2236 (684751), страница 14
Текст из файла (страница 14)
- використання на робочих місцях кредитних інспекторів автоматизованих процедур визначення індивідуальних кредитних ризиків позичальників з використанням інформації банків бюро кредитних історій;
- впровадження контрольованих процедур оцінки реальної вартості та ліквідності застави для визначення її обсягу під забезпечення повернення кредиту з урахуванням індивідуального рівня кредитного ризику позичальника;
- впровадження контрольованих процедур визначення оптимальної ставки вартості кредиту з урахуванням оцінки реальної вартості та ліквідності застави,
прогнозу рівня резервування з урахуванням індивідуального рівня кредитного ризику позичальника;
- впровадження в експлуатацію комплекса постійної задачі оптимізації “Мінімізація ризику кредитування – рівень заставного забезпечення – рівень ринкової амортизації заставного забезпечення на протязі кредитного договору - рівень резервування – рівень податку на прибуток – рівень рентабельності активів банку”.
СПИСОК ВИКОРИСТАНОЇ ЛІТЕРАТУРИ
1. ЗАКОН УКРАЇНИ «Про банки і банківську діяльність» від 7 грудня 2000 року N 2121-III // Із змінами і доповненнями, внесеними Законами України станом від 27 квітня 2007 року N 997-V - Комп’ютерна законодавчо-довідкова система законодавства України “Ліга-закон”, 2007
2. Закон України “Про Національний банк України” від 20 травня 1999 року N 679-XIV // Із змінами і доповненнями, внесеними Законами України станом на 1 грудня 2005 року N 3163-IV - Комп’ютерна законодавчо-довідкова система законодавства України “Ліга-закон”, 2007
3. Закон України „Про оподаткування прибутку підприємств” від 22 травня 1997 р. N 283/97-ВР // станом змін від від 7 липня 2006 р. N 2771-IV - Комп’ютерна законодавчо-довідкова система законодавства України “Ліга-закон”, 2007
4. Господарський кодекс України від 16 січня 2003 року N 436-IV(діє з 01.01.2004) // Із змінами і доповненнями, внесеними Законами України від 9 січня 2007 року N 549-V, ОВУ, 2007 р., N 8, ст. 276
5. Закон України “Про організацію формування та обігу кредитних історій” від 23 червня 2005 року N 2704-IV - Комп’ютерна законодавчо-довідкова система законодавства України “Ліга-закон”, 2007
6. ЗАКОН УКРАЇНИ „Про заставу” від 2 жовтня 1992 року N 2654-XII // Із змінами і доповненнями, внесеними Законами України станом від 27 квітня 2007 року N 997-V - Комп’ютерна законодавчо-довідкова система законодавства України “Ліга-закон”, 2007
7. Цивільний Кодекс України від 16 січня 2003 року N 435-IV // Із змінами і доповненнями, внесеними законами України станом від 31 травня 2007 року N 1111-V - Комп’ютерна законодавчо-довідкова система законодавства України “Ліга-закон”, 2007
8. Інструкція з бухгалтерського обліку кредитних, вкладних (депозитних) операцій та формування і використання резервів під кредитні ризики в банках України // Постанова Правління Національного банку України від 15 вересня 2004 року N 435 - Комп’ютерна законодавчо-довідкова система законодавства України “Ліга-закон”, 2007
9. Про затвердження Плану рахунків бухгалтерського обліку банків України та Інструкції про застосування Плану рахунків бухгалтерського обліку банків України // Постанова Правління Національного банку України від 17 червня 2004 року N 280 - Комп’ютерна законодавчо-довідкова система законодавства України “Ліга-закон”, 2007
10. Про затвердження Інструкції про порядок регулювання діяльності банків в Україні // Постанова Правління Національного банку України від 28 серпня 2001 року N 368 - Комп’ютерна законодавчо-довідкова система законодавства України “Ліга-закон”, 2007
11. Про методичні рекомендації щодо організації та функціонування систем ризик-менеджменту в банках України // Постанова Правління Національного банку України від 02.08.2004 N 361- Комп’ютерна законодавчо-довідкова система законодавства України “Ліга-закон”, 2007
12. Про затвердження Положення про порядок формування та викорис-тання резерву для відшкодування можливих втрат за кредитними операціями банків // Постанова Правління Національного банку України від 6 липня 2000 року N 279 ( Із змінами і доповненнями, внесеними постановами Правління Національного банку України станом від 6 липня 2007 року N 248) - Комп’ю-терна законодавчо-довідкова система законодавства України “Ліга-закон”, 2007
13. Про створення єдиної інформаційної системи обліку позичальників /боржників/ // Постанова Правління Національного банку України від 27 червня 2001 року N 245 - Комп’ютерна законодавчо-довідкова система законодавства України “Ліга-закон”, 2007
14. Аналіз банківської діяльності: Підручник / А.М. Герасимович та ін.; За ред. А.М. Герасимовича. — К.: КНЕУ, 2003.— 599 с.
