14679 (686263), страница 3
Текст из файла (страница 3)
В овцеводстве так же используется инбридинг. Обычно его используют в племенных хозяйствах, преследуя следующие цели: создание линий; получение инбредных баранов для использования в товарном овцеводстве на аутбредных матках и для проверки производителей на наличие нежелательных рецессивных генов (генетический груз).
Заметные результаты в разведения овец по линиям во многом зависят, во-первых, от того, насколько правильно выбран баран-производитель в качестве родоначальника, достаточно ли полно по своей племенной ценности и индивидуальным качествам он отвечает поставленной цели и какие матки подобраны для первоначального спаривания; и, во-вторых, от тщательности проводимого в последующем отбора потомства для дальнейшего использования в линии. В случае, когда исходная группа состояла из животных, обладающих ценными качествами, конечная цель работ с линией заключается в том, чтобы путем родственного разведения и соответствующего отбора и подбора добиться заметного усиления и закрепления ценных свойств и увеличения численности животных этой линии. По своей сути разведение животных по линиям является средством превращения индивидуальных особенностей выдающихся производителей в групповые и потому не является самоцелью, а служит важным способом совершенствования племенных и продуктивных качеств породы путем распространения ценных свойств, возникающих у отдельных овец в процессе селекционной работы. Линейное разведение имеет большое значение в племенных хозяйствах для выращивания высококлассных инбредных баранов, способных при скрещивании с неродственными матками (топкросс) и при межлинейных кроссах давать высокопродуктивное потомство с новым сочетанием ценных признаков.
Количество линий как в племенном заводе (где обычно рекомендуется 4-5 неродственных между собой линий), так и в целом в породе (рекомендуется 9-12 линий) определяется с учетом задач селекции, численности и ареала распространения породы, размеров стад и других условий, а во времени протяженность линии определяется ее соответствием или несоответствием типу, стандарту линии.
При несоответствии стандарту линии в худшую сторону ее существование прекращают, но если несоответствие отходит в лучшую сторону, то в этом случае от нее, как правило, отпочковывают новую линию. На практике линии существуют чаще всего три-четыре поколения. Специализируют линии по основным селекционным признакам: масса тела, настриг шерсти, длина и густота шерсти, качество жиропота, скороспелость, многоплодие, молочность и др. Для каждого из этих селекционируемых признаков устанавливаются минимальные требования по степени его выраженности, поскольку он является ведущим для линии и должен вестись жесткий отбор особей по этому признаку. С целью обеспечения внутрилинейного подбора без вынужденного тесного инбридинга и для осуществления кросса линий в каждой заводской линии следует иметь не менее 500 маток и 10 баранов-улучшателей. Линейно матки формируются в отдельные отары и им создаются все необходимые условия кормления и содержания для проявления своих выдающихся качеств и свойств.
Как инбридинг, так и лайнбридинг повышают степень генетической однородности стада, то есть ведут к уменьшению генетической изменчивости. В силу этого возможности генетического улучшения и жизнеспособность животных при этих видах спаривания снижаются. Эти методы не рекомендуются для товарных стад.
В противоположность этому топкроссинг и топкроссбридинг резко увеличивают разнокачественность потомства, и возможности генетического улучшения возрастают. Использование этих видов подбора само по себе повышает продуктивность потомства.
Топкроссинг представляет собой спаривание инбредных баранов, то есть полученных путем инбридинга, с неродственными им и неинбредными самками той же породы. При топ-кроссбридинге таких же баранов спаривают с неинбредными самками другой породы. Топкроссинг и топкроссбридинг являются весьма перспективными и высокоэффективными видами подбора для товарных стад.
Следующий тип спаривания, кросс линий, одинаково пригоден для племенных и товарных стад. В племенном хозяйстве баранов одной линии назначают на маток другой линии, в товарных - баранов одной линии назначают, как правило, на маток, происходящих из нескольких линий. Наиболее часто этот метод применяют, когда в результате длительной селекции резко снизилась эффективность отбора по селекционируемым признакам или ставится задача путем кросса линий сочетать ценные качества, присущие особям различных линий, и на этой основе создать новую, более ценную линию. При этом следует иметь в виду, что не все линии и особи, даже высокопродуктивные, дают при кроссах высокопродуктивное потомство, а поэтому эффективность использования кроссов линий определяется степенью их сочетаемости, которая должна оцениваться в специальных экспериментах.
Наиболее распространенным типом спаривания в товарном, да и в племенном овцеводстве является аутбридинг, т.е. спаривание неинбредных баранов с неродственными им неинбредными самками. Аутбридинг, как и предыдущий тип, заметно увеличивает гетерозиготность потомства, что обеспечивает рост продуктивности и создает условия для эффективной селекции. [5]
6. Чистопородное разведение в коневодстве
В разведении лошадей, как и в других животноводческих отраслях, может применяться чистопородное разведение. В коневодстве в этом плане существуют несколько своеобразные подходы. Отдельные породы, относящиеся к числу чистокровных (это чистокровная верховая порода, арабская чистокровная порода и ахалтекинская порода) могут разводиться только в полной чистоте, без малейшего прилития крови других пород. Вторые породы также должны разводиться в чистоте, однако здесь допускается незначительное прилитие крови родственных пород, в основном на уровне не более одной восьмой. К числу таких пород в российском коневодстве нужно отнести орловскую рысистую породу, породы русских, советских и владимирских тяжеловозов. Третьи породы при их разведении допускают значительное прилитие крови, как правило, более совершенных пород лошадей. Это группа полукровных пород. При этом такое прилитие, где доля вводимой породы может быть очень велика (половина и более), не лишает лошадей чистопородности. Чистопородное разведение, в первых двух своих вариантах, консолидирует породу, закрепляет ее свойства, обеспечивает производство продукции с определенными качествами. Однако оно не может обеспечить нужных изменений в породе в достаточно короткие сроки[3].
