181267 (685713), страница 5
Текст из файла (страница 5)
готовой продукции, принимающие от цехов готовую продукцию, производящие упаковку и отправку ее потребителю;
отходов и вторичного сырья;
хозяйственные, предназначенные для хранения тары, спецодежды, хозяйственных материалов, рабочего инвентаря и т. п.
Расположение складов зависит от характера материальных ценностей и их значения. Так, материальные и производственные склады необходимо размещать ближе к цехам-потребителям с тем, чтобы обеспечить наименьший путь прохождения грузов. Склады готовой продукции размещают ближе к сборочным цехам. По своей конструкции склады бывают открытые, полуоткрытые, закрытые и специальные. К цеховым производственным складам применительно к машиностроительному производству относят материальные, промежуточные, склады готовых деталей, комплектовочные и специальные.
Организация складского хозяйства включает следующие работы:
анализ производственной структуры предприятия на предмет прямоточности, пропорциональности, непрерывности и ритмичности производственных процессов;
определение номенклатуры и типа складских помещений;
разработка схем размещения новых складских помещений, их проектирование, строительство;
разработка оперативно-календарных планов работы складских помещений;
организация учета и контроля движения материальных потоков через склады;
организация выдачи и доставки грузов потребителям;
анализ эффективности работы складского хозяйства, разработка и внедрение предложений по улучшению его работы.
Направления повышения эффективности работы складского хозяйства примерно те же, что и для транспортного хозяйства.
1.4 Производственный цикл и его структура
Производственный цикл – календарный период времени между началом и окончанием производственного процесса изготовления одного или партии изделий.
Длительность цикла используется:
для составления производственной программы предприятия и подразделений;
для определения сроков начала процесса производства по заданным срокам его окончания.
Схема «Структура производственного цикла»
Перерывы партионности – возникают при обработке деталей партиями из-за их пролеживания при ожидании обработки всей партии для последующей транспортировки на очередную операцию.
Перерывы ожидания – возникают из-за несовмещенности времени окончания одной и начала другой операции на одном рабочем месте (в ожидании освобождения этого рабочего места).
Перерывы междусменные – вызываются принятым на предприятии режимом работы.
Время выполнения основных операций обработки изделия или партии составляет технологический цикл, который состоит их операционных циклов.
Операционный цикл – это продолжительность обработки изделия или партии на данной операции процесса. При занятии на операции нескольких рабочих операционный цикл можно рассчитать:
,
где n – величина партии обработки, t – норма времени на обработку 1-го изделия на, Ci – число рабочих мест на i-той операции.
Сочетание во времени выполнения операционных циклов существенно влияет на производственный цикл и определяет порядок передачи детали или партии в процессе обработки.
1.5 Длительность производственного цикла
Длительность производственного цикла – это календарный период времени, между запуском в производство и моментом полного окончания изготовления изделия или партии изделий. Это один из главных параметров характеризующих производственный процесс.
Партия изделий – определённое количество одинаковых изделий одновременно запускаемых в производство с единой затратой подготовительно-заключительного времени.
По составу длительность производственного цикла можно представить схемой:
Рисунок - Длительность производственного цикла
Длительность производственного цикла простого процесса (изготовления детали):
.
где Ттех – длительность всех технологических опепраций, ч;
Ттр – длительность транспортных операций, ч;
Тест – длительность естественных процесов, ч;
Ткон – длительность контрольных операций, ч;
Тпер – сумарная длительность перерывов, ч.
В машиностроении и приборостроении транспортные операции зачастую бывают либо малы по сравнению с другими операциями, либо выполняются паралельно с другими операциями. Поэтому,при расчётах
можно пренебречь.
, [кал. дней]
где
- плановая длительность производственого цикла простого производственого процесса, кал.дн.
– число смен в сутки;
– продолжительность смены,часы;
– коэффициент перевода рабочих дней в календарные
;
– число рабочих дней за рассматриваемый период;
– число календарных дней за рассматриваемый период;
,
– суммарная продолжительность соответственно технологических и контрольных операций в рассматриваемом процессе, определённая на основе норм времени, ч;
– плановый коэффициент выполнения нормы рабочими;
– число операций технологического процесса;
– среденее межоперационное время, ч;
– длительность естественных процессов, не совпадающих с перерывами, ч.
Длительность технологического цикла зависит не только от технологии производства детали, но при той же самой технологии длительность технологического цикла зависит от способа организации производственного процесса.
Способ организации производства наиболее часто определяется видом движения предмета труда в производстве.