15. Андреева Г.В. Скоринг как метод оценки кредитного риска // Журнал “Банковские технологии”, № 6, 1999 // http://www.cfin.ru
16. Банківські операції: Підручник / За ред. А.М. Мороз. — К.: КНЕУ, друге видання. — 2002. — 476 с.
17. Банковское дело: Учебник /Под ред. О.И. Лаврушина – Москва, «Фи-нансы и статистика», 1998 – 576 с.
18. Банківські операції: Підручник/ А.М. Мороз, М.І. Савлук, М.Ф. Пуховкіна та ін.; За ред.д-ра екон.наук,проф.А.М. Мороза.- К.: КНЕУ, 2000.- 384с.
19. Банки и банковские операции: Учебник для вузов / Под ред. проф. Е.Ф. Жукова.- М.: Банки и биржи, ЮНИТИ, 1997. - 471 с.
20. Беляков А.В. Банковские риски: проблемы учета, управления и регулирования - М.:Издательская группа "БДЦ-ПРЕСС", 2003г. , 256 стр.
21. Гриджук Д.М. Забезпечення кредитних зобов"язань у діяльності банків/ Д.М. Гриджук, В.О. Олійник.- Київ: Істина, 2001.- 256с.
22. Гроші та кредит: Підручник / За ред. проф. М.І. Савлука. — К.: КНЕУ, 2002. — 578 с.
23. Деньги, кредиты, банки : Учебник/ Под ред. О.И. Лаврушина. -2-е изд. Перераб. и доп. -М.: Финансы и статистика, 2000
24. Деньги, кредит, банки: Справочное пособие / Г.И. Кравцова, Б.С. Войтешенко, Е.И. Кравцов и др. ;под общ. ред. Г.И. Кравцовой , - Мн.: Мерка-ванне, 1994.- 270 с.
25. Деньги. Кредит. Банки: Учебник для вузов/ под ред. Профессора Е.Ф. Жукова. - М.: Банки и биржи, ЮНИТИ, 1999. - 622 с.
26. Задерей Н. Перше всеукраїнське бюро кредитних історій// Український дiловий тижневик "Контракти" / № 24 вiд 13-06-2005, www.kontrakty.com.ua
27. Задерей Н. Група «ТАС» захопилася створенням бюро кредитних історій// Український дiловий тижневик "Контракти" / № 41 вiд 10-10-2005
28. Економічний словник-довідник: За ред. док. екон. наук, проф. С.В. Мочерного - К.: Феміна, 1995.- 368 с.
30. Ширинская Е.Б. Операции коммерческих банков : российский и зарубежный опыт. -М.: Финансы и статистика 1995.- 450 с.
31. Коцовська Р., Ричаківська В та інш. Операції комерційних банків – Львів : ЛБІ НБУ, 2001 – 276 с.
32. Кредитний ризик комерційного банку. Навч. посіб./ В.В. Вітлінський, О.В. Пернарівський, Я.С. Наконечний, Г.І. Великоіваненко; за ред В.В. Вітлінського.- К.: Т-во "Знання", КОО, 2000.- 251с.
33. Кредитование / Пер. с англ. Под. ред. М. А. Гольцберга - К.:Торгово- издательское бюро BHV , 1994. 384 с. (INKO)
34. Лагутин В.Д. Кредитование : теория и практика. Учебное пособие.- 3 –е изд. К.: «Знание», 2002, 215 с.
35. Лаврушин О.И., Афанасьева О.Н., Корниенко С.Л. Банковское дело. Современная система кредитования. -Учебное пособие. - М.:КноРус , 2006 г., 256 стр.
36. Ляховский В.С., Коробейников Д.В., Серебряков П.А. Справочник по управлению рисками банковской деятельности. - М.:Гелиос АРВ , 2006г., 575 стр.
37. Орлов А. Скоринговая модель: возможность стать ближе к клиенту стоит недешево – 25.04.2006 // http://www.uabanker.net
38. Панова Г.С. Кредитная политика коммерческого банка .- М.: ИКЦ «Дис», 1997.- 464 с.
39. Полфреман Д. Основы банковского дела /Пер. с англ. – М.:ИНФРА-М, 1996. – 624 с.
