95148 (682527), страница 2
Текст из файла (страница 2)
Глава II. Анализ биологически активных веществ растений, применяемых в косметологии
2.1 Анализ лекарственных растений, содержащих флавоноиды
Флавоноиды - это растительные ароматические соединения, производные дифенилпропана (С6-С3 - С6) различной степени окисленности и замещения. Флавоноиды можно рассматривать как производные хромана и хромона, содержащие в положении 2, 3 или 4 арильный радикал.
Классификация флавоноидов основана на ряде признаков, таких как степень окисленности пропанового фрагмента, положение бокового фенильного радикала, величина гетероцикла и др. По расположению кольца В выделяют собственно флавоноиды (эуфлавоноиды), изо- и неофлавоноиды.
В растениях флавоноиды встречаются преимущественно в виде гликозидов реже - в виде агликонов. Многообразие флавоноидных гликозидов обусловлено значительным набором сахаров и местом присоединения их к агликону, а также тем, что сахара могут иметь различную величину и конфигурацию циклов и гликозидных связей (фуранозная и пиранозная формы моносахаридов, D - и Z-изомеры, а - или Р-связь), порядок и сочетание сахаров и связей.
По типу связи различают О - и С-гликозиды флавоноидов. О-гликозиды легко гидролизуются кислотами и ферментами. С-гликозиды не гидролизуются ферментами и разбавленными кислотами, их гидролиз осуществляется смесью Килиани (хлористоводородная концентрированная и уксусная кислоты).
Физико-химические свойства. Флавоноиды (от лат. flavus - желтый) - кристаллические оптически активные вещества, имеющие окраску от белой до желто-оранжевой в зависимости от структуры. Например, флаваноны, изофлавоны - бесцветные, флавоны и флавонолы - желтые, халконы и ауроны имеют цвет от ярко-желтого до красно-оранжевого. Антоцианы окрашены в красный или синий цвет в зависимости от рН среды. Флавоноиды лишены запаха, некоторые из них имеют горький вкус. Самым горьким является нарингенин, который в 5 раз более горький, чем хинина гидрохлорид.
Агликоны хорошо растворяются в диэтиловом эфире, ацетоне и спиртах, почти не растворяются в бензоле и хлороформе. Флавоноидные гликозилы растворяются в спиртах и спирто-водных смесях. Монозиды лучше растворимы в крепком спирте, дигликозиды - в 50 % -ном спирте, гликозиды с тремя и более сахарами - в слабом спирте и даже в воде.
Выделение. Для выделения флавоноидов используют последовательную экстракцию сырья рядом органических растворителей с возрастающей полярностью: хлороформ, ацетон, спирт и спирто-водные смеси.
Для качественных реакций используют извлечение, очищенное от сопутствующих липофильных веществ.
Качественные реакции. Общей реакции, специфической для всех классов флавоноидов, не существует. Наиболее часто для обнаружения флавоноидов в ЛPC применяют цианидиновую реакцию (проба Snoda). Реакция основана на восстановлении флавоноидов атомарным водородом в кислой среде до антоцианидинов с образованием ярко-розового окрашивания.
Цианидиновую реакцию не дают халконы, ауроны, катехины, но они могут образовывать в кислой среде окрашенные оксониевые соли.
Цианидиновая реакция по Брианту позволяет определить агликоновую или гликозидную природу исследуемого вещества. К окрашенному раствору продукта цианидиновой реакции прибавляют равный объем н-октанола и встряхивают. Гликозиды остаются в воде, а агликоны переходят в слой органического растворителя.
С раствором щелочи флавоны, флавонолы, флаваноны приобретают желтое окрашивание, халконы и ауроны - желто-оранжевое, оранжево-красное.
С железа (III) хлоридом образуются окраски от зеленой (флавонолы) до коричневой (флаваноны, халконы, ауроны) и красновато-бурой (флавоны).
Флавоны, халконы, ауроны, содержащие свободные ортогидроксильные группы в кольце В, при обработке спиртовых растворов свинца ацетатом средним образуют осадки, окрашенные в ярко-желтый или красный цвета. Антоцианы образуют осадки, окрашенные как в красный, так и в синий цвет.
Флавоноиды вступают в реакцию комплексообразования с 5 % -ным спиртовым раствором алюминия хлорида, с 2 % -ным спиртовым раствором циркония (III) хлорида. Флавоноиды, имеющие две оксигруппы у С-3 и С-5, дают хелаты желтого цвета за счет образования водородных связей между карбонильной и гидроксильными группами.
Реакция с борно-лимонным реактивом (реакция Вильсона). Флавоноиды, у которых гидроксильная и карбоксильная группы отделены углеродным атомом, образуют комплексы с кислотой борной, которые не разрушаются лимонной и щавелевой кислотами.
При этом появляется желтая окраска или ярко-желтая флуоресценция, которая резко усиливается в УФ-свете.
Флаваноны и флаванонолы восстанавливаются натрия боргидридом с образованием окрашенных продуктов пурпурно-красного, фиолетового или синего цвета.
Катехины, а также производные флороглюцина и резорцина с 1 % -ным раствором ванилина в кислоте хлористоводородной концентрированной образуют малиново-красное окрашивание.
Хроматографический анализ. Для идентификации флавоноидов широко применяют различные виды хроматографии: бумажную, ТСХ, газожидкостную. Учитывают окраску пятен в видимом и УФ-свете до и после проявления хромогенными реактивами, величину Rf, или время удерживания.
Флавоны и флавонол-3-гликозиды в УФ-свете обнаруживаются в виде коричневых пятен; флавонолы и их 7-гликозиды - в виде желтых или желто-зеленых пятен. Изофлавоноиды в видимом свете не проявляются.