1.6 Виды движения партии деталей в производстве
Возможны три вида сочетания операционных циклов (видов движения предметов труда по операциям производственного процесса):
последовательный;
последовательно-параллельный;
параллельный.
Все виды движения рассмотрим на примере следующего технологического процесса:
1). Технологический процесс трехоперационный.
2). Норма времени на 1-ой операции tшт.кальк1=5 минут; на второй операции – 3 минуты; третьей – 4 минуты. С (число рабочих мест)=С1=С2=С3=1.
3). Величина партии обработки n=10 штук.
4). Транспортная передаточная партия р=2 штуки
Последовательный вид движения.
Характеризуется тем, что каждая последующая операция над партией начинается только после её обработки на предыдущей операции. При этом партия не дробится, а передается в полном объёме.
Где m – число операций рассматриваемого процесса; tпер. – время затрачиваемое на передачу деталей с операции на операцию; tест. – время естественных процессов.
Характеристика вида движения:
Самая простая организация производства.
Самый максимальный производственный цикл при минимальной производительности.
Самый простой контроль.
Имеет место пролёживание или ожидание в течение значительного времени, нередко превышающее оперативное.
Вывод: В серийных, крупносерийных и массовых процессах производства неприемлем.
Параллельно-последовательный вид движения (сочетания операций)
Он предусматривает такой порядок передачи изделий или небольших передаточных партий, при котором достигается наибольшая одновременность обработки изделий на операциях. Причем вся партия на каждой операции обрабатывается непрерывно.
Возможны два случая организации производственного процесса:
Первый случай: Время предыдущей операции больше, чем время последующей операции в пересчете на одно рабочее место. В этом случае после обработки последней передаточной партии на предыдущей операции осуществляется её передача на последующую, где она сразу же поступает в обработку. После этого от момента окончания этой обработки достраивается операционный цикл обработки всей партии на последующей операции (обратное планирование).
Второй случай: Время предыдущей операции в пересчете на одно рабочее место меньше, чем время последующей операции. В этом случае первую же обработанную передаточную партию с предыдущей операции сразу же передают на последующую, после чего достраивается операционный цикл всей партии на последующей операции.
Характеристика:
Значительное сокращение длительности производственного цикла.
Имеет место незначительное пролеживание деталей.
Самый сложный вид организации и контроля производственного процесса.
Имеет место увеличение количества учетно-плановых единиц, что ведет к повышенной загрузке транспортных средств.
Вывод: Целесообразно применять при больших партиях и большой трудоемкости, что свойственно крупносерийному производству.
Параллельный вид движения
Характеризуется тем, что небольшие передаточные партии или даже отдельные изделия передаются с предыдущей операции на последующую немедленно после её обработки на предыдущей операции (в зависимости от смежных операционных циклов). Отдельные передаточные партии имеют независимо от всей партии движение в процессе обработки.
Алгоритм построения плана графика движения предметов труда при параллельном виде.
Построить график движения первой передаточной партии по всем операциям рассматриваемого процесса (последовательный вид движения).
Определить операции имеющие максимальное время переработки в пересчете на одно рабочее место. Достроить операционный цикл этой операции без простоев.
Построить графики движения остальных деталей партии по оставшимся операциям рассматриваемого процесса (будут иметь место гарантированные простои в работе оборудования).
Характеристика:
Самый короткий производственный цикл.
Пролеживание изделий практически полностью отсутствует.
Имеет место упрощения контроля над процессом производства по сравнению параллельно-последовательным видом.
Имеет место простой оборудования на всех операциях кроме лимитирующей.
В случае если имеет место ручные операции в рассматриваемом процессе – сложности в организации труда работающих.
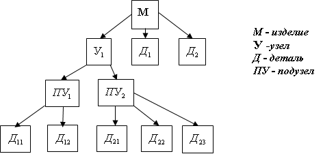
1.7 Производственный цикл сложного процесса
Длительность цикла для сложного производственного процесса может быть определена как максимальная сумма длительностей простых процессов, последовательно связанных во времени друг с другом.
Рассмотрим это на следуюшем примере. Пусть имеется изделие М.
Рисунок– Структурная модель изделия
Таблица - Длительность производственных циклов изготовления деталей
| Деталь |
|
|
|
|
|
|
|
|
| 20 | 15 | 15 | 5 | 2 | 20 | 10 |
Таблица - Длительность циклов процессов сборки
| Предмет сборки |
|
|
|
|
| | 5 | 10 | 5 | 15 |
Рисунок - Цикловой график сложного производственного процесса