7. Чистопородное разведение в птицеводстве
В птицеводстве совершенствуют линии в селекционных стадах путем внутри-линейного разведения при гнездовой селекции (для каждой линии комплектуют не менее 60 селекционных гнезд, в которые подбирают одного самца и в зависимости от вида птицы от 3 до 16 самок) и группового спаривания в множителе исходных линий. Отбор и подбор птицы в гнезда ведут с целью размножения тех семей и семейств, которые дают наилучшее потомство и соответствуют профилю микролинии и линии.
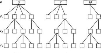
Рис.3 . Схема построения генеалогической структуры линии: Р — петухи (5, 7, 10) родоначальники микролиний; F1 — сыновья; F2 — внуки; F3, — правнуки
Линии подразделяют на отцовские и материнские. Причем требования к отцовским и материнским линиям и родительским формам различны.
Каждая специализированная линия птицы имеет свои особенности, которые обусловлены определенным (присущим только конкретной линии) набором генов (аллелей), или генофондом. В результате разведения линии «в себе» и целенаправленного отбора в ряде поколений создаются сходные генотипы, поэтому для селекционера важно сохранить в линии состав желательных генотипов. Этого можно достичь путем гомогенного подбора с использованием инбридинга. Для консолидации, то есть закрепления желательного уровня признаков в линии, сначала применяют родственное спаривание типа «брат х сестра», «полубрат х полусестра», а затем переходят к умеренному инбридингу, которым пользуются при работе с микролиниями. Микролиния — группа птицы, которая, сохраняя качества линии, несколько отличается по какому-либо признаку от средней по линии. Следует помнить, что при использовании инбридинга наряду с желательными признаками линии или микролиниях могут закрепиться и сцепленные с ними рецессивные нежелательные.
Чтобы избежать вредных последствий инбридинга, рекомендованы следующие меры:
строгий отбор особей крепкой конституции для племенных целей и создание для них оптимальных условий кормления и содержания;
неродственное спаривание птицы (аутбридинг);
освежение крови путем использования производителей той породы или линии высокого класса, но неродственных основном; поголовью хозяйства;
циклическая селекция, суть которой состоит в том, что стал: делят на родственные группы (микролинии), и если в данном год кур первой микролинии спаривают с петухами этой же микролинии, то на следующий год куры первой микролинии будут спарены с петухами второй микролинии, через год — с третьей и т.д. Если микролиний пять, то петухи первой микролинии будут спарены с курами своей микролинии только на шестой год что дает гарантию сохранения птицы от инбредной депрессии[4].
Заключение
В учение о породе, о разведении пород по линиям и семействам большой вклад внесли отечественные ученые П.Н. Кулешов, Е.А. Богданов, М.Ф. Иванов, Д.А. Кисловский. В последнее время в связи с проблемами работы по созданию и апробации новых линий в зоотехнической литературе появились возражения против разведения животных по линиям. Инициаторами этих возражений выступили А.П. Бегучев, М.Д. Дедов, Д.В. Карликов, М.Г. Спивак, однако, альтернативы этому мероприятию они не выдвигают. Но этот прием был и остается одним из действенных рычагов совершенствования пород, регулирования их генеалогической структуры. Разведение по линиям - это перевод лучших качеств выдающегося предка в групповую особенность, закрепление, а если возможно, то и усиление этих положительных качеств.
Основными этапами работы с линией являются следующие:
1) выявление выдающегося родоначальника; 2) выделение достойных продолжателей; 3) типизация и размножение животных; 4) совершенствование достигнутых результатов и закладка новой линии.
Как следует из вышеприведенного, при работе с линиями, особенно на ранних стадиях формирования, приходится прибегать к использованию инбридинга, а инбридинг обедняет генофонд, сужает наследственный потенциал. Для преодоления вредных последствий инбридинга при чистопородном разведении часто применяют такой зоотехнический прием как освежение крови.
Чистопородное разведение является основным и наиболее распространенным методом разведения.[6]
Список используемой литературы
1) Дмитриев Н.Г., Жигачёв А.И., Разведение сельскохозяйственных животных с основами частной зоотехнии и промышленного животноводства.- Л.: Агропромиздат, 1989.-с.547;
2) Кабанов В. Д., Свиноводство.- М.: Колос, 2001.- с.431;
3) Козлов С. А., Парфенов В. А., Коневодство.- СПб.: Издательство «Лань», 2004.- с.304;
4) Кочиш И. И., Петраш М. Г., Смирнов С. Б., Птицеводство.- М.: КолосС, 2003.- с.407;
5) Мороз В. А., Овцеводство и козоводство.- Ставропольское книжное издательство, 2002.- с.452;
6) Щеи Е.В., Попов И.K., Разведение сельскохозяйственных животных.- М.: Рос. гос. аграр. заоч., 2002.- с.143.
