После просматривания в УФ-свете хроматограммы обрабатывают одним из реактивов: 5 % -ным спиртовым раствором AlCl3 с последующим нагреванием при 100±5°С в течение 3-5 мин; 5 % -ным раствором SbCl3 в тетрахлорметане; 10 % -ным спиртовым раствором щелочи. Это позволяет получить зоны с более яркой флюоресценцией в УФ-свете (таб 2.1).
Таблица 2.1
Окраска пятен флаваноидов на хроматограммах.
Количественное определение. Универсального метода количественного определения флавоноидов нет. В каждом отдельном случае подходят индивидуально, используя весовой, фотометрический, полярографический, потенциометрический, объемный или комплексонометрический методы.
Наибольшее распространение получили спектральные методы анализа, которые можно классифицировать по реакциям образования окрашенных продуктов: восстановления в кислой среде или с натрия боргидридом; реакции комплексообразования с металлами; соединение с солями диазония; взаимодействие со щелочами.
Биологическая активность. Флавоноиды обладают широким спектром дей-ствия: капилляроукрепляющим, желчегонным, диуретическим, гепато-защитным, седативным, противовоспалительным, противоязвенным, гемо - статическим, бактерицидным, гипотензивным, гипогликемическим, анабо-лизирующим, противолучевым, антиоксидантным и др.
2.2 Анализ лекарственных растений, содержащих витамины
Витамины (от лат. vita - жизнь) - органические соединения различной химической природы, необходимые в малых количествах для осуществления биохимических и физиологических процессов в живых организмах.
Организм человека не синтезирует витамины или синтезирует в незначительном количестве и поэтому должен получать их в готовом виде или в виде провитаминов с продуктами питания. Вместе с витаминами в пище содержатся биологически активные вещества, дефицит которых не приводит к заболеваниям. Эти вещества называются витаминоподобными. К ним относятся биофлавоноиды (витамин Р), холин, инозиты, липоевая, оротовая, пангамовая и α-аминобензойная кислоты.
Классификация. Существует четыре классификации витаминов. Одной из первых была предложена буквенная классификация. Одновременно витамины получали названия, соответствущие их биологической или физиологической роли в организме. Например, витамин D (кальциферол, антирахитический) регулирует соотношение кальция и фосфора в костях; недостаток витамина в рационе детей приводит к возникновению рахита. Витамин Е (токоферол, витамин размножения) поддерживает репродуктивную функцию (от греч. tokos - потомство, phew - несущий).
Классификация витаминов по растворимости заключается в делении их на жиро- и водорастворимые. К жирорастворимым относятся витамины групп A, D, Е, К, F; к водорастворимым - групп В, РР, С, Н, U.
В соответствии с химической классификацией витамины делятся на четыре группы:
1. Алифатические:
кислота аскорбиновая (витамин С, антискорбутный);
кислота пангамовая (витамин В15);
кислота пантотеновая (витамин В3, антидерматитный);
метилметионинсульфония хлорид (витамин U, противоязвенный).
2. Алициклические:
ретинолы (витамин А, антиксерофтальмический);
кальциферолы (витамин D, антирахитический).
3. Ароматические:
филлохинон (витамин К, антигеморрагический).
4. Гетероциклические:
токоферолы (витамин Е, витамин размножения);
биофлавоноиды (витамин Р, капилляроукрепляющий);
кислота никотиновая (витамин РР, никотинамид, ниацин, антипеллагрический);
пиридоксин (витамин B6, антидерматитный);
тиамин (витамин В1, антиневритный);
рибофлавин (витамин В2, витамин роста);
биотин (витамин Н, антисеборейный);
кислота фолиевая (витамин Вс, фолацин, антианемический);
кобаламины (витамин В12, антианемический).
Соединения, которые не являются витаминами, но служат предшественниками их образования в организме, называются провитаминами. К ним относятся, например, каротиноиды, которые расщепляются в организме с образованием витамина А, некоторые стерины, превращающиеся в витамин D.
2.3 Анализ ЛРС, содержащего витамины
Приведем пример определения витамина в лекарственном растительном сырье (плоды шиповника).
Числовые показатели по PhEur. Кислоты аскорбиновой - не менее 0,3 %; влажность - не более 10 %; золы общей - не более 5 %; посторонних примесей - не более 1 %.
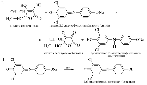
Метод определения количественного содержания кислоты аскорбиновой в плодах шиповника основан на ее способности окисляться до дегидроформы раствором натрия 2,6-дихлорфенолиндофенолята и восстанавливать последний до лейкоформы (I). Точка эквивалентности устанавливается появлением розового окрашивания, которое свидетельствует об отсутствии восстановителя, т.е. кислоты аскорбиновой (2,6-дихлорфенолиндофенол имеет в щелочной среде синее окрашивание, в кислой - красное, а при восстановлении обесцвечивается) (II).
Заключение
Растения, используемые в косметике, принадлежат в большинстве случаев к числу лекарственных, пусть даже не всегда официально признанных. Как продукты живых организмов эти вещества нередко для организма ближе, чем искусственные, хорошо воспринимаются и не столь отягощают метаболизм. Поскольку речь идет о сложных комплексах веществ, то и их воздействие тоже является комплексным. Действия отдельных компонентов очень часто удачно дополняют друг друга. Некоторые из основных видов сырья (например, липиды) часто содержат благоприятно действующие сопровождающие вещества. Но это не является правилом, есть и такие растения, которые могут быть вредными и даже крайне опасными. Кроме того, переносимость отдельных растительных веществ индивидуально различается; не редкостью является аллергическая реакция на всеми признанные лекарственные растения, например, на ромашку.















