94256 (681940), страница 3
Текст из файла (страница 3)
Первый вариант программы включает одномоментное (с 1 по 4 пункты) и последовательное проведение следующих мероприятий.
1. Беседа со школьницами IX—XI классов об особенностях формирования менструальной функции, факторах риска ее своевременному становлению, о значении менструальной функции для детородных возможностей женщины и т. д. (Полное содержание беседы изложено ниже).
2. Скрининговое тестирование состояния менструальной функции у присутствующих на беседе школьниц с помощью специальной анкеты-опросника (прилагается).
3. Экспресс-анализ проведенного тестирования и выделение школьниц «группы риска» по состоянию оцениваемой функции.
4. Рекомендации школьницам «группы риска» обратиться за уточнением диагноза к специалистам (гинекологу, эндокринологу и др.)
5. Контроль за дальнейшими действиями школьниц «группы риска» (информированы ли родители об этом, обращалась ли за консультацией к специалистам, было ли назначено лечение, выполняет ли его девушка, каков результат после курса лечения?).
Проводя беседу со школьницами, валеолог должен исходить из того, что аудиторию его слушателей составляют девушки 15—17 лет, у которых менструальный цикл должен быть полностью сформированным. В популяции современных девочек первая менструация у подавляющего большинства приходит на 13 году жизни (т. е. в 12 лет с месяцами). После появления первой менструации год отводят на установление нормального биологического цикла данной функции. Следовательно, если первая менструация пришла в 13 лет и год отведен на установление номального биологического цикла, то к 15 годам менструальный цикл у девушки должен быть сформированным. Исходя из этого, основное содержание беседы должно включать вопросы контроля за состоянием менструальной функции как первоосновы репродуктивных возможностей каждой девушки.
В понятие сформированности меноцикла входит регулярная повторяемость менструаций через определенный промежуток времени, причем индивидуальный для разных девушек, например, через 21-24—28—30 дней. Любой из этих сроков нормален, важно только, чтобы он был постоянным. Из-за такого ежемесячного повторения менструации в бытовом общении называют «месячными».
Важный вопрос, как измеряют продолжительность менструального цикла? Его измеряют сроком от начала одной менструации до начала следующей.
Девушки должны следить за сроком своих «месячных». Сначала для того, чтобы установить, когда сформировался биологический цикл менструаций, а потом в целях контроля за своим гинекологическим здоровьем. Известно, что большинство женских заболеваний начинается с нарушения менструального цикла, а девушки «менструального» возраста должны знать наверняка, что менструации прекращаются, когда наступает беременность. Валеолог обращается с вопросом к аудитории: «Кто из вас знает, каким простым способом можно точно отслеживать состояние своего менструального цикла?» Хорошо зарекомендовало себя ведение календаря менструаций, где красным цветом заштриховывают день начала «месячных», а синим или черным — день, когда они закончились. При ведении такого календаря девушка получает информацию сразу о нескольких главных характеристиках своей менструальной функции: о периоде цикла (от начала одной до начала следующей менструации), о регулярности его повторения (из месяца в месяц), о длительности течения каждой менструации.
А теперь стоит поговорим о «факторах риска» формирования менструальной функции. 'Изучение причин несформированности менструального цикла у школьниц со «стажем» менструаций в три и более лет выявило ведущую роль в этом большой суммарной, как говорят врачи, — социально-биологической нагрузки на девичий организм. Компонентами такой нагрузки служило наличие 1) хронического заболевания; 2) большого объема учебно-воспитательных воздействий на организм девочек (например, параллельное обучение в двух школах: языковой гимназии и музыкальной школе); 3) недостаточное образование половых гормонов в период полового созревания. Индивидуальный анализ показал, что большинство девушек оцениваемой группы имело в анамнезе комплекс указанных неблагоприятных факторов.
Если изложенные данные представить в виде диаграммы (рис. 1), то она показывает, что только 25% девушек с несформировавшимся менструальным циклом имели один из перечисленных неблагоприятный фактор, а у 75% отмечалось сочетание в анамнезе двух и трех неблагоприятных факторов.
Рис. 1. Суммарная социально-биологическая нагрузка девочек с нарушениями овулярно-менструальной функции (по частоте встречаемости различных факторов, %).
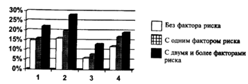
Рис. 2. Распространенность жалоб на состояние менструальной функции в зависимости от отягощенности образа жизни девушек вредными привычками (данные Е. И. Шубочкиной).
1 — задержка становления менструальной функции (более 1, 5 лет); 2 — нерегулярный менструальный цикл; 3 — обильные менструации; 4 — менструации с болевым синдроном'.
Так, у 46% чаще всего сочеталось наличие хронического заболевания с большим объемом учебно-воспитательной нагрузки, а у 29% отмечено сочетание всех трех перечисленных факторов (хронического заболевания, большой учебно-воспитательной нагрузки и гормональной недостаточности).
О чем это говорит? О том, что на этапе полового созревания детей большие социальные нагрузки угнетают биологические процессы организма, к которым относят и формирование менструального цикла у девочек. Поэтому в интересах охраны репродуктивного здоровья школьниц их социальные (учебные и воспитательные) нагрузки в период полового созревания должны быть снижены.
