оптимальная - 25.С) и нейтральной кислотности почвы рН 7. | Листья преждевременно засыхают. В период хранения зараженные внутренние части корнеплодов приобретают интенсивно черную окраску и к весне вовсе пропадают. Полученный урожай, плохо хранится и теряет товарные качества. |
3.2 Фунгициды, рекомендованные для защиты сахарной свеклы от фомоза
Таблица 4. Фунгициды, рекомендованные для защиты сахарной свеклы от фомоза. (Агрорус 2009)
| № пп | Название действующего вещества, название фунгицида | Препаративная форма, содержание д. в. в препарате | Норма расхода препарата л/га, кг/га | Срок ожидания (кратность) | Спектр действия | Особенности применения | Характер и механизм действия | Токсичность для теплокровных (ЛД 50), МДУ, ПДК |
| 1. | Беномил Бенорад | СП (500 г/кг) | 0,6-0,8 | 30(2-3) | Мучнистая роса, церкоспороз, фомоз. | Опрыскивание 0,1%-ным раствором. | Системный и контактный, защитного и лечебного действия | ЛД50 – 9500 мг/кг. МДУ в сахарной свекле – 0,2 мг/кг. ПДК в почве – 0,1 мг/кг |
| 2. | Пропиканозол + ципроканозол. Альто супер. | КЭ (250 + 80 г/л) | 0,5-0,75 | 30(1-2) | Церкоспороз, мучнистая роса, фомоз, альтернариоз | Опрыскивание раствором. | Системный, защитного действия. | Пропиканозол Малотоксичен для человека МДУ в сахарной свекле – 0,1мг/кг. ПДК в почве – 0,2 мг/кг Ципроканозол Малотоксичен для человека. МДУ в сахарной свекле – 0,1мг/кг. ПДК в почве – 0,2 мг/кг |
| 3. | Тирам ТМТД | ВСК (400 г/л) | 8-12 | -(1) | Корнеед всходов, фомоз, пероноспороз, церконоспороз, плесневение семян | Протравливание семян водной суспензией или с увлажнением заблаговременно или непосредственно перед посевом. | Контактного действия | ЛД50 – 865 мг/кг. МДУ в сахарной свекле – нд. ПДК в почве – 0,1 мг/кг |
| 4. | Флутриафол Импакт | СК (125 г/л) | 0,5 | 30 (1) | Мучнистая роса, фомоз, церкоспороз. | Опрыскивание 0,05 %-ным раствором. | Системный, защитного и куративного (лечащего) действия, | ЛД50 – 1140 мг/кг МДУ в сахарной свекле – 0,1 мг/кг. ПДК в почве – 0,1 мг/кг |
| 5. | Флутриафол Страйк | КС (250 г/л) | 0,25 | 30 (1-2) | Церкоспороз, мучнистая роса, фомоз. | Опрыскивание 0,08 %-ным раствором. | контактный и системный защитного и куративного (лечащего) действия | То же |
3.3 Подробная характеристика фунгицидов