40. Практическое руководство для самостоятельного определения кредитного рейтинга предприятия и условий предоставления кредита «Базель-2 на практике: саморейтинг предприятия» // Max Hait, www.finance-dms.com/rating-basel.html
41. Пресс-релиз о Новом соглашении по достаточности капитала Базельского комитета по банковскому надзору // «Вестник банка России», 34 (758), 16 июня 2004 года, с. 2.
42. Принципы управления кредитным риском // Базельський комитет по банковскому надзору (N 75 вересень 2000 року).
43. Примостка Л.О. Аналіз банківської діяльності: сучасні концепції, методи та моделі: Монографія. — КНЕУ, 2002.— 316 с.
44. Примостка Л.О. Фінансовий менеджмент у банку: Підручник. — 2-е вид., доп. і перероб. — К.: КНЕУ. 2004. — 468 с.
45. Редхэд К., Хьюс С. Управление финансовыми рисками / Пер.с англ. – М.: ИНФРА - М, 1996. – 288 с.
46. Роуз П.С. Банковский менеджмент. Пер. с англ. со 2-го изд.— М.: «Дело ЛТД»,1995.— 768 с.
47. Руководство по кредитному менеджменту / Пер. с англ. Под ред. Б. Эдвардса 3-е изд. – М.:ИНФРА-М ,1996. – 464 с.
48. Словник сучасної економіки Макміллана: Пер. з англ. – К.: АртЕк, 2000. – 640 с.
49. Словник банківських термінів: термінологічний словник / А. Загородній, О. Сліпушко та ін. – К.: Аконіт, 2000. – 605 с.
50. Соложенцев Е.Д. Прозрачность методик оценки кредитных рисков и рейтингов. - СПб.:Издательство Cанкт-Петербургского университета, 2005г., 196 стр.
51. Сорока А. (Київський національний економічний університет- Концептуальні проблеми аналізу кредитних операцій у комерційному банку // К.: КНЕУ, 2005 - 19 с.
52. Субботин А.В. Базельское соглашение II: требования, перспективы // Методический журнал «Внедрение МСФО в кредитной организации» № 3(13)/2005
53. Сусіденко В.Т. Стратегія управління кредитною діяльністю комерцій-ного банку –К.,1998. – 345 с.
54.Уваров К., Куценко О. Методичні рекомендації щодо організації та функціонування систем ризик-менеджменту в банках України: орієнтир на майбутнє // Вісник Національного банку України. – 2005. – № 1. – С. 60–63.
55. Шевченко Р.І. Банківські операції : Навч.-метод. посіб. для самост. вивч.дисципліни / Київський національний економічний ун-т - К. : КНЕУ, 2003. – 276с.
56. Шевченко Р. І. Кредитування і контроль : Навч.-метод. посібник для самостійного вивчення дисципліни / Київський національний економічний ун-т. - К. : КНЕУ, 2002. - 183с.
57. Эдгар М. Управление финансами в коммерческих банках / Пер.с англ. – М.: Альпина Бизнес Букс, 2004. – 208 с.
58. HTTP://www.bank.gov.ua - Офіційний сайт НБУ
59. HTTP://WWW.PRIVATBANK.DP. UA - Офіційний сайт АКБ “Приватбанк”
60. HTTP://WWW.AUB.COM. UA - Офіційний сайт Асоціації банків України
61. http://www.ubki.com.ua - Офіційний сайт Товариства з обмеженою відповідальністю «Українське бюро кредитних історій»
62. HTTP://WWW.LIGA-ZAKON.COM.UA - Комп’ютерна законодавчо-довідкова система законодавства України “Ліга-закон”, 2007
ДОДАТКИ
Додаток А
Таблица А.1
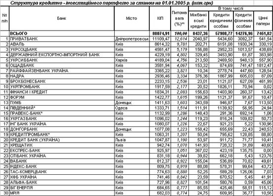
Кредитно-інвестиційний портфель перших 30 банківських установУкраїни станом на 01.01.2005 року [86]
Таблица А.2
Кредитно-інвестиційний портфель перших 30 банківських установУкраїни станом на 01.01.2006 року [86]
Таблица А.3
Кредитно-інвестиційний портфель перших 30 банківських установУкраїни станом на 01.01.2007 року [86]
Таблица А.4
Кредитно-інвестиційний портфель перших 30 банківських установУкраїни станом на 01.07.2007 року [86]
Додаток Б
Фінансові характеристики АКБ ”Приватбанк” за 2003 – 2005 роки
Таблиця Б.1
Продовження табл.Б.1
Таблиця Б.2
Звіт про фінансові результати діяльності АКБ “Приватбанк” у 2003 – 2005 роках