Следующий рисунок (рис. 2) иллюстрирует влияние на состояние менструальной функции вредных привычек: курения (штрихованные столбцы), употребления алкоголя вместе с курением (черные столбцы). Контролем для сравнения служили девушки, не имевшие вредных привычек (белые столбцы). Столбиками обозначена распространенность жалоб на нарушения менструальной функции у сравниваемых групп девушек. Как показывает рисунок, по мере увеличения отягощенности стиля жизни девушек вредными привычками у них нарастает число жалоб на различные нарушения менструальной функции, причем особенно увеличивается рас
пространенность жалоб на нерегулярные (2) и обильные (3) менструации (почти в два раза по сравнению с числом таких жалоб среди не имеющих вредных привычек). Отсюда следует вывод: стоит ли сохранять и тем более злоупотреблять вредными привычками, подвергая риску свои надежды стать матерью, иметь счастливую семью?
О том, как связано состояние менструальной функции с течением родов у женщин, показывает рис. 3.
Для того, чтобы ответить на этот вопрос, ученые разделили первородящих женщин на две группы в зависимости от характера течения у них родов (физиологического или аномального). После этого с помощью электронно-вычислительной техники для каждой группы был проведен математический анализ связей между комплексом показателей акушерско-гинекологического и школьного анамнеза. Проделанную работу медики называют определением структуры функциональной системы организма, которая формируется у человека для достижения конечного результата любой целенаправленной деятельности. Роды как раз и рассматривались в качестве конечного результата деятельности репродуктивной системы женщины. Для построения указанной функциональной системы из математического анализа выбирались только статистически значимые связи между показателями.
Как показывает верхняя часть рис. 3, непосредственными условиями для физиологических родов у первородящих женщин являются наличие здоровья в школьные годы (его критерием в анкетах служила информация об отсутствии у женщины в школьные годы хронического заболевания, частых острых и детских инфекций), а также сформированность меноцикла к моменту беременности. Самостоятельная и наиболее тесная связь у женщин этой группы отмечалась между возрастом начала «месячных» и характером течения менструального возраста (срок от первой менструации до установления ее регулярного цикла). Оба указанных показателя в этом случае соответствовали физиологическим нормам. Патологическое течение родов было непосредственно связано только с характером течения беременности, которая у наблюдаемых женщин в 78% случаев была с признаками патологии. Основной и самостоятельный блок при аномальных родах составляли значимые связи между показателями менструальной функции как в школьные годы (возраст прихода «месячных», течение менструального возраста, срок установления меноцикла), так и к моменту наступления беременности. Все показатели, характерезующие со стояние менструальной функции, в этом случае отклонялись от физиологической нормы.
Рис. 13. Схема достоверных сопряженных связей между оцениваемыми показателями у первородящих женщин с физиологическим и аномальным течением родов (данные Н. Н. Куинджи).
В цепочку указанных связей оказалась включенной значимая связь с большим объемом учебно-воспитательной нагрузки женщин в школьные годы. Иными словами, детородный прогноз женщины закладывается в школьные годы и его будут определять состояние здоровья, менструальной функции, объем учебно-воспитательной нагрузки девочки в школьные годы.
Изложенная информация служит основанием заключить: состояние менструальной функции является первоосновой репродуктивного здоровья женщины. Это требует постоянного самоконтроля и периодического медицинского наблюдения за ее состоянием.
И в качестве первого шага в этом направлении валеолог предлагает присутствующим на беседе школьницам оценить состояние своей менструальной функции, воспользовавшись для этого специальным анкетным тестом, разработанным НИИ материнства и детства г. Иванове (табл. 1). Анкета-тест построена на тщательном сборе данных гинекологического анамнеза девушек и является скрининг-тестом, который применяют для выявления лиц, подозреваемых в наличии у них той или иной патологии. Проведение скрининг-тестов не требует обязательной медицинской квалификации, поэтому и рекомендуется проводить его валеологам. В конце теста дается эталон нормы и отклонений от нее, что позволяет девушке самой оценить состояние своей менструальной функции и вовремя отреагировать на наличие нарушений.
Таблица 1
Анкетный тест на оценку состояния менструальной функции у школьниц
Милая девушка!
У тебя и твоих подруг менструация начинается в разном "возрасте: у одних в 10 лет, у других в 13 и даже в 16 лет, потому что у каждой девушки созревание происходит по своим биологическим часам. Вместе с тем к моменту окончания школы менструальный цикл у девушек должен быть сформирован, так как от этого во многом зависит возможность стать матерью.
Вопросы нашей анкеты помогут тебе оценить состояние менструальной функции и при выявлении нарушений этой функции своевременно обратиться по поводу их коррекции к специалистам.
Характеристика менструальной функции девочек (в баллах)
1. Становление менструаций баллы
Установились регулярные менструации в течение года
от первой менструации 01
Не установились регулярные менструации в течение года
от первой менструации 02
2. Длительность кровяных выделений (менструации) в днях
3-5 01
1-2 02
6 и более 03
3. Количество теряемой крови.
Умеренные выделения (когда первые 1-2 дня выделения умеренные, а последующие 2—3 дня они становятся более обильными) 01
Обильные выделения (теряю много крови, менструация сопровождается выраженной слабостью, головокружениями, обморочными состояниями, бледностью кожных покровов) 02
Скудные выделения (мажущиеся кровянистые выделения) 03
4. Продолжительность менструального цикла
21-35 дней 01
менее 21 или более 35 дней 02
5. Болезненность менструаций
Безболезненные 01















